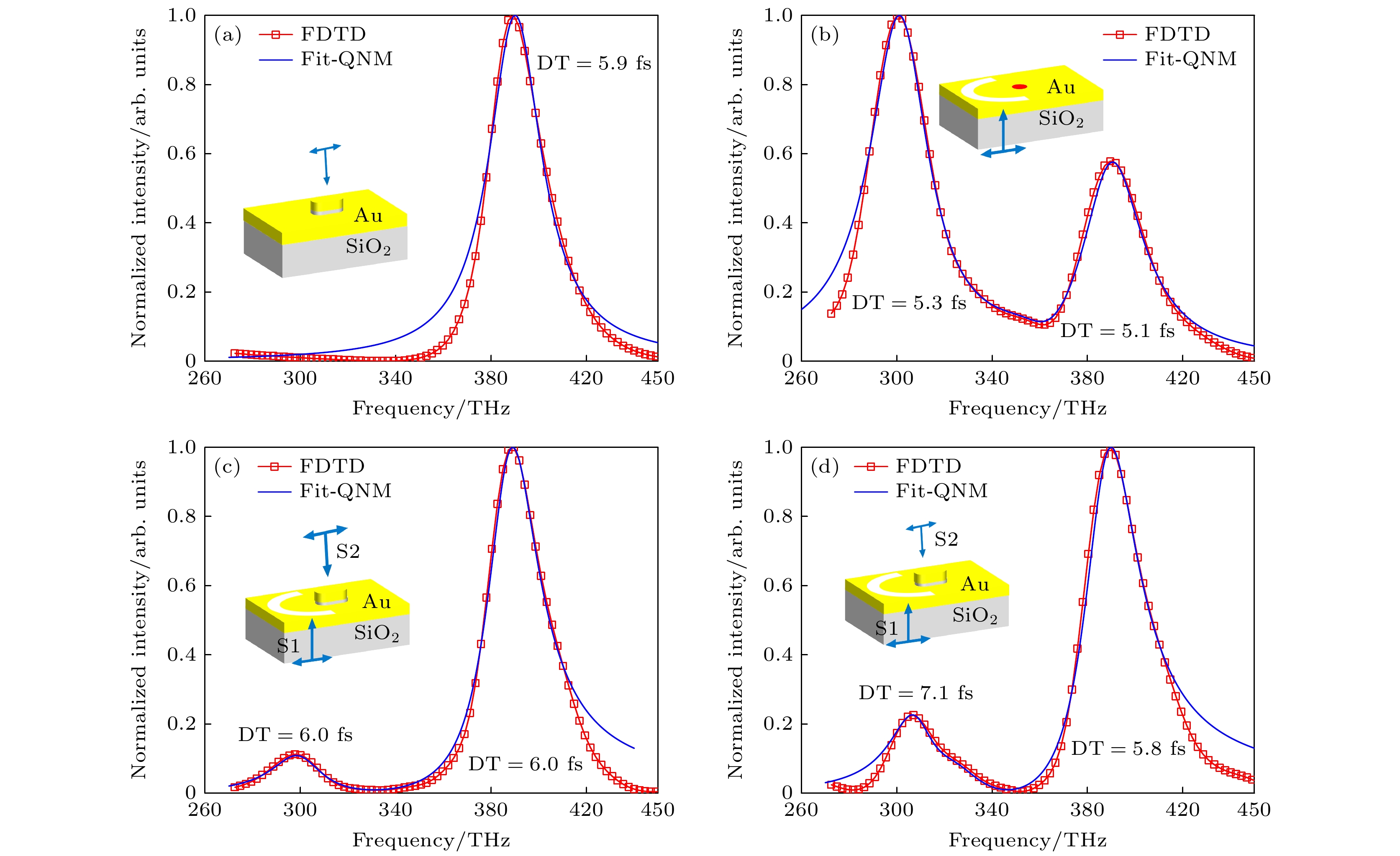
Localized surface plasmon (LSP) generated by nanostructure subjected to the excitation of surface plasmon polariton (SPP) possesses stronger near-field enhancement and special spectral and dynamic responses, thereby providing a new idea for exploring the interaction between light and matter. Meanwhile, this scheme can also release the signal background noise and structural thermal effect, and improve the performances of plasmonic components and sensing detectors based on LSP. However, the current research in this aspect is still insufficient. In this paper, we investigate the near-field characteristics of a plasmon composite structure composed of plasmon focusing lens and gold nanorod under the excitation of dual-beam by using finite-difference time-domain (FDTD) method. The result shows that the near-field intensity control on the upper surface and in the gap position of the nanorod can be achieved by adjusting the relative time delay between the first light beam (used to excite SPP) and the second light beam (used to excite LSP). Specifically, the maximum adjustment range of the near-field intensity corresponding to 770 nm resonant mode in the gap position is about 23, and the adjustment period is about 2.4 fs. In a resonant mode dominated by SPP at a wavelength of 999 nm, the adjustment range of near-field intensity is as small as 6, and the adjustment period is about 4 fs. On the upper surface of the structure, the adjustment range of the near-field intensities of the two resonant modes (719 nm and 802 nm) are basically the same (about 15), and their adjustment periods are 2.4 fs and 2.8 fs. The achievement of the near field control is attributed to the coherent superposition of SPP-excited LSP with light-excited LSP. In addition, the dephasing time of the coupling field is investigated by using a quasi- normal mode. It is found that the nanorod structure will correspond to different dephasing time under different relative time delay between two excitation light beams. Specifically, for the time delay of 0.72 fs (Δ
t= 0.72 fs), the corresponding dephasing times for both modes are the same (6.0 fs). For Δ
t= 1.92 fs, the dephasing time of the longer-wavelength mode is 7.1 fs, and the one of the shorter-wavelength mode is 5.8 fs. We attribute the difference in dephasing time to different coupling strengths between the two modes at different delay times. This study may further promote the application of plasmons in the fields of surface-enhanced Raman scattering and plasmon assisted catalysis.