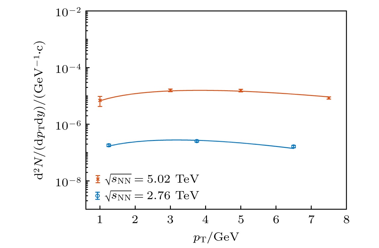
The
$ \varUpsilon(1S) $
meson serves as a reliable probe in heavy-ion collisions, as the regeneration process in the quark-gluon plasma (QGP) is negligible compared to
$ J/\psi $
. Therefore, the distribution of
$ \varUpsilon(1S) $
in the hadron gas provides valuable information about the QGP. Consequently, its study holds great significance. The distribution in the hadron gas is influenced by flow, quantum, and strong interaction effects. Previous models have predominantly focused on one or two of these effects while neglecting the others, resulting in the inclusion of unconsidered effects in the fitted parameters. In this paper, we aim to comprehensively examine all three effects simultaneously from a novel fractal perspective through physical calculations, rather than relying solely on data fitting. Close to the critical temperature, the combined action of the three effects leads to the formation of a two-meson structure comprising
$ \varUpsilon(1S) $
and its nearest neighboring meson. However, with the evolution of the system, most of these states undergo disintegration. To describe this physical process, we establish a two-particle fractal (TPF) model. Our model proposes that, under the influence of the three effects near the critical temperature, a self-similarity structure emerges, involving a
$ \varUpsilon(1S) $
-π two-meson state and a
$ \varUpsilon(1S) $
-π two-quark state. As the system evolves, the two-meson structure gradually disintegrates. We introduce an influencing factor,
$ q_{{\rm{fqs}}} $
, to account for the flow, quantum, and strong interaction effects, as well as an escort factor,
$ q_2 $
, to represent the binding force between
band
$ \bar{b} $
and the combined impact of the three effects. By solving the probability and entropy equations, we derive the values of
$ q_{{\rm{fqs}}} $
and
$ q_2 $
at various collision energies. Substituting the value of
$ q_{{\rm{fqs}}} $
into the distribution function, we successfully obtain the transverse momentum spectrum of low-
$ p_{\rm{T}} $
$ \varUpsilon(1S) $
, which demonstrates good agreement with experimental data. Additionally, we analyze the evolution of
$ q_{{\rm{fqs}}} $
with temperature. Interestingly, we observe that
$ q_{{\rm{fqs}}} $
is greater than 1 and decreases as the temperature decreases. This behavior arises from the fact that the three effects reduce the number of microstates, leading to
$ q_{{\rm{fqs}}}>1 $
. The decrease in
$ q_{{\rm{fqs}}} $
with system evolution aligns with the understanding that the influence of the three effects diminishes as the system expands. In the future, the TPF model can be employed to investigate other mesons and resonance states.