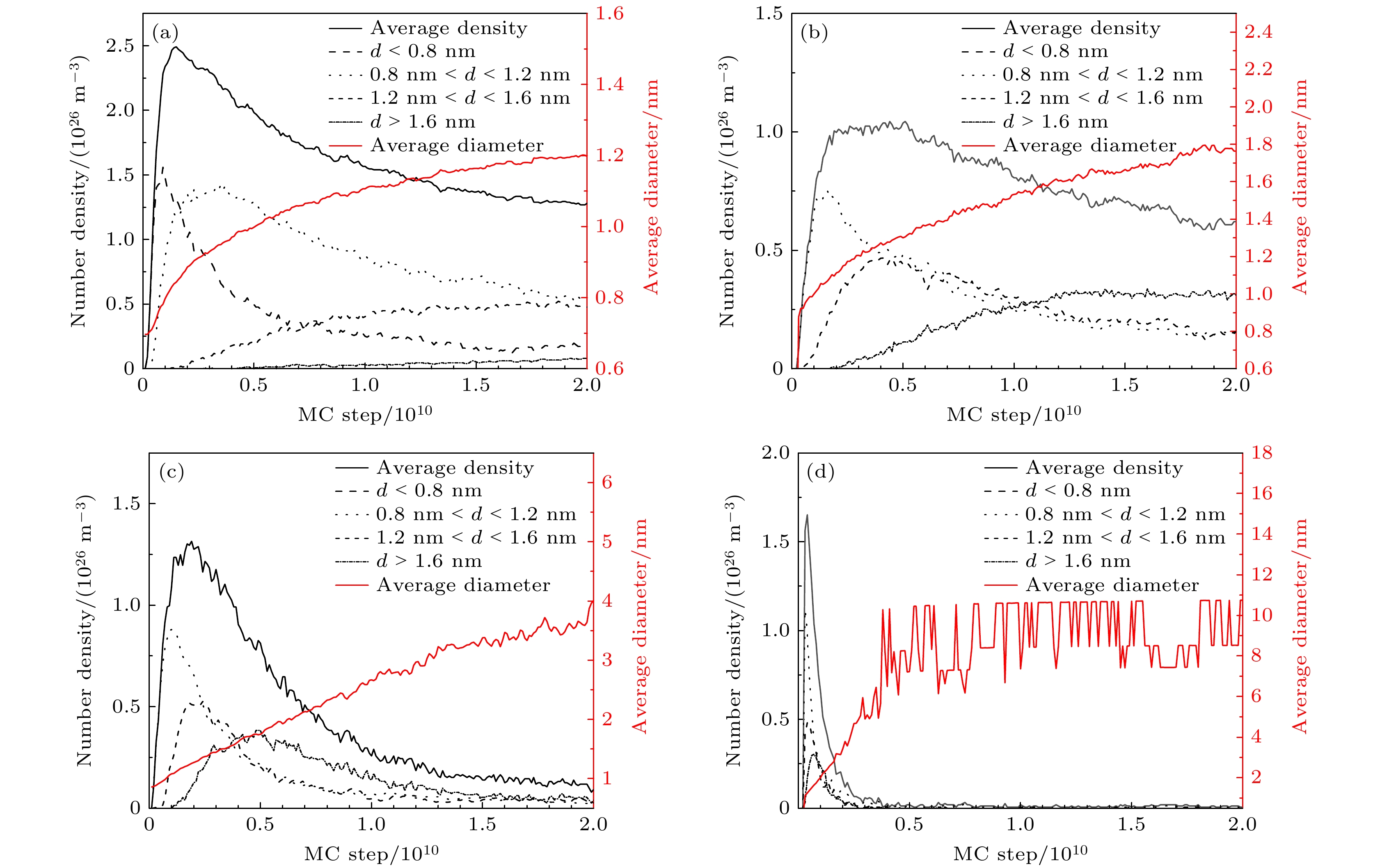
The phase transformation kinetics and micro-structure evolutions of four different Fe-Cr binary alloys, i.e. Fe-Cr (12.8%), Fe-Cr (20.0%), Fe-Cr (30.0%) and Fe-Cr (40.0%) at 673 K, are investigated by using the kinetic Monte-Carlo simulation combined with spatial coarse-grained mass density field description. For all studied Fe-Cr alloys, it is found that the number density of Cr-rich precipitate undergoes a rather rapid increasing at the nucleation stage and then gradually decreases with the simulation time increasing in the coarsening stage during aging. Increasing the Cr concentration in Fe-Cr alloy can significantly reduce the duration of nucleation and the time interval between nucleation and coarsening. From the coarse-grained mass density field models of Cr-rich precipitates at different aging stages for the four Fe-Cr alloys, we discover that the Cr-rich phase shows the isolated spherical particle-like morphology for the aged Fe-Cr (12.8%) alloy, revealing the nucleation and growth (NG) mechanism. Meanwhile, the Cr-rich precipitates possess a characteristic three-dimensional interconnected microstructure, a signature of spinodal decomposition mechanism. Otherwise, the Cr-rich phase morphology in Fe-Cr (20.0%) exhibits the characteristics of both NG mechanism and SD mechanism. It is also found that the short-range order parameter of Cr atoms in Fe-Cr alloy is indeed very sensitive to the change of atomic structure at the early stage of aging or nucleation stage, which, however, is almost independent of the changing of morphology of Cr-precipitates in the later coarsening process. Finally, the phase transformation kinetics of Cr-rich precipitates during aging are analyzed by calculating the phase volume fraction, average diameter and number density, concluding that the Cr-rich phase growth kinetics in Fe-Cr (20.0%) alloy can be described by the well-known Lifshitz-Slyozov-Wagner law in the coarsening stage. However, the coarsening kinetics of Fe-Cr (12.8%), Fe-Cr (30.0%) and Fe-Cr (40.0%) alloys are not caused by the LSW mechanism.