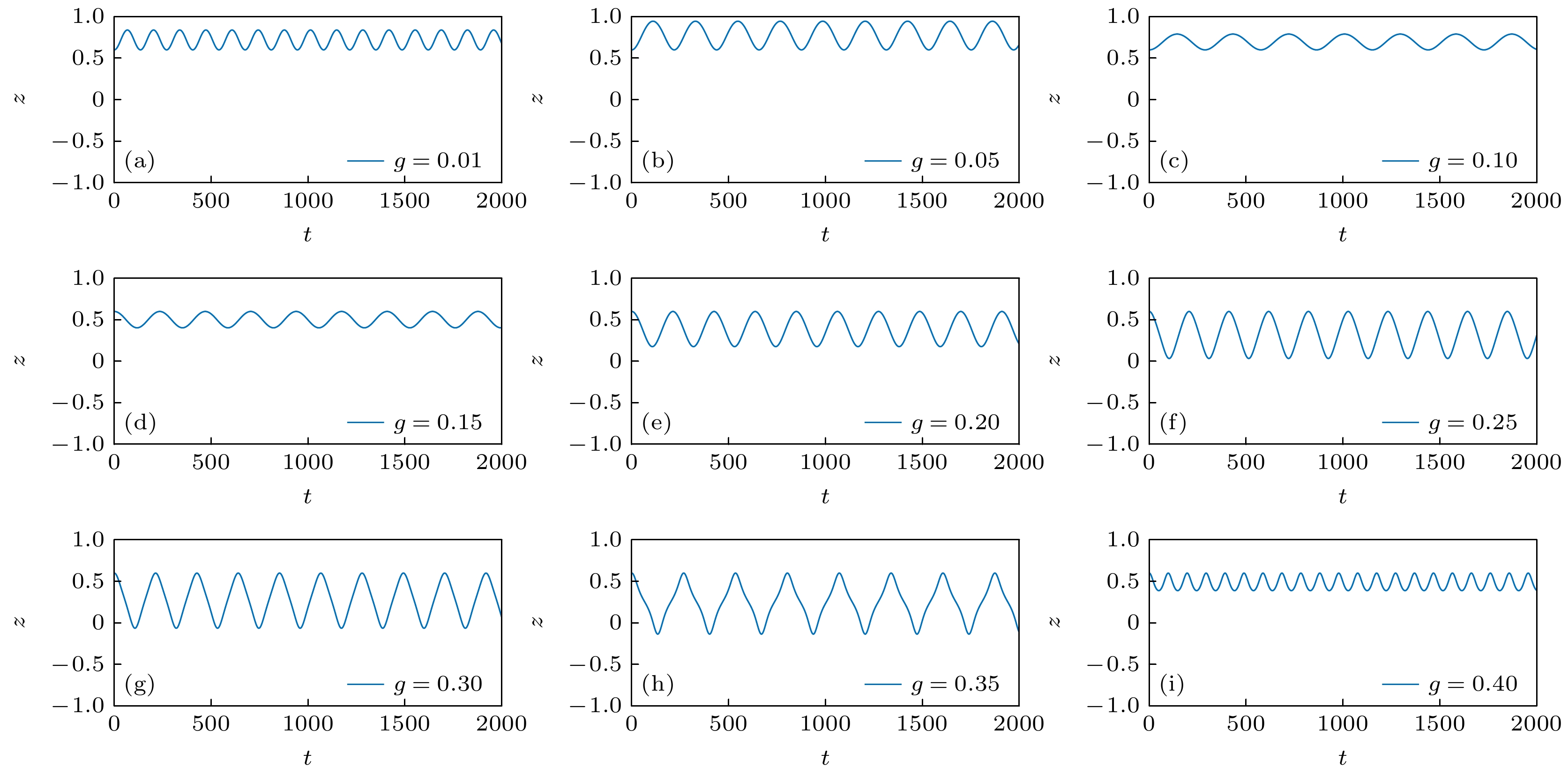
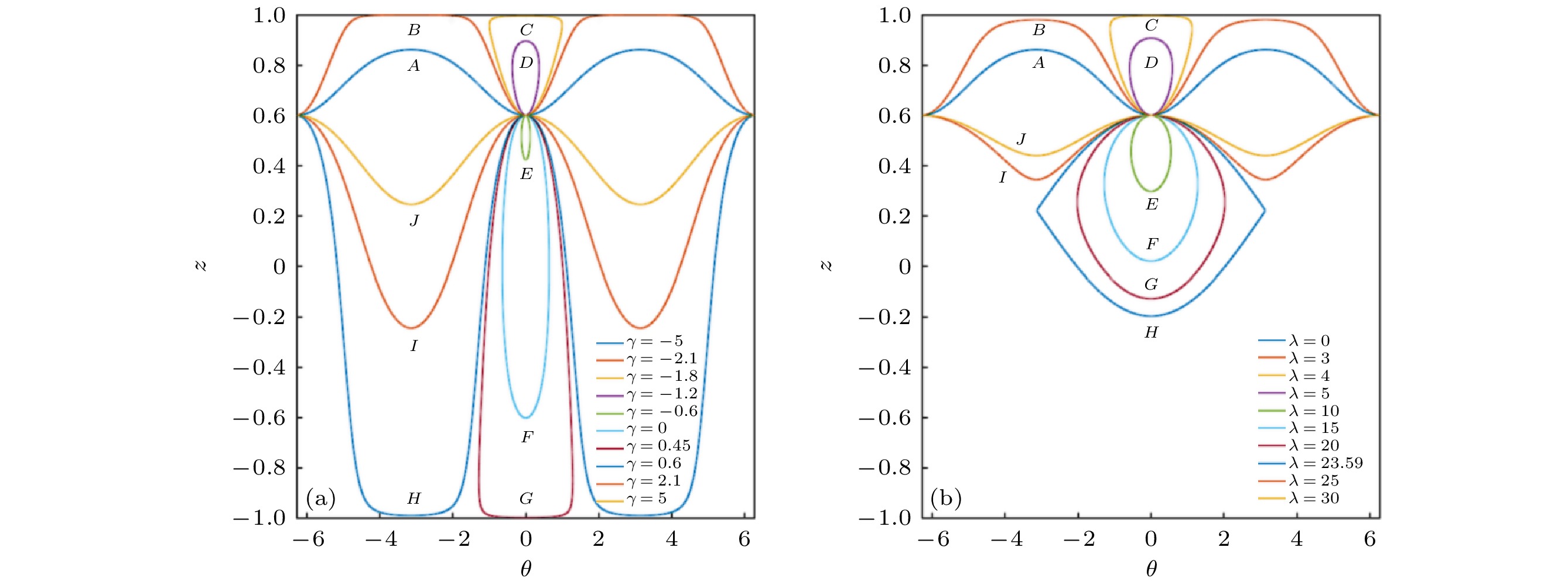
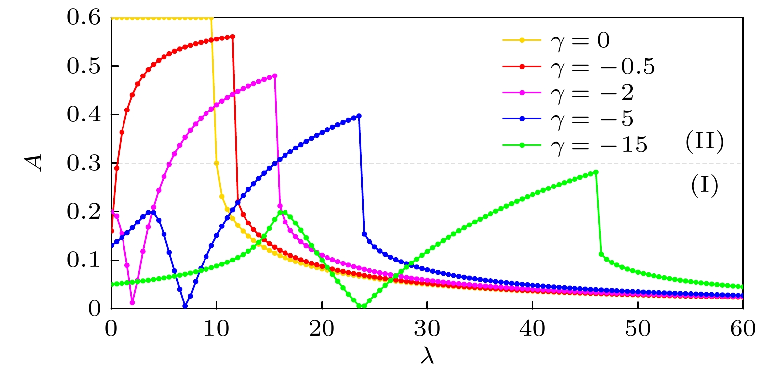
Josephson effect of Bose-Einstein condensate in double-well potential is an obvious manifestation of macroscopic quantum coherence. Most of researches focus on the symmetric double-well potential. In this work, we investigate the dynamic of Bose-Einstein condensates in an asymmetric double-well potential by using two-mode theory and computer simulation. In the absence of the interaction between atoms, the dynamic equation of condensate can be solved analytically. The amplitude as a function of energy difference of two wells is obtained. We can find that the change of energy difference will lead to the different dynamic behaviors of condensate. If the energy difference is relatively large, the condensate will primarily occupy the well that is occupied more than the other well at the beginning time. It is interesting that such a trap phenomenon is not dependent on the position of the high energy potential well nor the position of low energy potential well. If the energy difference becomes small, the tunneling and oscillation of condensate will be enhanced. When the interaction between atoms is present, our numerical calculations show that as the nonlinear interaction increases, the dynamic behavior of condensate exhibits different characteristics, such as trapping in a well, enhancing the tunneling and oscillation between two wells, and enhancing the trapping in a well at large nonlinear interaction, which is similar to the dynamic change caused by the energy difference in the case of ideal condensate. That is to say, on the one hand, the nonlinear interaction can lead to the trap of condensate as well as the dynamic trap to happen in symmetric double-well potential. On the other hand, the nonlinearity can promote the tunneling of condensate, counteracting the effect of the asymmetry of potential. And, this counteracting effect is related to the difference in energy between asymmetric potential wells. To understand the underlying mechanism, the full dynamic behavior of two-mode model is illustrated and the dynamic transition can be seen clearly. Combining the results obtained with and without interaction, regarding nonlinear interaction as effective potential provides a clear way to explain dynamic transition of condensate in an asymmetric double-well potential. In addition, we also perform the numerical simulations of the Gross-Pitaevskii equation, and the results are consistent with the conclusions obtained by using the two-mode theory.