搜索

x

留言板

姓名
邮箱
手机号码
标题
留言内容
验证码

downloadPDF
引用本文:
Citation:

    王重秋, 杨建华

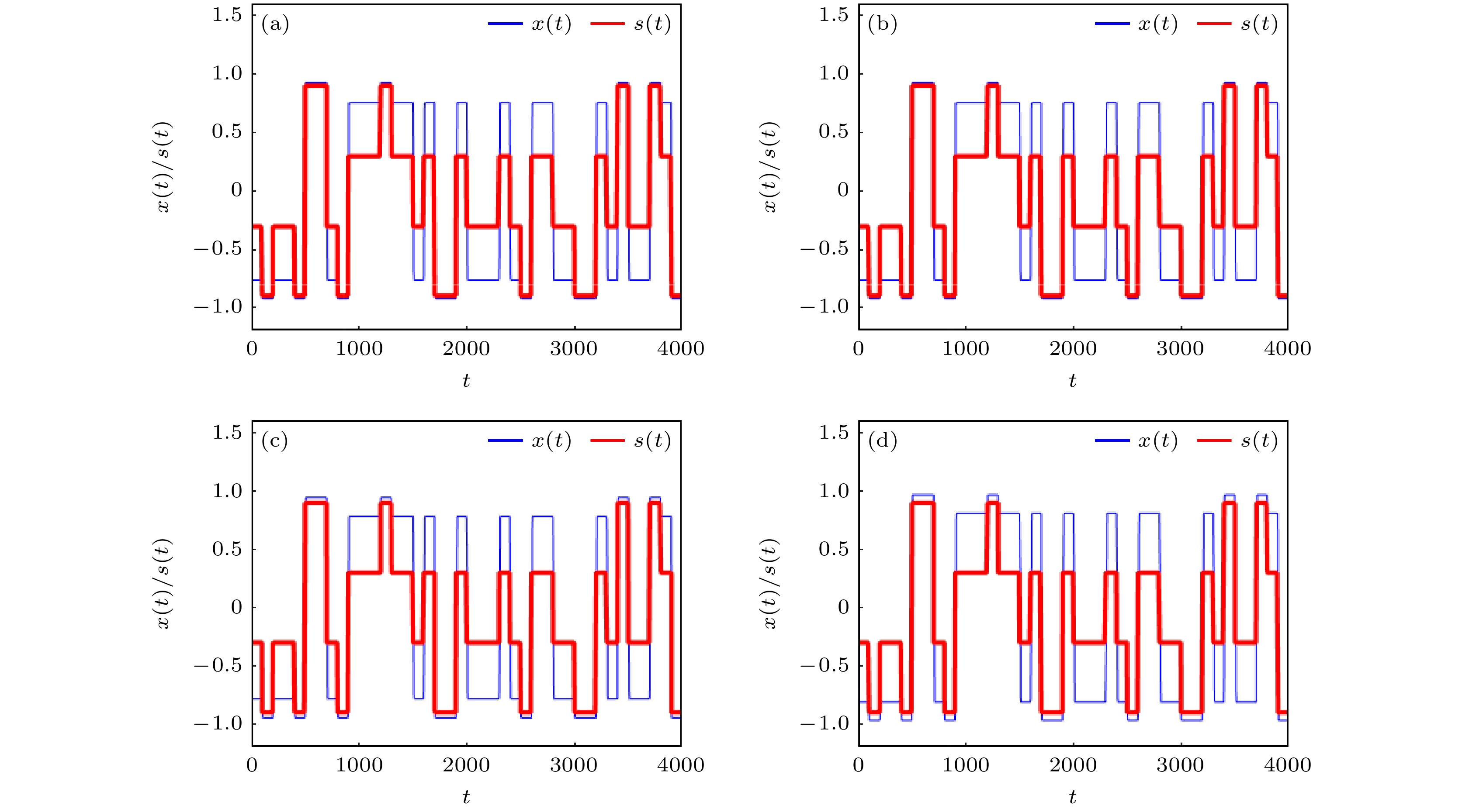
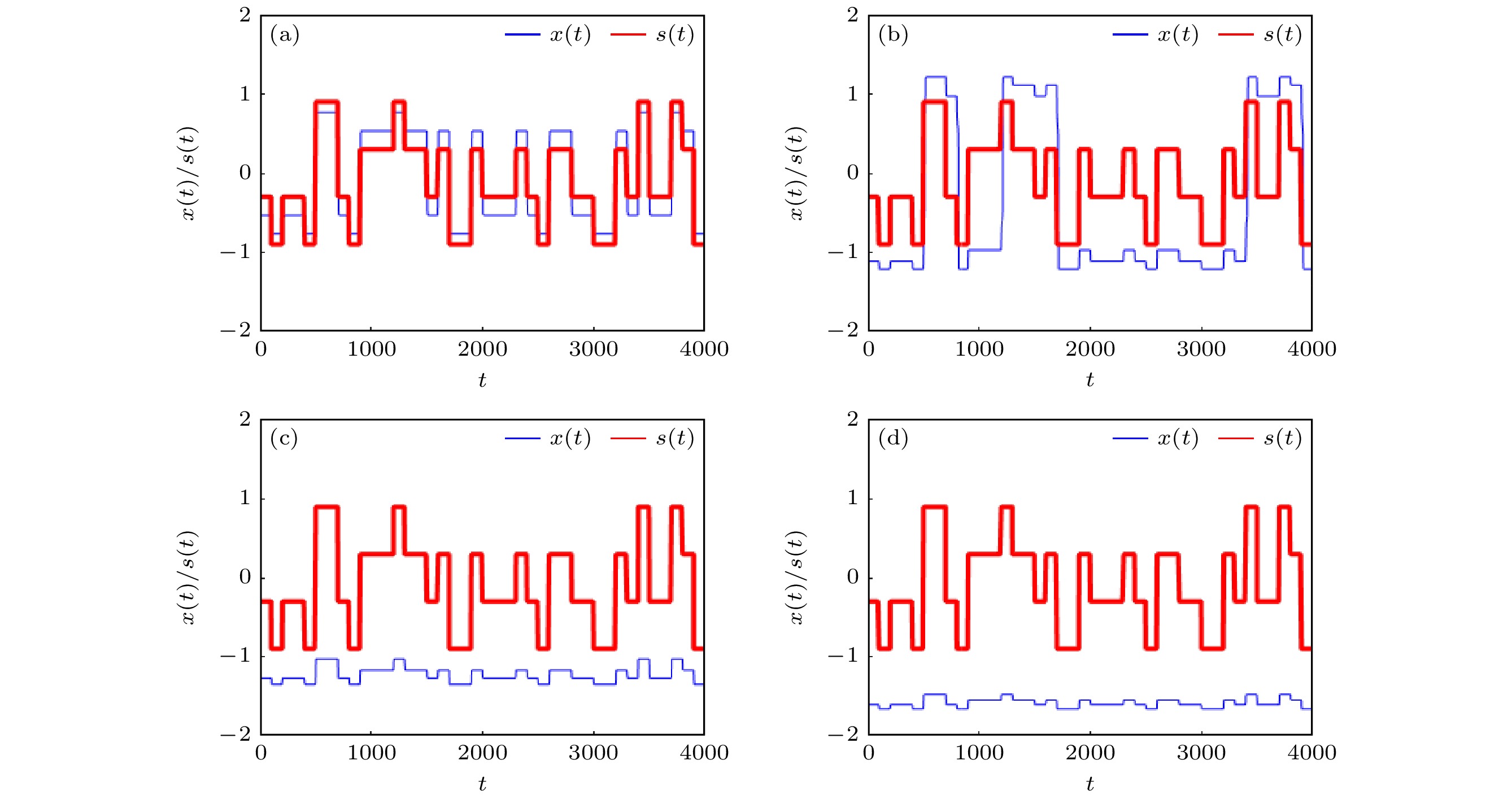
    Aperiodic resonance of a nonlinear system excited by aperiodic binary signal orM-ary signal

    Wang Zhong-Qiu, Yang Jian-Hua
    PDF
    HTML
    导出引用
    计量
    • 文章访问数:1407
    • PDF下载量:44
    • 被引次数:0
    出版历程
    • 收稿日期:2023-07-17
    • 修回日期:2023-08-11
    • 上网日期:2023-09-12
    • 刊出日期:2023-11-20

      返回文章
      返回