-
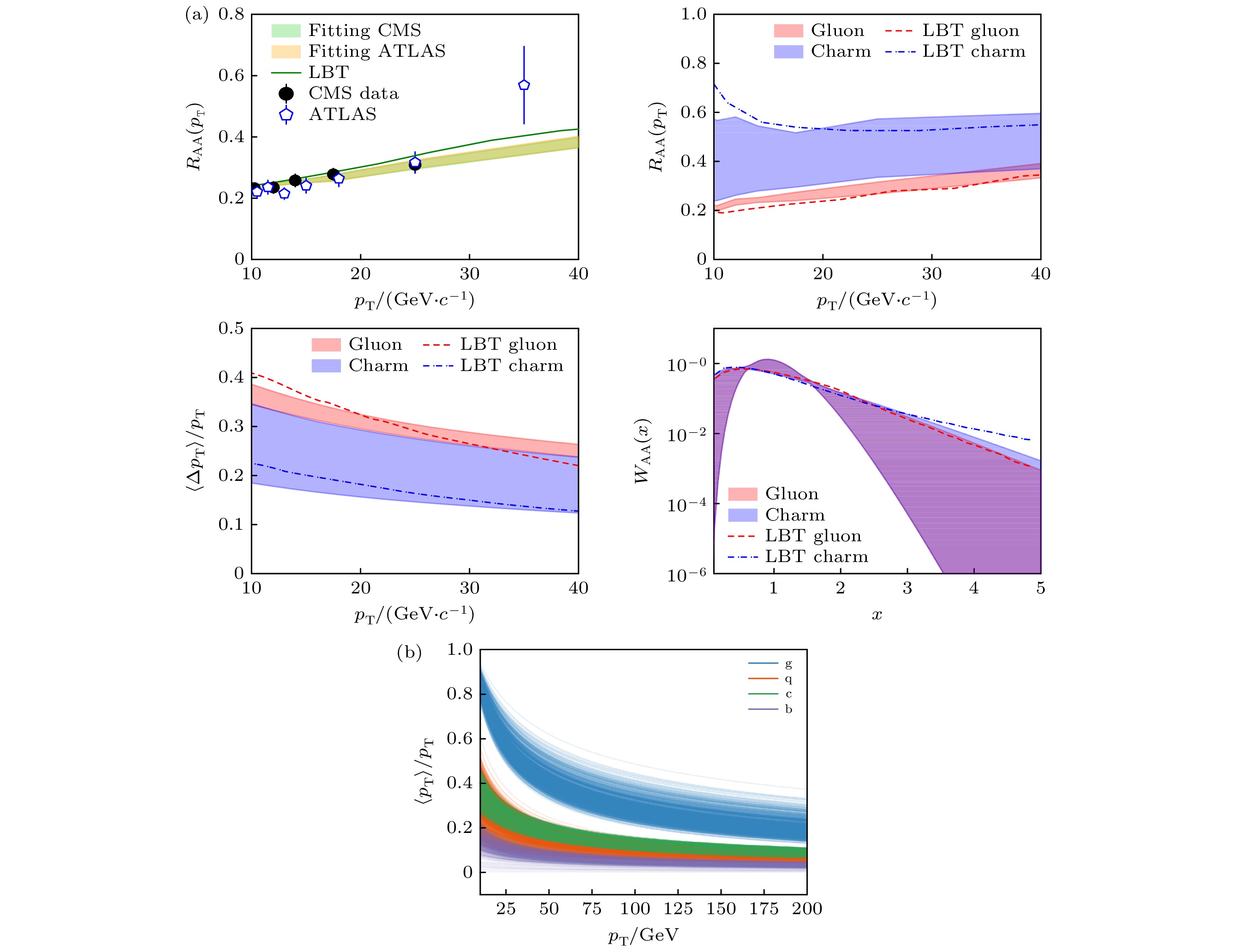
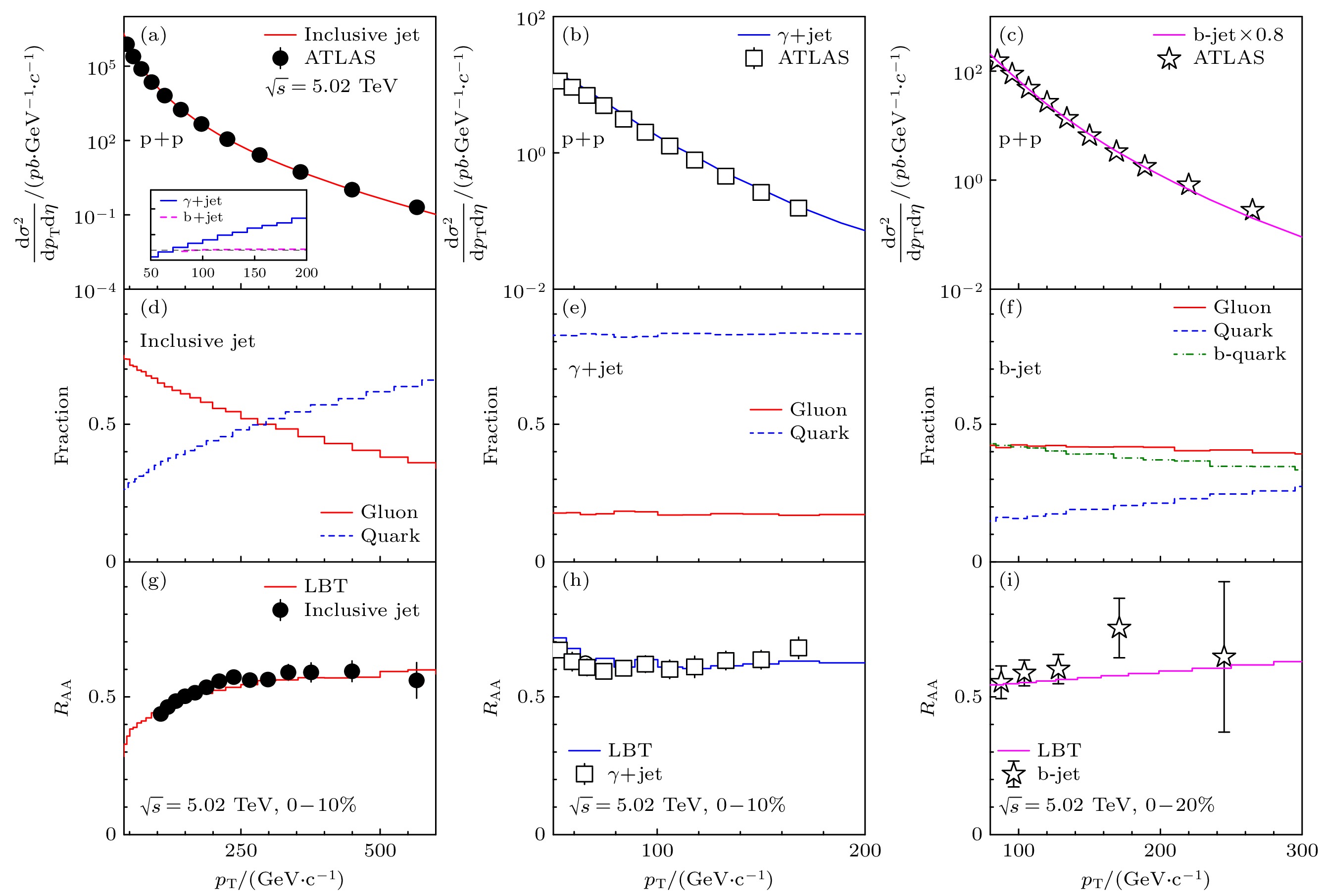
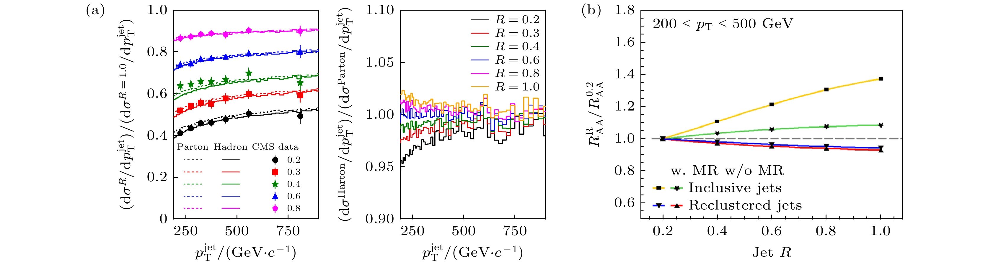
One of the main goals of high-energy nuclear physics is to explore the fundamental properties of quark-gluon plasma (QGP), a new state of quantum chromodynamics (QCD) matter created in relativistic heavy-ion collisions, in which the energetic quarks and gluons, known as fast partons, created prior to the formation of the QGP, traverse the hot-dense medium and experience strong interactions with the constituents of the medium, and eventually lead to the attenuation of jet energy. Such a novel phenomenon, referred to as jet quenching, plays an essential role in probing the transport properties of the QGP. The objective of this paper is to review some of the latest experimental and theoretical progress of jet quenching, such as medium modification on the large
