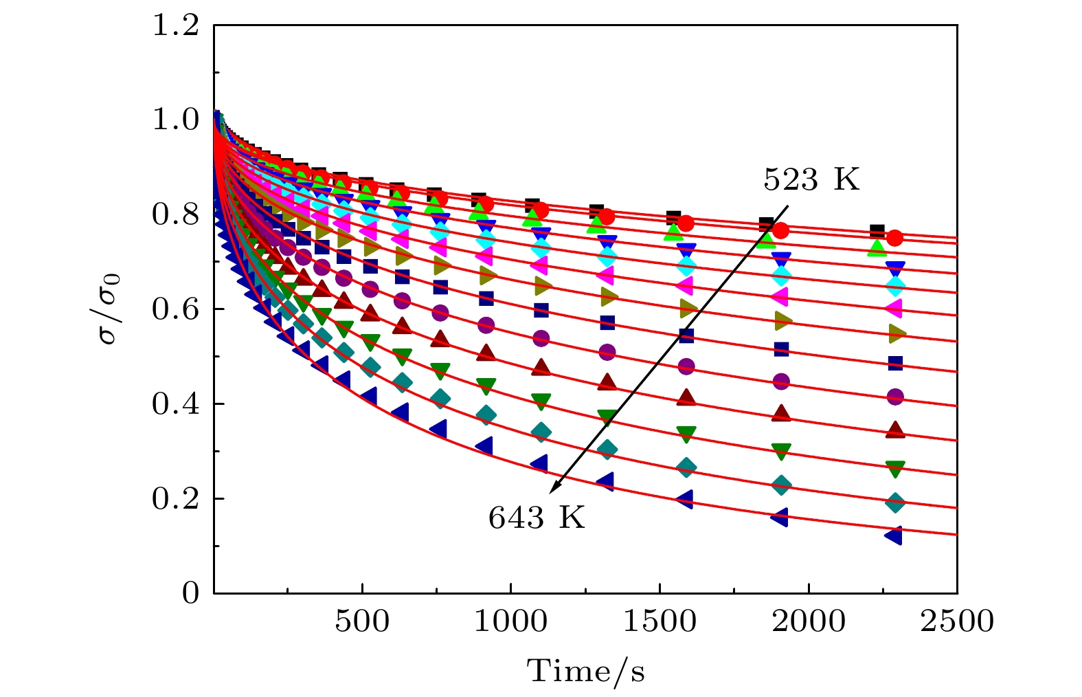
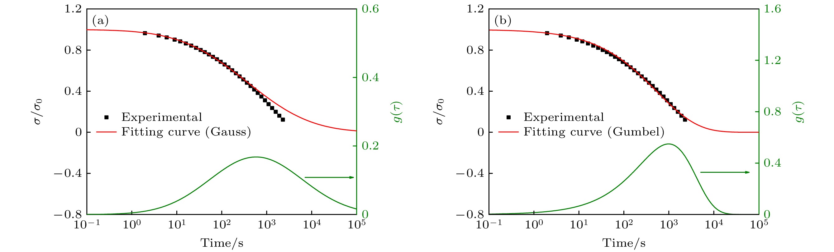
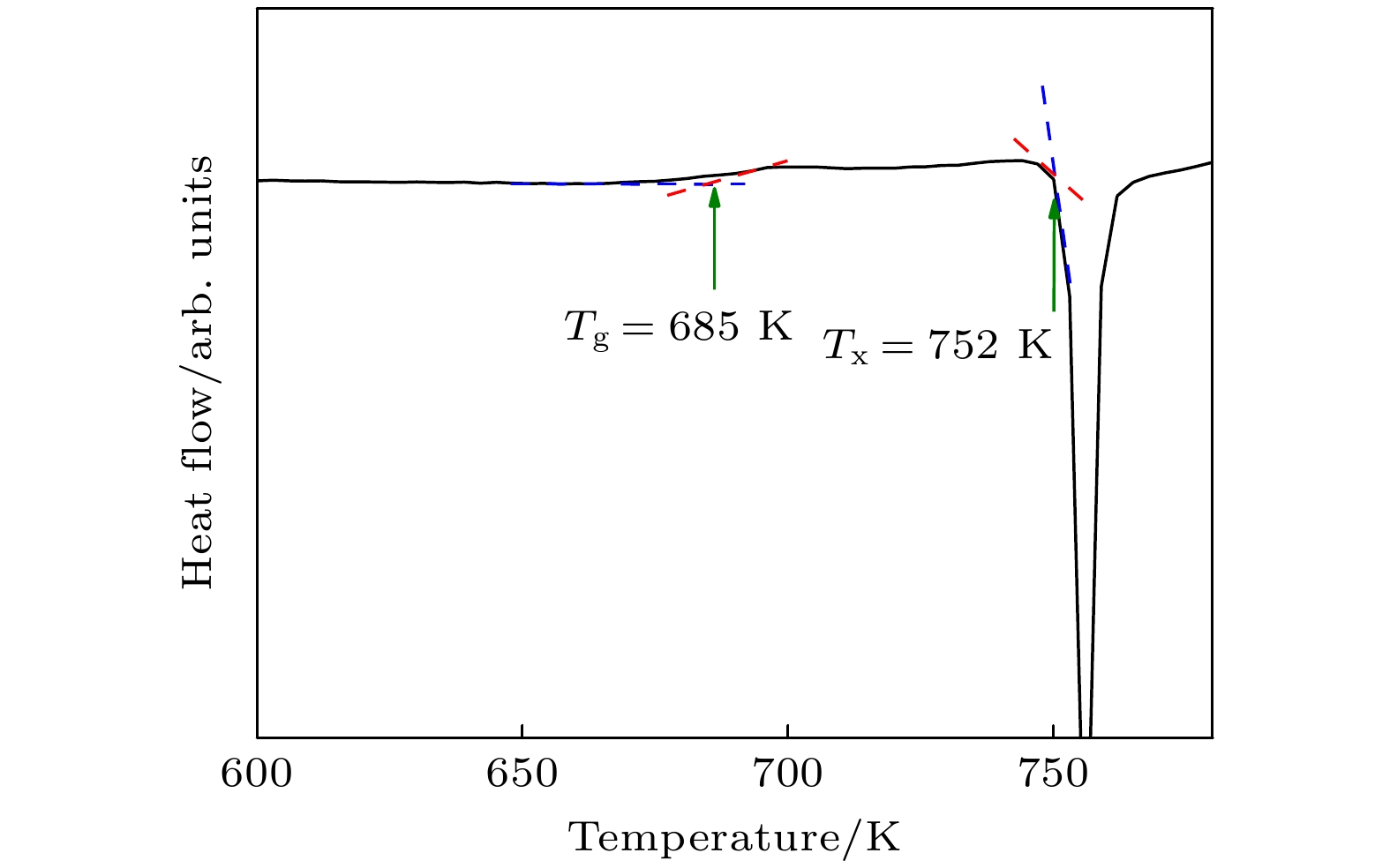
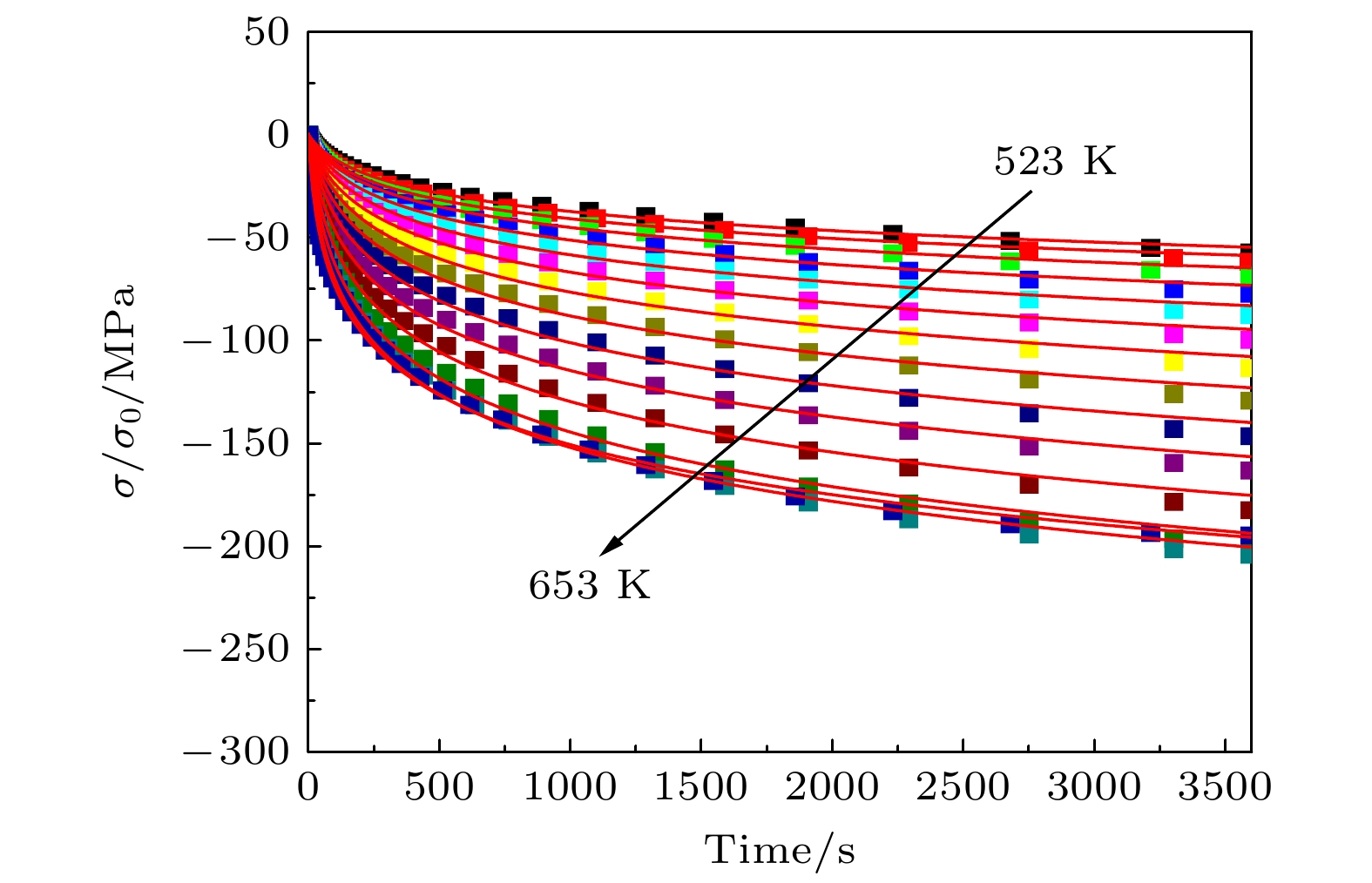
The relationship among dynamic relaxation, deformation and microstructural heterogeneity of amorphous alloy is one of the important research contents in the field of amorphous physics. In this paper, we utilize Zr
48(Cu
5/6Ag
1/6)
44Al
8bulk amorphous alloy with excellent glass forming capability and good thermal stability as a research carrier, and investigate the effects of temperature and structural relaxation on dynamic relaxation and deformation behavior through dynamic mechanical analysis and stress relaxation experiments. The results show that the dynamic relaxation spectrum of the model alloy is sensitive to temperature, showing four stages as the temperature increases, namely, iso configuration, aging, glass transition and crystallization. Based on the isothermal measurement of dynamic mechanical parameters under the glass transition temperature, the structural relaxation causes the amorphous alloy to migrate from the non-equilibrium high energy state to the low energy state, and the evolution of internal friction with aging time can be described by Kohlrausch-Williams-Watts (KWW) stretched exponential function. In addition, based on the KWW equation and activation energy spectrum, the activation of heterogeneous structure in the stress relaxation process of model alloy is analyzed, which involves the transformation from elastic deformation to nonelastic deformation. Owing to the microstructural heterogeneity and energy fluctuations in amorphous alloys, the activation of deformation units is not a single characteristic time, but follows a certain distribution. By considering that the characteristic time distribution of activation of deformation units is symmetric Gauss distribution or asymmetric Gumbel distribution on a logarithmic time scale, the heterogeneous activation process in stress relaxation response can be reconstructed.