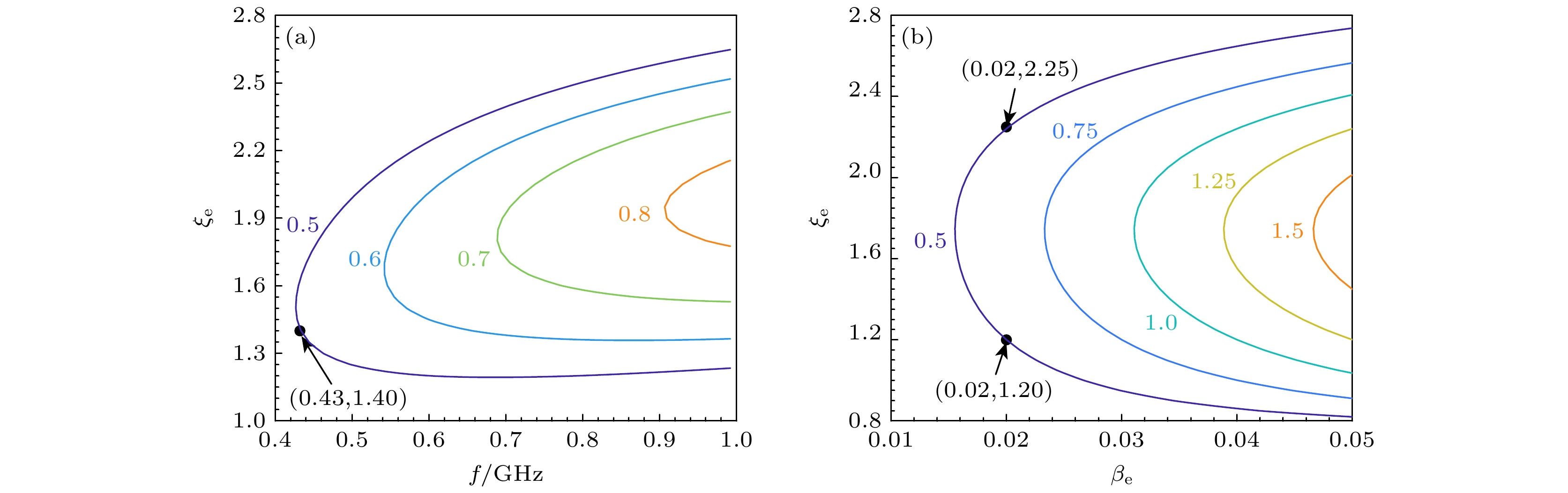
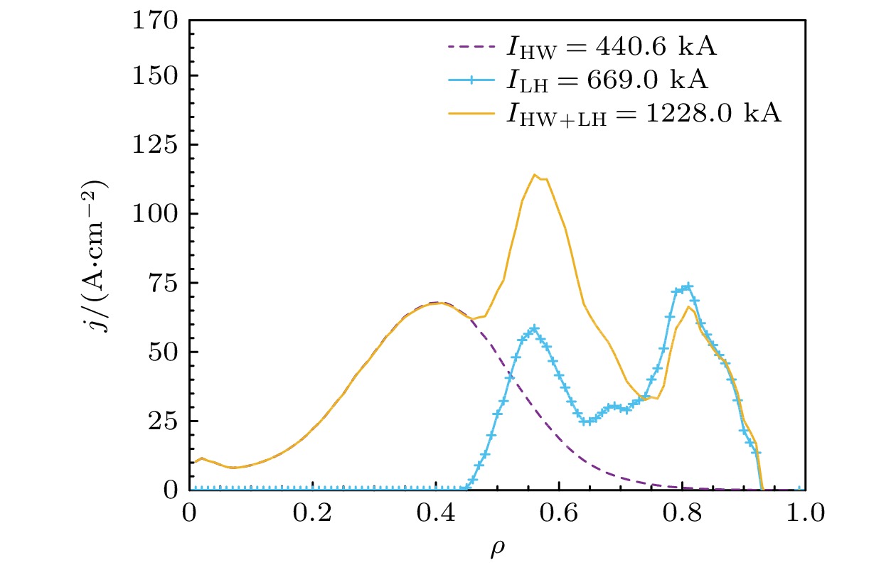
\begin{document}$\rho = $\end{document}0.2—0.9)内; 同时, 螺旋波在平行磁场方向加速电子, 导致了更多的电子进入低杂波共振区, 从而有效地增大了两支波的总驱动电流. 此外, 在强阻尼条件下, 系统地研究了螺旋波平行折射率对双波协同电流驱动的影响, 结果表明双波总是呈现正协同效应, 协同因子高达1.18."> - 必威体育下载

搜索

x

留言板

姓名
邮箱
手机号码
标题
留言内容
验证码

downloadPDF
引用本文:
Citation:

    刘冠男, 李新霞, 刘洪波, 孙爱萍

    Synergistic current drive of helicon wave and lower hybrid wave in HL-2M

    Liu Guan-Nan, LI Xin-Xia, Liu Hong-Bo, Sun Ai-Ping
    PDF
    HTML
    导出引用
    计量
    • 文章访问数:1627
    • PDF下载量:65
    • 被引次数:0
    出版历程
    • 收稿日期:2023-07-01
    • 修回日期:2023-08-11
    • 上网日期:2023-09-12
    • 刊出日期:2023-12-20

      返回文章
      返回