$ p_{\rm T} $ hadrons, full jets, and jet substructures in heavy-ion collisions, as well as the challenges in the forefront theoretical investigations.[1] [2] [3] [4] [5] [6] [7] [8] [9] [10] [11] [12] [13] [14] [15] [16] [17] [18] [19] [20] [21] [22] [23] [24] [25] [26] [27] [28] [29] [30] [31] [32] [33] [34] [35] [36] [37] [38] [39] [40] [41] [42] [43] [44] [45] [46] [47] [48] [49] [50] [51] [52] [53] [54] [55] [56] [57] [58] [59] [60] [61] [62] [63] [64] [65] [66] [67] [68] [69] [70] [71] [72] [73] [74] [75] [76] [77] [78] [79] [80] [81] [82] [83] [84] [85] [86] [87] [88] [89] [90] [91] [92] [93] [94] [95] [96] [97] -
[1] [2] [3] [4] [5] [6] [7] [8] [9] [10] [11] [12] [13] [14] [15] [16] [17] [18] [19] [20] [21] [22] [23] [24] [25] [26] [27] [28] [29] [30] [31] [32] [33] [34] [35] [36] [37] [38] [39] [40] [41] [42] [43] [44] [45] [46] [47] [48] [49] [50] [51] [52] [53] [54] [55] [56] [57] [58] [59] [60] [61] [62] [63] [64] [65] [66] [67] [68] [69] [70] [71] [72] [73] [74] [75] [76] [77] [78] [79] [80] [81] [82] [83] [84] [85] [86] [87] [88] [89] [90] [91] [92] [93] [94] [95] [96] [97]
计量
- 文章访问数:3042
- PDF下载量:110
- 被引次数:0












下载:







