-
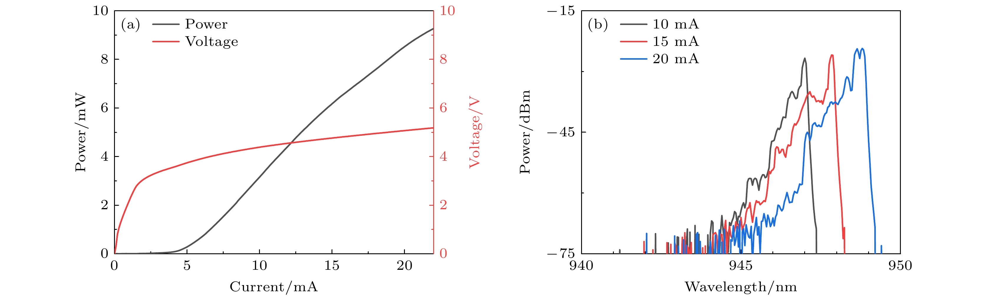
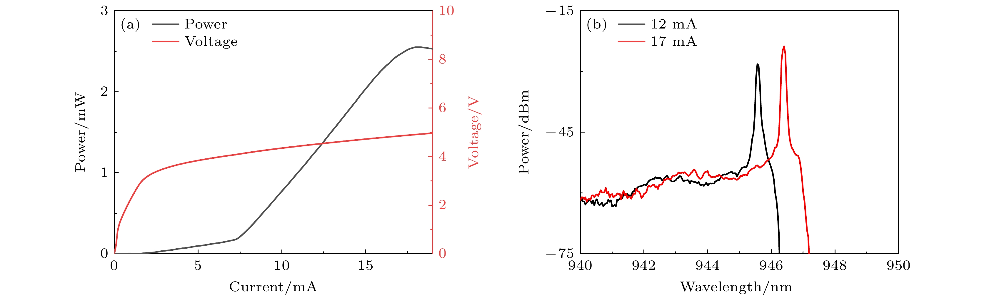
计算了InGaAs/AlGaAs量子阱的激射波长与阱垒厚度的关系, 并通过Rsoft软件计算了不同温度下的材料增益特性. 计算并分析了渐变层厚度对分布布拉格反射镜(distributed Bragg reflectors, DBRs)势垒尖峰及反射谱的影响, 通过传输矩阵理论得到P-DBR和N-DBR的反射谱和相位谱. 模拟了垂直腔面发射激光器(vertical surface emitting lasers, VCSEL)结构整体的光场分布, 驻波波峰与量子阱位置符合, 基于有限元分析模拟了氧化层对电流限制的影响. 通过计算光子晶体垂直腔面发射激光器(photonic crystal vertical cavity surface emitting lasers, PC-VCSEL)中不同的模式分布及其品质因子 Q, 证明该结构可以有效地实现基横模输出. 通过光刻、刻蚀、沉积、剥离等半导体工艺成功制备出氧化孔径为22 μm的VCSEL和PC-VCSEL, VCSEL的阈值电流为5.2 mA, 斜率效率0.67 mW/mA, 在不同电流光谱测试中均是明显的多横模输出; PC-VCSEL的阈值电流为6.5 mA, 基横模输出功率超过2.5 mW, 不同电流下的边模抑制比超过25 dB, 光谱宽度小于0.2 nm.
-
关键词:
- 垂直腔面发射激光器/
- 光子晶体垂直腔面发射激光器/
- 基横模/
- 大功率
As a key part of vertical cavity surface emitting laser (VCSEL), active region will seriously affect the threshold and efficiency of the device. To obtain the appropriate laser wavelength and material gain, the design of In 0.18Ga 0.82As strain compensated quantum well is optimized. The relationship between the lasing wavelength of multiple quantum wells (MQWs) and the thickness is calculated. Considering the influence between the active region temperature and the lasing wavelength, the thickness of the quantum well is chosen as 6 nm, and the quantum barrier thickness is chosen as 8 nm, corresponding to the lasing wavelength of 929 nm. The material gain characteristics of the MQWs at different temperatures are simulated by Rsoft. The material gain exceeds 3300/cm at 300 K, and the temperature drift coefficient of the peak wavelength is 0.3 nm/K. In this work, Al 0.09Ga 0.91As and A l0.89Ga 0.11As are chosen as the high- and the low-refractive index material of distributed Bragg reflector (DBR), and 20 nm graded layer is inserted between two types of materials. The influence of the graded layer thickness of DBR on the valence band barrier and reflection spectrum are calculated and analyzed. The increase of graded layer thickness can lead the band barrier peak and the reflection spectrum bandwidth to decrease. The reflection spectrum and phase spectrum of P-DBR and N-DBR are calculated by the transmission matrix mode (TMM): the reflectance of DBR is over 99% and the phase shift is zero at 940 nm. The optical field distribution of the whole VCSEL structure is simulated, in which the standing wave peak overlaps with the active region, and the maximum gain can be obtained. Using the finite element method (FEM), the effect of oxidation confined layer on the injection current is simulated. The current in the active region is effectively limited to the position corresponding to the oxidation confined hole, and its current density is stronger and more uniform. The optical field distributions in different modes of photonic crystal-vertical cavity surface emitting laser (PC-VCSEL) are simulated, and different modes have different resonant wavelengths. The values of quality factor Q in different modes of VCSEL and PC-VCSEL are calculated, Q of the fundamental mode is higher than that of higher transverse mode. It is demonstrated that the photonic crystal air hole structure can realize the output of basic transverse mode by increasing the loss of high order transverse mode. The VCSEL and PC-VCSEL with oxidation hole size of 22 μm are successfully fabricated, in which the photonic crystal period is 5 μm, the air pore diameter is 2.5 μm, and the etching depth is 2 μm. Under continuous current test, the maximum slope efficiency of VCSEL is 0.66 mW/mA, the output power is 9.3 mW at 22 mA, and the lasing wavelength is 948.64 nm at 20 mA injection current. Multiple wavelengths and large spectrum width are observed in the spectrum of VSCEL, which is an obvious multi-transverse mode. The maximum fundamental transverse mode output of PC-VCSEL reaches 2.55 mW, the side mode suppression ratio (SMSR) is more than 25 dB, and the spectrum width is less than 0.2 nm, indicating that the photonic crystal air hole has a strong control effect on the transverse mode, and the laser wavelength is 946.4 nm at 17 mA.-
Keywords:
- vertical cavity surface emitting laser/
- photonic crystal-vertical cavity surface emitting laser/
- fundamental transverse mode/
- high power
[1] [2] [3] [4] [5] [6] [7] [8] [9] [10] [11] [12] [13] [14] [15] [16] [17] [18] [19] [20] [21] [22] [23] [24] -
基横模 一阶横模 二阶横模 PC-VCSEL 6238 2646 1373 VCSEL 10614 10612 10602 -
[1] [2] [3] [4] [5] [6] [7] [8] [9] [10] [11] [12] [13] [14] [15] [16] [17] [18] [19] [20] [21] [22] [23] [24]
计量
- 文章访问数:3422
- PDF下载量:166
- 被引次数:0












下载:











