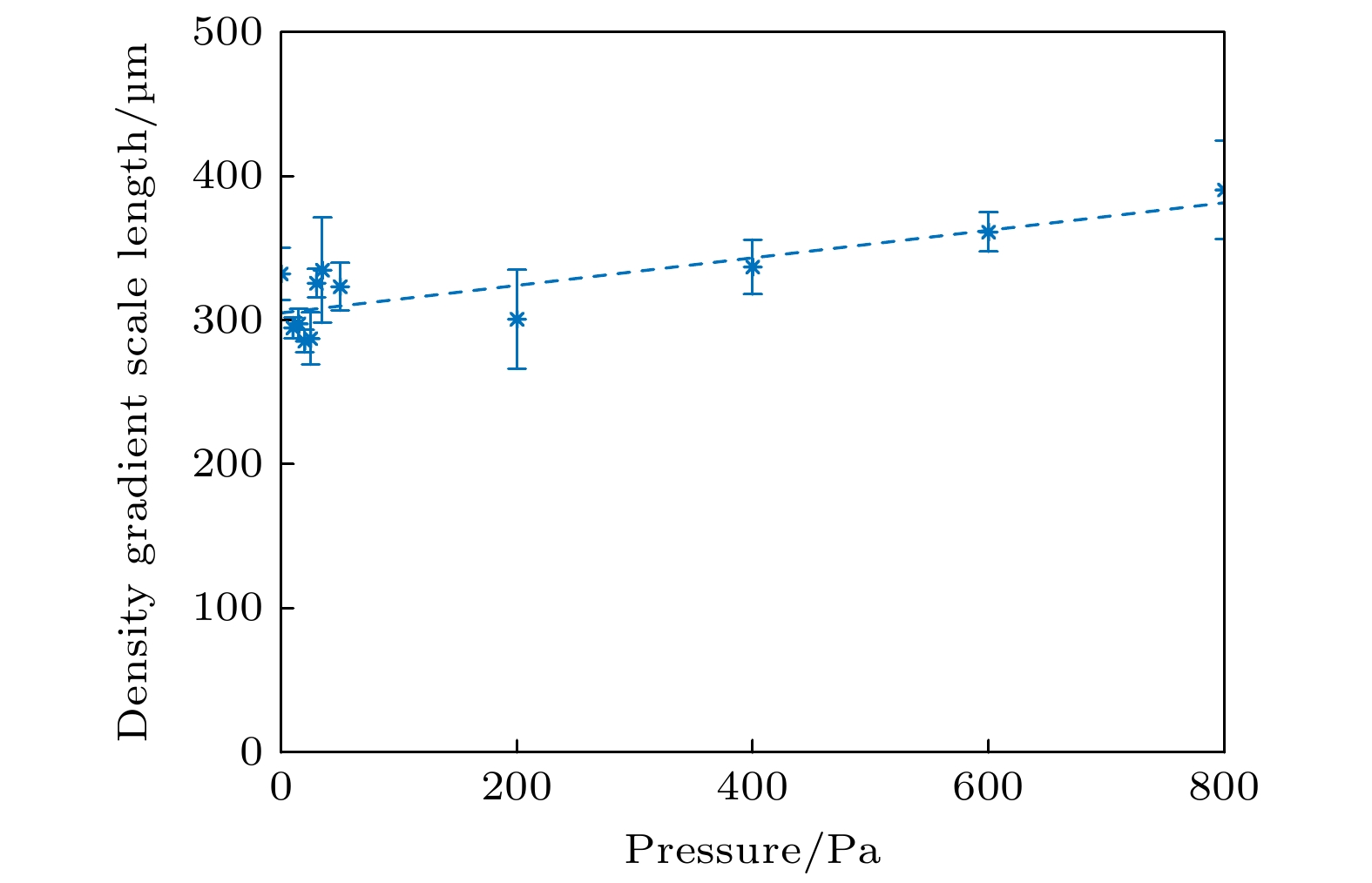
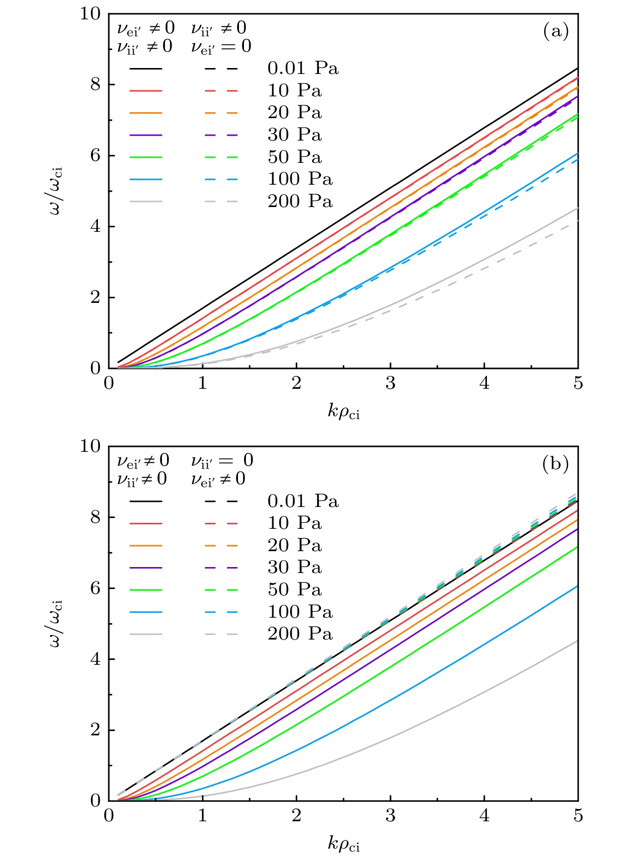
Diamagnetic cavity and flute instability generated by plasma expansion in an external magnetic field are important phenomena in space and fusion physics. We use a nanosecond laser irradiated carbon planar target to generate plasma, and the plasma expands in a 7 T transverse pulsed magnetic field to produce diamagnetic cavity. The flute instabilities formed on the surface of the diamagnetic cavity are explored experimentally. Data analysis shows that, under our experimental parameters, the gyroradius of electron (
$ {\rho }_{{\rm{e}}} $
) is much smaller than the density gradient scale length of the diamagnetic cavity (
$ {L}_{{\rm{n}}} $
), while the ion’s gyroradius (
$ {\rho }_{{\rm{i}}} $
) is much larger than
$ {L}_{{\rm{n}}} $
, indicating that the electrons are magnetized while the ions are not. The relative drift between electrons and ions provides free energy for developing the flute instability, which is composed of gravity drift and diamagnetic drift. The calculation shows that the gravity drift velocity is much larger than the diamagnetic drift velocity in our experiment, so the instability belongs to the large Larmor radius instability. By filling the target chamber with rarefied helium ambient gas, we find that the flute instabilities are inhibited significantly. When the ambient gas pressure exceeds 50 Pa (about 1% of the interface plasma density of diamagnetic cavity), the flute instabilities are almost completely suppressed. Kinetic analyses show that ion-ion collision and electron-ion collision, especially the former, are the main effects that inhibit the development of instability. Our results are of benefit to laser fusion and address the fundamental question of explored space phenomena.