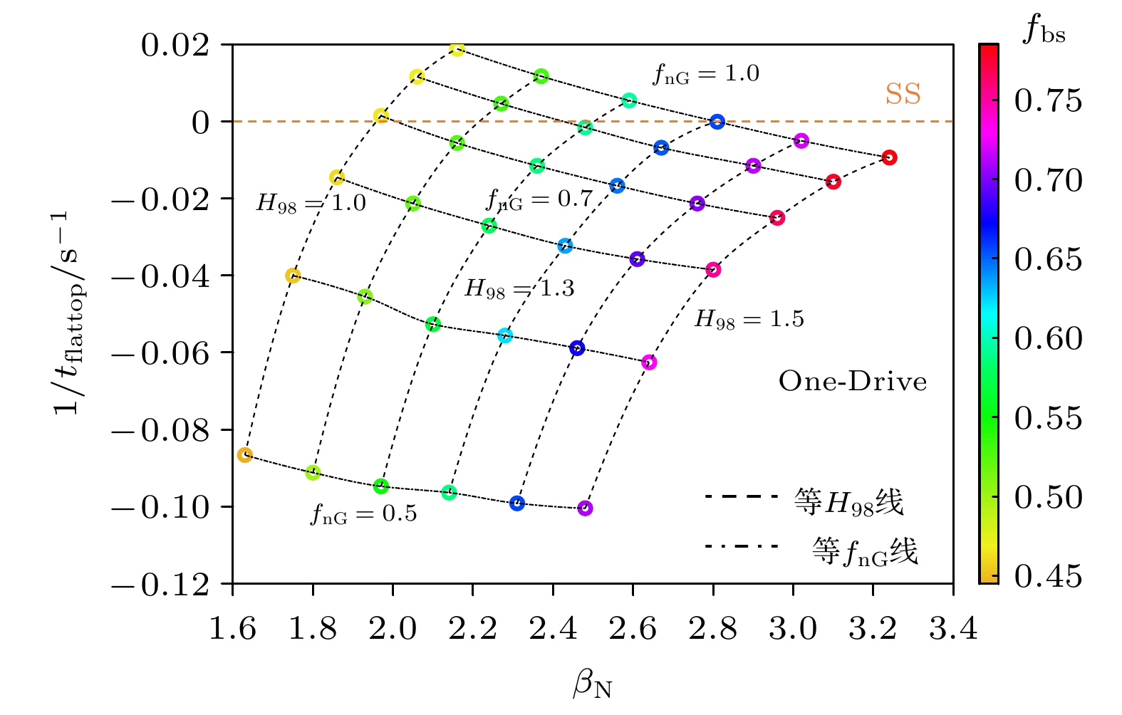
The zero-dimensional system model has been widely used for predicting and analyzing plasma performance in fusion reactors and designing next-generation tokamaks. These models can quickly scan and calculate various parameter, and can be used for the design of device reference operation point and preparation for more accurate one-dimensional numerical simulations. They can also be used to predict device operational parameters and heating/ current drive conditions, providing a quick reference for experimental design. However, relying on physical approximations and empirical formulas can lead to significant systematic errors. In this work we introduce a plasma equilibrium program to obtain the main plasma profile parameters and their calculations based on magnetic surface information. The bootstrap current calculation is improved by introducing the relationship between the bootstrap current coefficient of the Sauter model and the collision rate change. The improved model is validated by using experimental results from EAST, and the results of the zero-dimensional system model calculations are found to be consistent with the results of kinetic equilibrium analysis. Based on the improved model and existing experimental results, the required heating/current drive power and achievable normalized beta for steady-state, long-pulse operation of the 500 kA plasma current on EAST are analyzed and predicted. The calculation results show that EAST can achieve steady-state operation at the 500 kA plasma current with bootstrap current fraction over 50% in the parameter range of 7.0–9.5 MW heating/driving power,
$ {H}_{98} $
is 1.25–1.35, and
$ {f}_{{\rm{n}}{\rm{G}}} $
~0.9. Additionally, to maintain the total non-inductive current, the total heating/current drive power needs to be highly sensitive to plasma confinement and density, which is the most effective way to increase the bootstrap current fraction and reduce the peak heat loads on the divertor. Improving plasma confinement is the most effective way to achieve high bootstrap current fraction and reduce the peak heat load on the divertor. In this work, we also analyze the effect of heating power ratio on the bootstrap current, showing that adjusting the power ratio can change the bootstrap current fraction, and we further analyze the long-pulse operating region of EAST with a plasma current of 500 kA. In the range of 9.5 MW total heating/current driving power,
$ {H}_{98} $
is 1.0–1.4, and normalized electron density
$ {f}_{{\rm{n}}{\rm{G}}} $
is 0.8–1.0, high-performance long-pulse or fully non-inductive steady-state operation can be achieved, supporting the research on the physics of ITER and CFETR steady-state operation modes. In general, improving the plasma confinement performance can achieve fully non-inductive operation at lower heating/driving power while maintaining the same plasma parameters, and expand the plasma operating regime, which is the most effective way to achieve high-parameter steady-state operation of the plasma.