Molecular motor can effectively convert chemical energy into mechanical energy in living organisms, and its research is currently at the forefront of study in biology and physics. The dynamic process of its guided movement, along with the crucial role they play in intra-cellular material transport, has significantly aroused the interest of many researchers. Theoretical and experimental researches have allowed detailed examinations of the motion attributes of these molecular motors. The Brownian ratchet model important. It provides an illustration of a non-equilibrium system that transforms thermal fluctuation into guided transport by utilizing temporal or spatial asymmetry. The mechanism has been extensively explored and studied across fields including physics, biology and nanotechnology. Investigations into a variety of ratchets and identification of optimum conditions contribute to a deeper understanding of guided Brownian particle transport.
Preceding studies on ratchet systems largely concentrated on the rectification motions of diverse types of particles-active, polar and chiral-in asymmetric structures. However, the transport of deformable particles in asymmetric channel has not been examined relatively. Particles in soft material systems such as cell monolayer, tissue, foam, and emulsion are frequently deformable. The shape deformation of these soft particles significantly affects the system’s dynamic behavior. Thus, understanding the guided transport of these deformable particles within a confined structure is crucial.
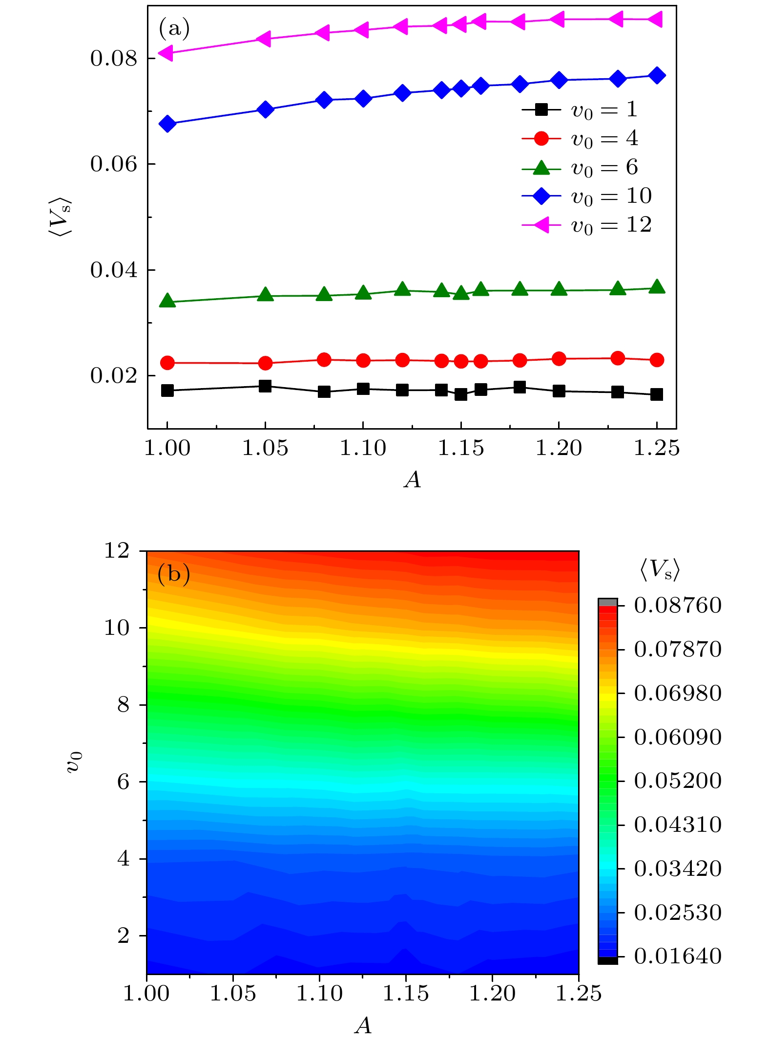
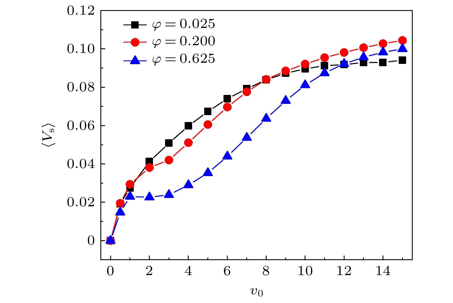
In order to explain this problem more clearly, we numerically simulate the guided transportation of active, deformable particles within a two-dimensional, periodic, asymmetric channel. We identify the factors that influence the transport of these particles within a confined structure. The main feature of the deformable particle model is that the particle’s shape is characterized by multiple degree of freedom. For active deformable particles, self-propulsion speed disrupts thermodynamic equilibrium, leading to guided transport in spatially asymmetric condition. Our findings demonstrate that a particle’s direction of movement is entirely determined by the channel's asymmetric parameter, and it tends to be attracted towards increased stability. Augmenting particle self-propulsion speed and particle softness can facilitate ratchet transport. When the self-propulsion speed
v
0is large, the particle’s tensile effect becomes more apparent, and particle softening significantly enhances directed transport. In contrast, an increase in density and rotational diffusion can slow particle rectification. Increased density can obstruct particles, making channel passage more difficult. Elevated rotational diffusion reduces persistence length, challenging particle transition through channels. With constant density, a greater number of particles will also encourage rectification. These research findings offer a valuable insight into the transportation behaviors of deformable particles in a confined structure. They also deliver crucial theoretical support for applicable experiments in the field of soft matter.