The coupling vibration of large-scale piezoelectric ultrasonic transducer will make the average value of the longitudinal displacement amplitude of its radiation surface small and the amplitude distribution uneven, which seriously affects the performance and reliability of the system. In order to improve the performance of large-scale ultrasonic vibration system, a two-dimensional hole/slot near-periodic phononic crystal structure is used to suppress the transverse vibration, but the structure will in turn affect the mechanical strength of the transducer while achieving the suppression of the transverse vibration. The working bandwidth and other performance parameters have adverse effects. Based on this, a new idea of optimizing the large-scale sandwich longitudinal vibration piezoelectric ceramic transducer by using the tubular near-periodic phononic crystal point defect structure is proposed. This method can not only use the point defect mode of the constructed solid/gas two-dimensional near-periodic phononic crystal structure to obtain extremely low energy loss, but also effectively improve the longitudinal displacement amplitude and amplitude distribution uniformity of the radiation surface of the system. The double annular holes in the pipe string structure can also be used to enhance the multiple scattering of sound waves, so that the transducer can also produce a band gap under the low conditions of the pipe string, effectively suppressing the transverse vibration, at the same time, significantly broadening the working bandwidth of the transducer system, enhancing the stability and mechanical strength of the system, and reducing the processing cost. Simulation results and experimental processing test results also prove the effectiveness of the optimization.
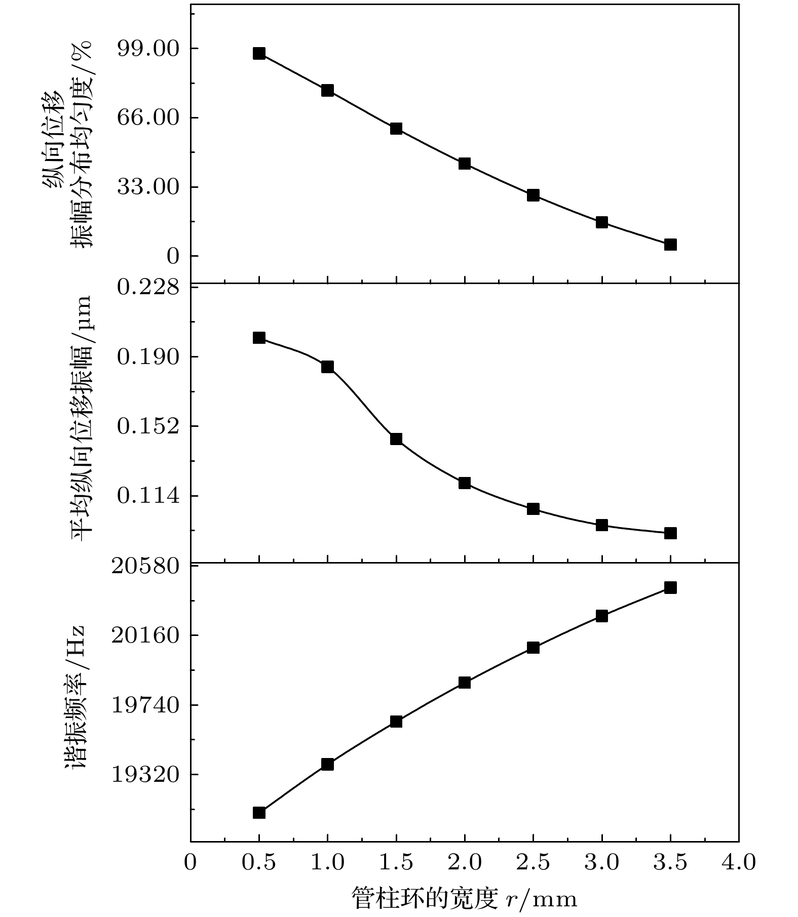
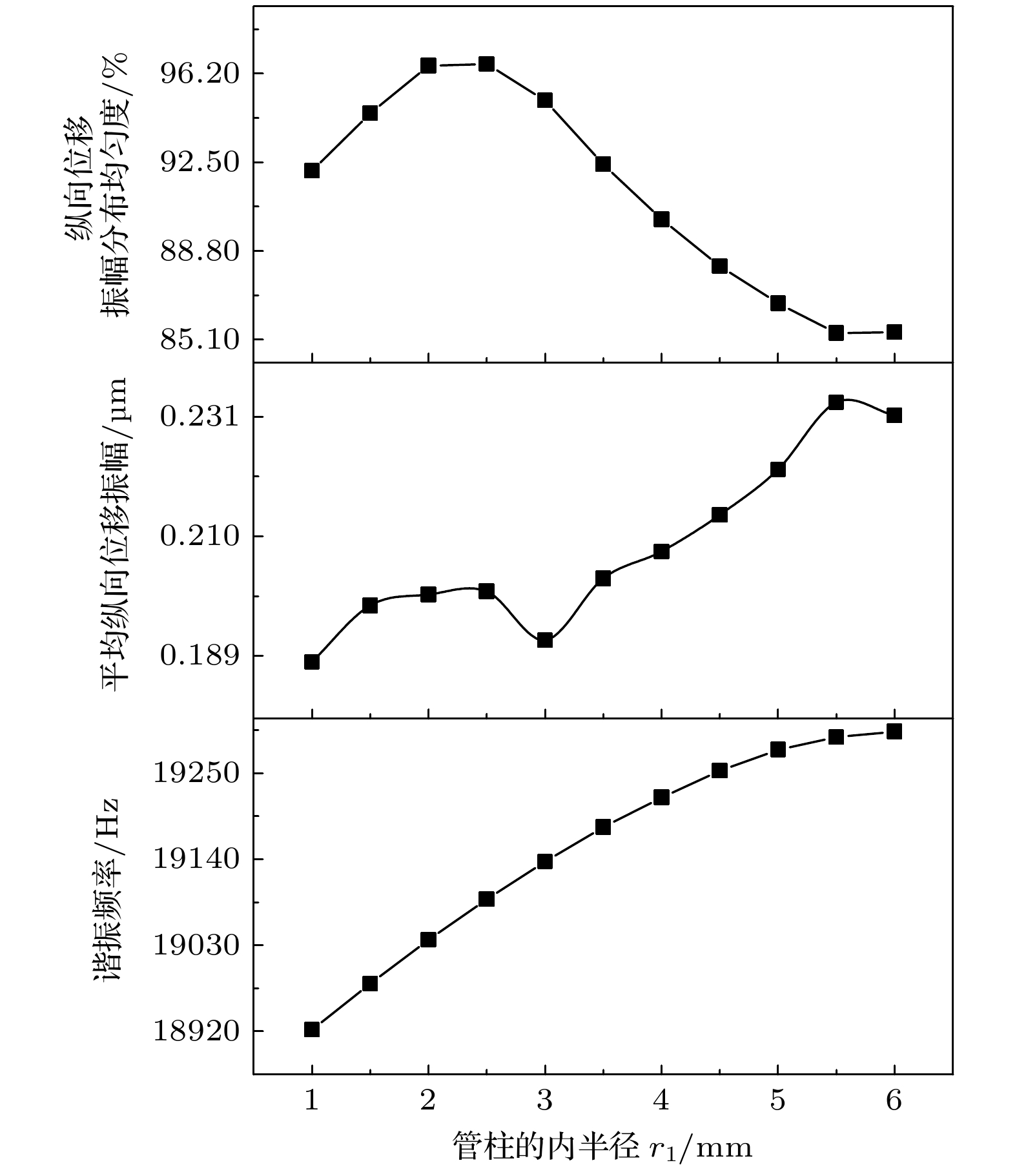
In order to find the best parameters for the performance of the large-scale longitudinal vibration piezoelectric ultrasonic transducer, in the paper the finite element analysis software is used to study the influence of the inner radius
r
1of the pipe string, the width
rof the pipe string ring, the radius
Rof the outermost air cylinder hole, and the height
h
2of the pipe string at the longitudinal resonance frequency of the transducer performance, the longitudinal displacement amplitude distribution uniformity of the radiation surface, and the average longitudinal displacement amplitude. In the research is finally found the range of parameters that can make the performance of the transducer reach a relatively ideal state. The simulation results show that the tubular near-periodic phononic crystal point defect structure can improve the performance of large-scale longitudinal vibration piezoelectric ultrasonic transducer.