-
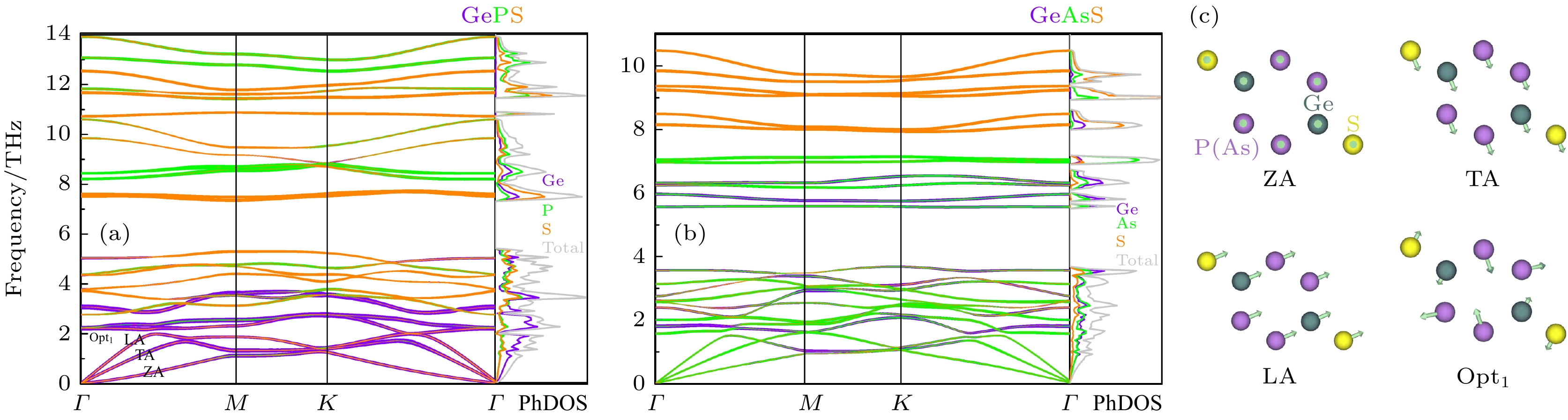
单层Ge 2 X 4S 2( X= P, As)是最近预测的一种二维层状材料, 它们不仅拥有高的光吸收系数, 同时还有较高的载流子迁移率, 这意味着它们在光电和热电领域可能有较好的应用前景. 本文通过第一性原理和玻尔兹曼输运理论系统地研究了这两种材料的热电性质. 结果表明, 单层Ge 2P 4S 2和Ge 2As 4S 2在室温下展现较低的晶格热导率, 沿armchair方向分别为3.93 W·m –1·K –1和3.19 W·m –1·K –1, zigzag方向分别为4.38 W·m –1·K –1和3.79 W·m –1·K –1, 这主要是由低的声子群速度、大的格林艾森参数以及小的声子弛豫时间造成的. 基于HSE06泛函计算出的能带结构表明单层Ge 2As 4S 2是带隙值为1.21 eV的直接带隙半导体, 而单层Ge 2P 4S 2是带隙值为1.13 eV的间接带隙半导体. 价带上明显的双重简并现象使得单层Ge 2P 4S 2和Ge 2As 4S 2具有较大的塞贝克系数, 其中300 K时沿armchair方向分别达到了1800 μV·K –1和2070 μV·K –1. 对于具有较小晶格热导率和较高功率因子的单层Ge 2 X 4S 2而言, 它们的热电性能是非常值得期待的. 本文计算表明, 当处于最佳的n型掺杂时, 单层Ge 2P 4S 2和Ge 2As 4S 2在500 K时都具有较高的热电优值, 在两个方向的最大值分别为3.06 (armchair方向)和3.51 (zigzag方向), 以及3.21 (armchair方向)和2.54 (zigzag方向), 这意味着它们在中温热电应用领域存在较大的应用价值.Monolayer Ge 2 X 4S 2( X= P, As) are novel two-dimensional (2D) layered materials with suitable optical absorption properties in the visible range and high carrier mobility, so they possess broad application prospects in the photoelectric and thermoelectric fields. In this work, their thermoelectric properties are systematicly evaluated by using the first-principles and Boltzmann transport theory. For monolayer Ge 2As 4S 2and Ge 2P 4S 2, their smaller phonon group velocities, low relaxation times and the large Grüneisen parameters result in ultra-low lattice thermal conductivities, which are 3.93 W·m –1·K –1and 3.19 W·m –1·K –1in the armchair direction, 4.38 W·m –1·K –1and 3.79 W·m –1·K –1in the zigzag directions at 300 K. Their electronic band structures reveal that the monolayer Ge 2As 4S 2is a semiconductor with a direct band gap of 1.21 eV, while the single-layer Ge 2P 4S 2owns an indirect band gap of 1.13 eV. Meanwhile, the twofold degeneracy of valence band provides a large p-type Seebeck coefficient that is 1800 μV·K –1for Ge 2P 4S 2and 2070 μV·K –1for Ge 2As 4S 2in the armchair direction. Obviously, monolayer Ge 2 X 4S 2has smaller lattice thermal conductivity and higher power factor, thus it is worth exploring their thermoelectric properties. The results prove that monolayer Ge 2As 4S 2and Ge 2P 4S 2have outstanding thermoelectric performances at 500 K when they are treated by optimal n-type doping. The maximum ZTvalues of monolayer Ge 2As 4S 2and Ge 2P 4S 2are 3.06 (armchair direction) and 3.51 (zigzag direction), as well as 3.21 (armchair direction) and 2.54 (zigzag direction), indicating that monolayer Ge 2 X 4S 2can be a potential candidate in the medium-temperature thermoelectric applications.
[1] [2] [3] [4] [5] [6] [7] [8] [9] [10] [11] [12] [13] [14] [15] [16] [17] [18] [19] [20] [21] [22] [23] [24] [25] [26] [27] [28] [29] [30] [31] [32] [33] [34] [35] [36] [37] [38] [39] [40] [41] [42] [43] [44] [45] [46] [47] [48] [49] [50] [51] [52] [53] [54] [55] [56] [57] [58] [59] [60] [61] [62] [63] -
晶格常数/Å 键长/Å Ge—S Ge—As (P) As—As (P—P) Ge2As4S2 7.10 2.48 2.60 2.48 Ge2P4S2 6.77 2.50 2.49 2.21 方向 类型 C2D/(J·m–2) El/eV m*/me μ/(cm–2·V–1·s–1) τ/ps Ge2P4S2 armchair electron 55.46 2.04 0.22 3277.22 0.41 hole 55.46 3.32 0.65 131.23 0.05 zigzag electron 48.44 1.97 0.22 3676.88 0.46 hole 48.44 3.23 0.65 162.32 0.06 Ge2As4S2 armchair electron 48.94 2.30 0.19 3146.80 0.34 hole 48.94 6.56 0.24 220.71 0.03 zigzag electron 43.25 2.13 0.19 1943.61 0.21 hole 43.25 6.23 0.24 275.50 0.04 -
[1] [2] [3] [4] [5] [6] [7] [8] [9] [10] [11] [12] [13] [14] [15] [16] [17] [18] [19] [20] [21] [22] [23] [24] [25] [26] [27] [28] [29] [30] [31] [32] [33] [34] [35] [36] [37] [38] [39] [40] [41] [42] [43] [44] [45] [46] [47] [48] [49] [50] [51] [52] [53] [54] [55] [56] [57] [58] [59] [60] [61] [62] [63]
计量
- 文章访问数:4292
- PDF下载量:146
- 被引次数:0












下载:





