The mixed spin-(1/2, 5/2) Ising-
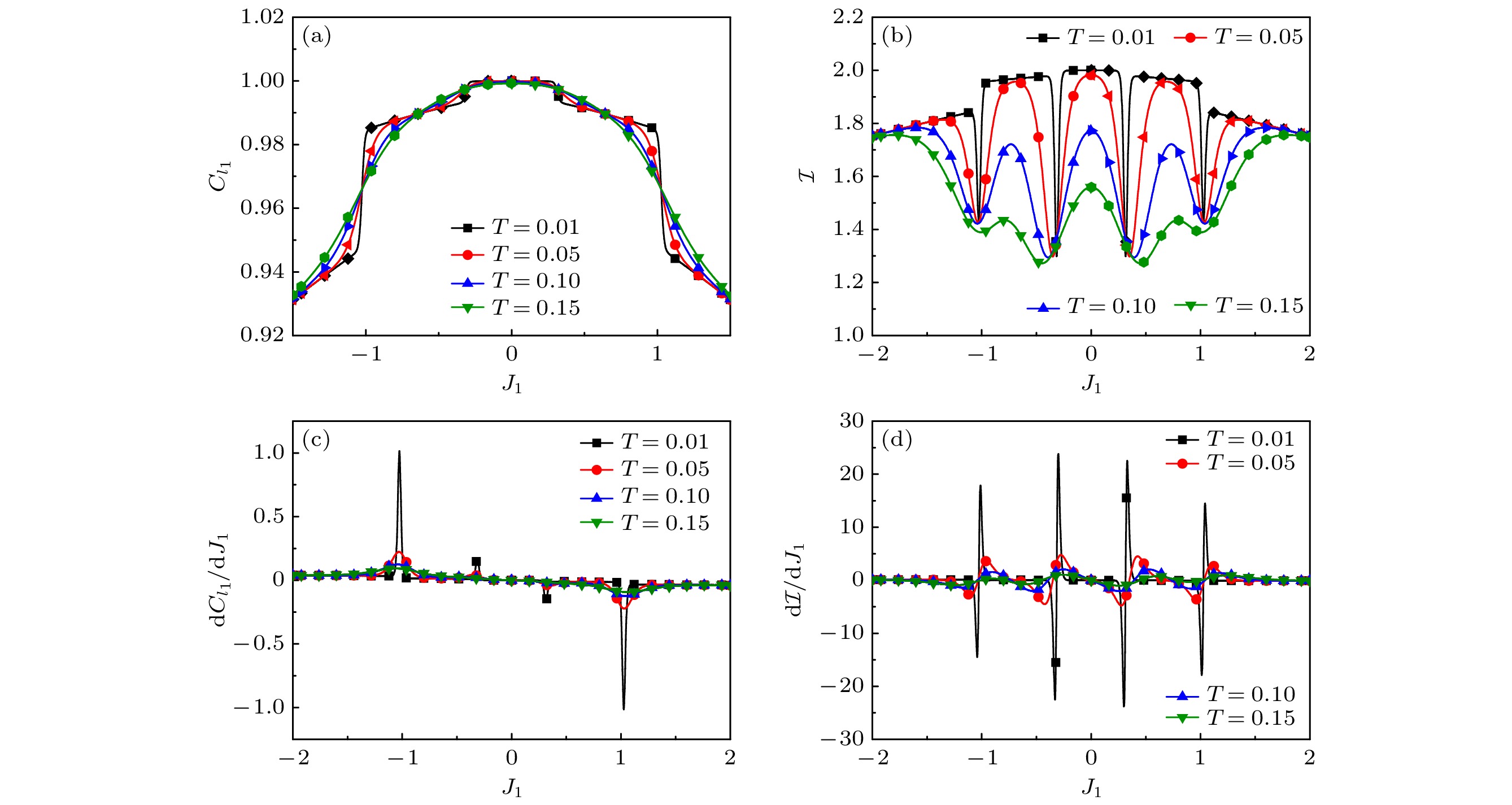
XXZmodel on quasi-one-dimensional lattices can be used to study the properties of some materials (such as heterotrimetallic Fe-Mn-Cu coordination polymer), and the study on this model is beneficial to the practical applications of such materials in the field of quantum information. The quantum coherence and mutual information are calculated by the transfer matrix method, and the effects of Ising interaction, temperature and magnetic field on them are discussed. The results show that the quantum coherence decreases gradually with the increase of Ising interaction at extremely low temperatures, while there is one minimum value of mutual information in an isotropic system and there appear four minimum values in an anisotropic
$\left( {\varDelta = 4} \right)$
system. Furthermore, quantum coherence and mutual information jump abruptly at quantum phase transition points where the first derivatives of them exhibit singular behaviors. The quantum coherence and mutual information at finite temperatures are also studied. As the temperature increases, they decrease monotonically in a weak magnetic field, but they first increase and then decrease in a higher magnetic field, which is caused by the competition between thermal fluctuation and magnetic field. Compared with quantum mutual information, quantum coherence exists over a wider range of magnetic field and temperature, which can be easily manipulated experimentally.