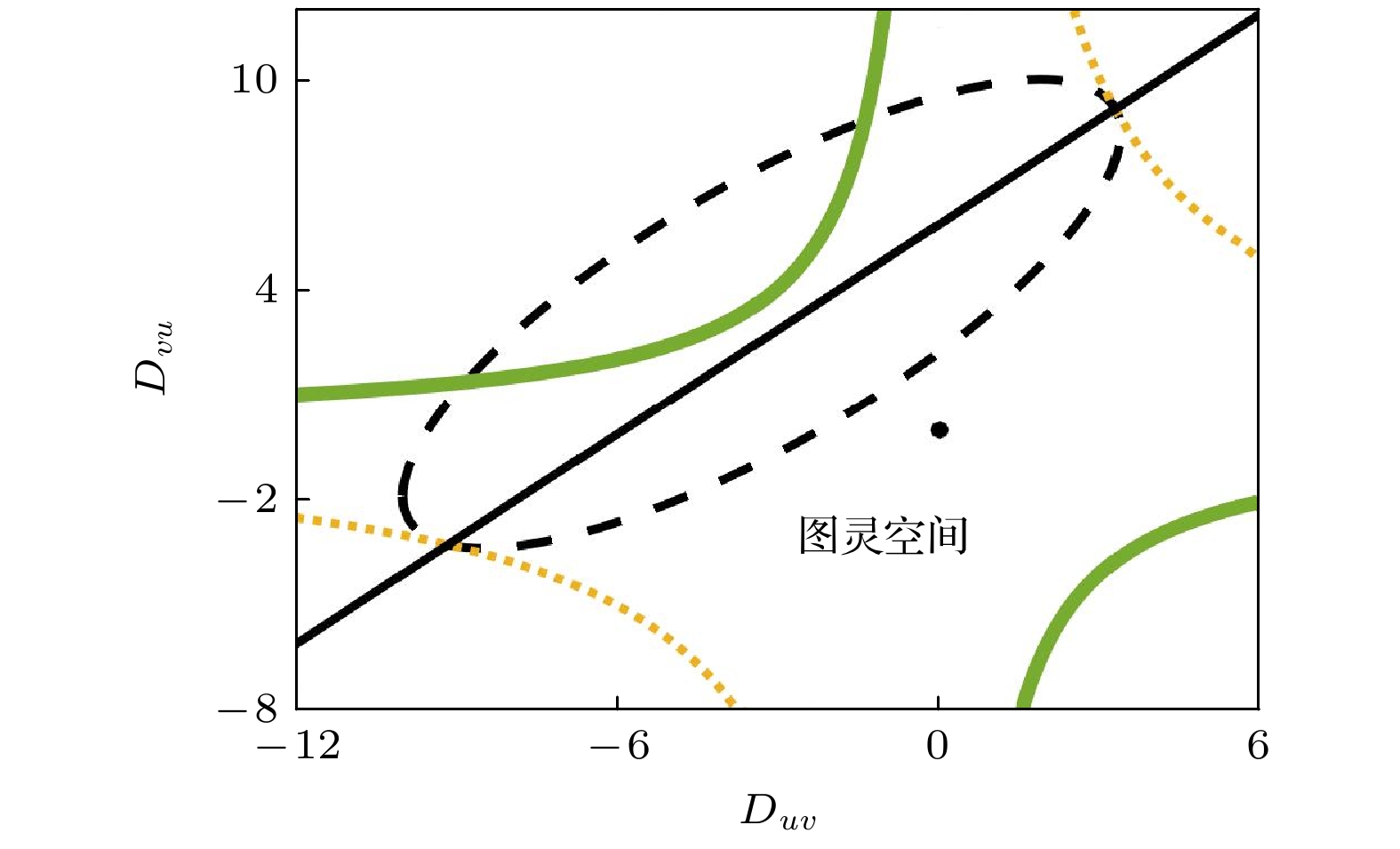
Cross-diffusion is one of the most important factors affecting the formation and transition of Turing patterns in reaction diffusion systems. In this paper, cross-diffusion is introduced into a reaction diffusion Brusselator model to investigate the effects of the directivity and density-dependence of cross-diffusion on Turing pattern transition. Turing space is obtained by the standard linear stability analysis, and the amplitude equations are derived based on weakly nonlinear method, by which Turing pattern selection can be determined theoretically. It is found that the degree of deviation from the primary Turing bifurcation point plays an important role in determining the process of pattern selection in the Turing region. As the deviation from onset is increased, the system exhibits a series of pattern transitions from homogenous state to honeycomb hexagonal pattern, to stripe pattern, and then to hexagonal spot pattern. In the case of one-way cross-diffusion, the direction of cross-diffusion determines the order of Turing pattern transition. The cross-diffusion from the inhibitor to the activator enhances the Turing mode and drives the system far away from the primary bifurcation point, resulting in the forward order of Turing pattern transition. On the contrary, the cross-diffusion from the activator to the inhibitor suppresses the Turing mode and forces the pattern transition in a reverse order. In the case of two-way cross-diffusion, the cross-diffusion effect from inhibitors to activators is stronger than that from activators to inhibitors with the same diffusion coefficient. Essentially, the cross-diffusion coefficient is dependent on not only the local concentration of species itself, but also the concentrations of other species due to their interaction. It is found that concentration dependent cross diffusion also affects the transformation direction of Turing pattern. When the diffusion coefficient
$ {D_{uv}} $
is linearly dependent on the concentration of retarders, the positive transformation of the Turing pattern is induced with the increase of the concentration linear adjustment parameter
$ \beta $
. On the contrary, when the diffusion coefficient
$ {D_{vu}} $
is linearly dependent on the concentration of active particles, the reverse transformation of the Turing pattern is induced. The numerical simulation results are consistent with the theoretical analysis.