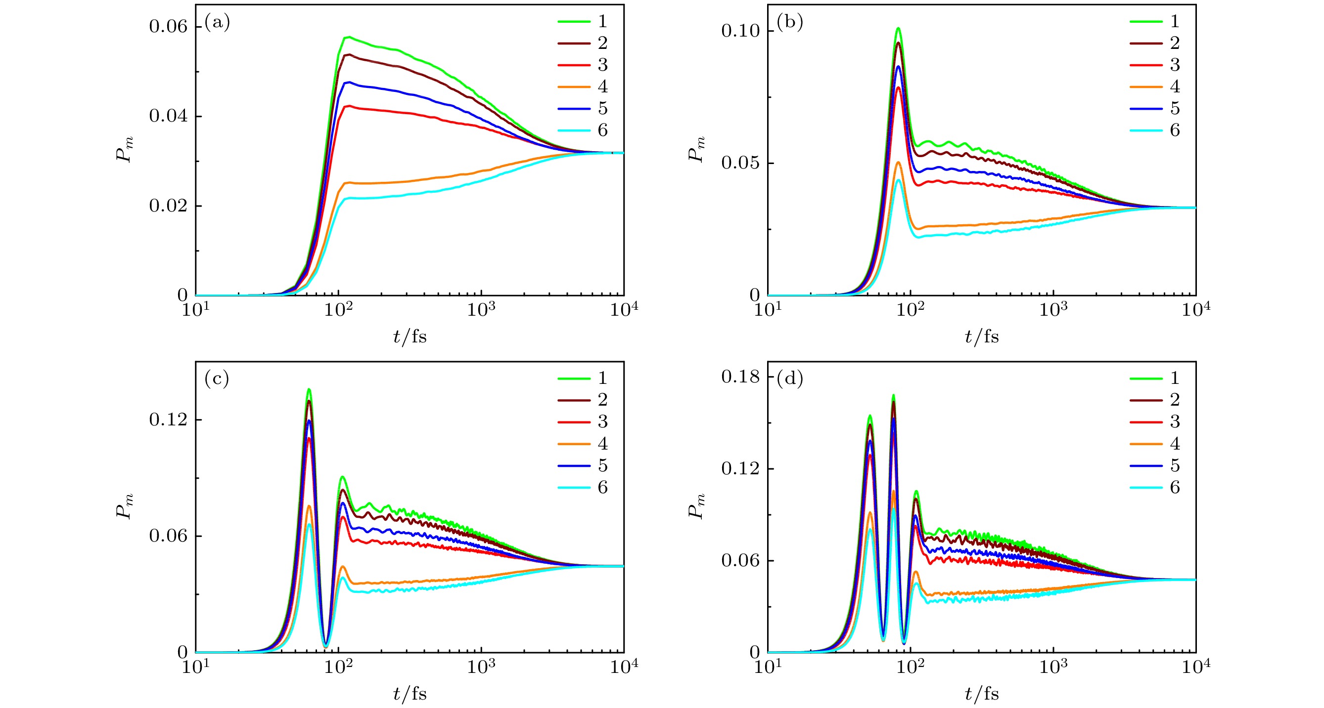
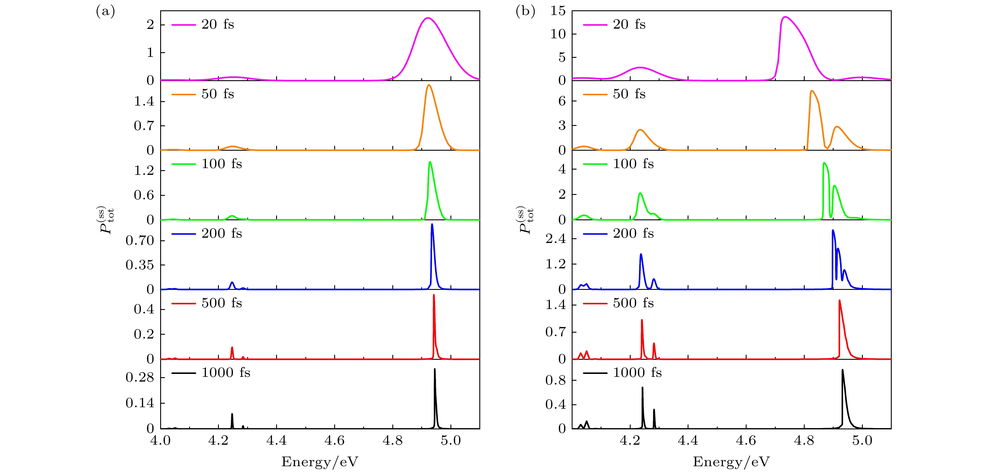
Excitation energy transfer is one of the most important factors affecting the applications of para-sexiphenyl devices. The study of exciton dynamics and exciton coherence effect of para-sexiphenyl clusters under external field excitation is important in order to improve the performance of molecular devices composed of para-sexiphenyl and its related derivatives. In this work, the two-dimensional disc-like para-sexiphenyl molecular cluster is used as the object of study. The molecular system is simplified into a two-level model based on its structural features and energy level distribution. Within the framework of density matrix theory, the exciton dynamics and exciton coherence behavior of disk-like para-hexaphene molecular clusters excited by different pulse fields are analyzed through using the mathematical mean value approximation of the operator. The results show that when long pulses are used to excite para-sexiphenyl clusters, the single exciton state characteristic appears and is insensitive to the change of excited external field strength. When the clusters are subjected to strong pulsed fields with short pulse widths, multiple excitons are excited simultaneously in the cluster, forming multiple exciton states, with the exciton energy levels shifting toward lower energy and new hybrid states appearing. In the optical response spectrum, there appear multiple resonance peaks. And as the pulse field is enhanced, the multi-exciton effect becomes apparent and the hybridization energy level increases. Under short pulse excitation, the excited states are distributed differently in different energy regions, but all of them show obvious symmetry. As the highest-energy exciton states of H-type clusters are preferentially excited, we analyze the exciton state population and the exciton coherence evolution with time in the high-energy exciton state. With the pulse field increases, Rabi oscillations appear and the exciton coherence effect increases. When the pulsed field reaches a certain field strength, the exciton oscillation cooperativity disappears in the first 100 fs, showing the non-local characteristic. The position of the wave trough of the exciton state population corresponds to the peak in the exciton coherence size. It indicates that when the pulse field is intense enough, a large number of molecules are in the exciton coherent state during the pulsed excitation, and transient out-of-domain phenomena occur.