Spherical nucleus
40Ca is important structural and alloy material nucleus. Based on important theoretical value and application prospect of nuclear data of calcium isotopes, nucleon-nucleus scattering data on
40Ca nucleus, the main isotopes of natural calcium, are calculated by using dispersive optical model (DOM). The dispersive optical model potential is defined by energy-dependent real potentials, imaginary potentials, and also by the corresponding dispersive contributions to the real potential which are calculated analytically from the corresponding imaginary potentials by using a dispersion relation that follow from the requirement of causality. By fit simultaneously scattering experimental data for neutron and proton, an isospin-dependent dispersive optical model potential containing a dispersive term is derived. This derived potential in this work considers the nonlocality in the real “Hartree-Fock” potential
$ V_{\rm{HF}} $
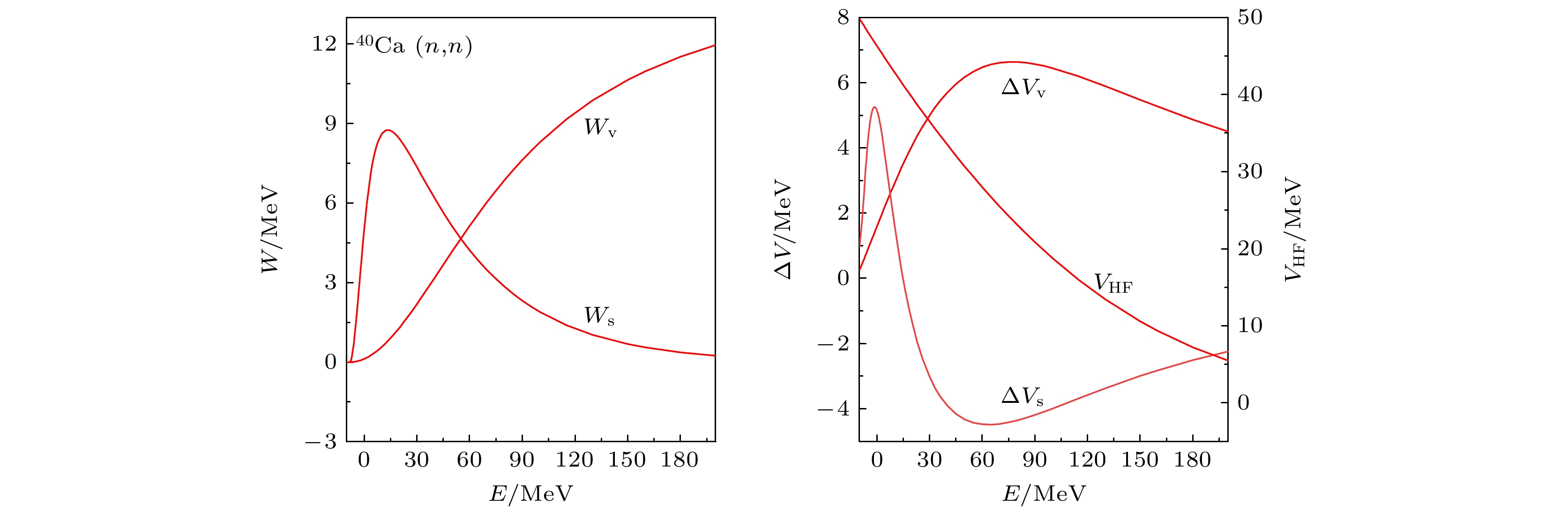
and introduces the shell gap in the definition of nuclear imaginary volume, surface and spin-orbit potentials near the Fermi energy. This dispersive optical model potential shows a good description of nucleon-nucleus scattering data on
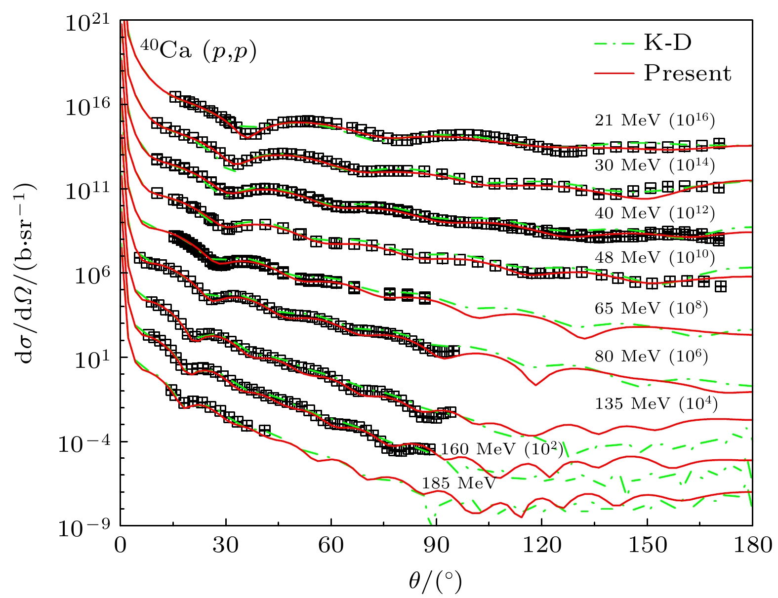
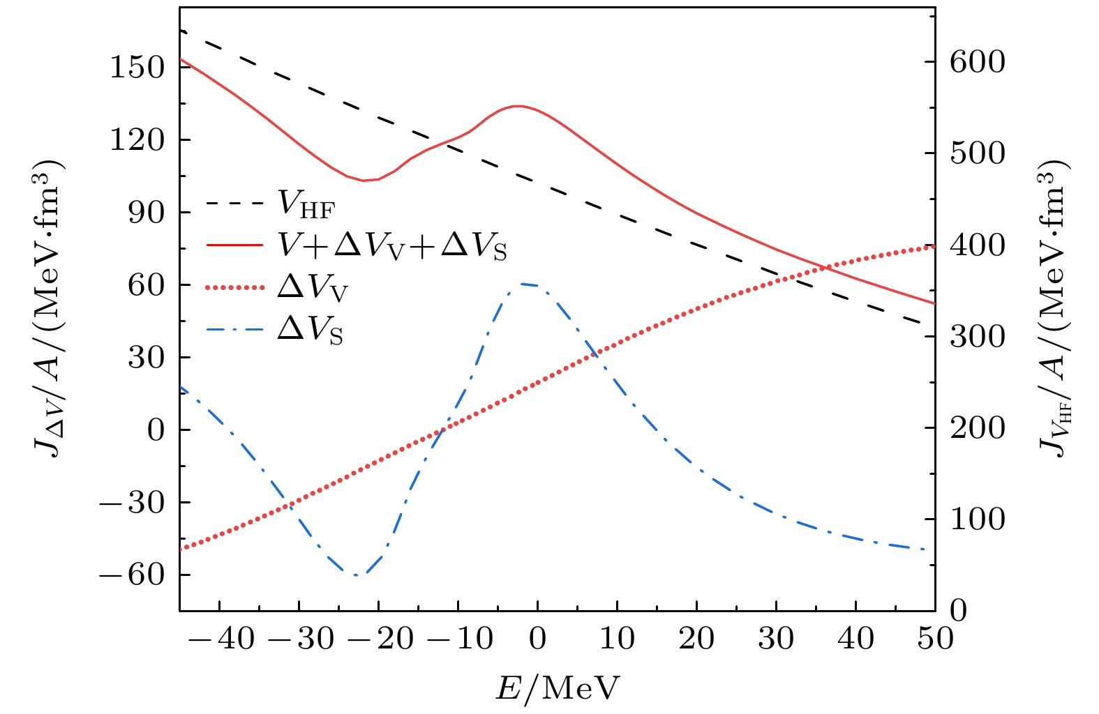
40Ca nucleus up to 200 MeV including neutron total cross sections, neutron elastic scattering angular distributions, proton elastic scattering angular distributions, neutron analyzing powers and proton analyzing powers. In addition, the energy dependencies of calculated real volume integrals of dispersive optical model potential is shown, and a typical dispersive hump is seen around the Fermi energy. This dispersive hump behavior naturally obtained from dispersion relations, and allows the dispersion optical potential to get rid of energy dependent geometry, thus avoiding the use of a radius dependent on energy.