搜索

x

留言板

姓名
邮箱
手机号码
标题
留言内容
验证码

downloadPDF
引用本文:
Citation:

    肖友鹏, 王怀平, 冯林

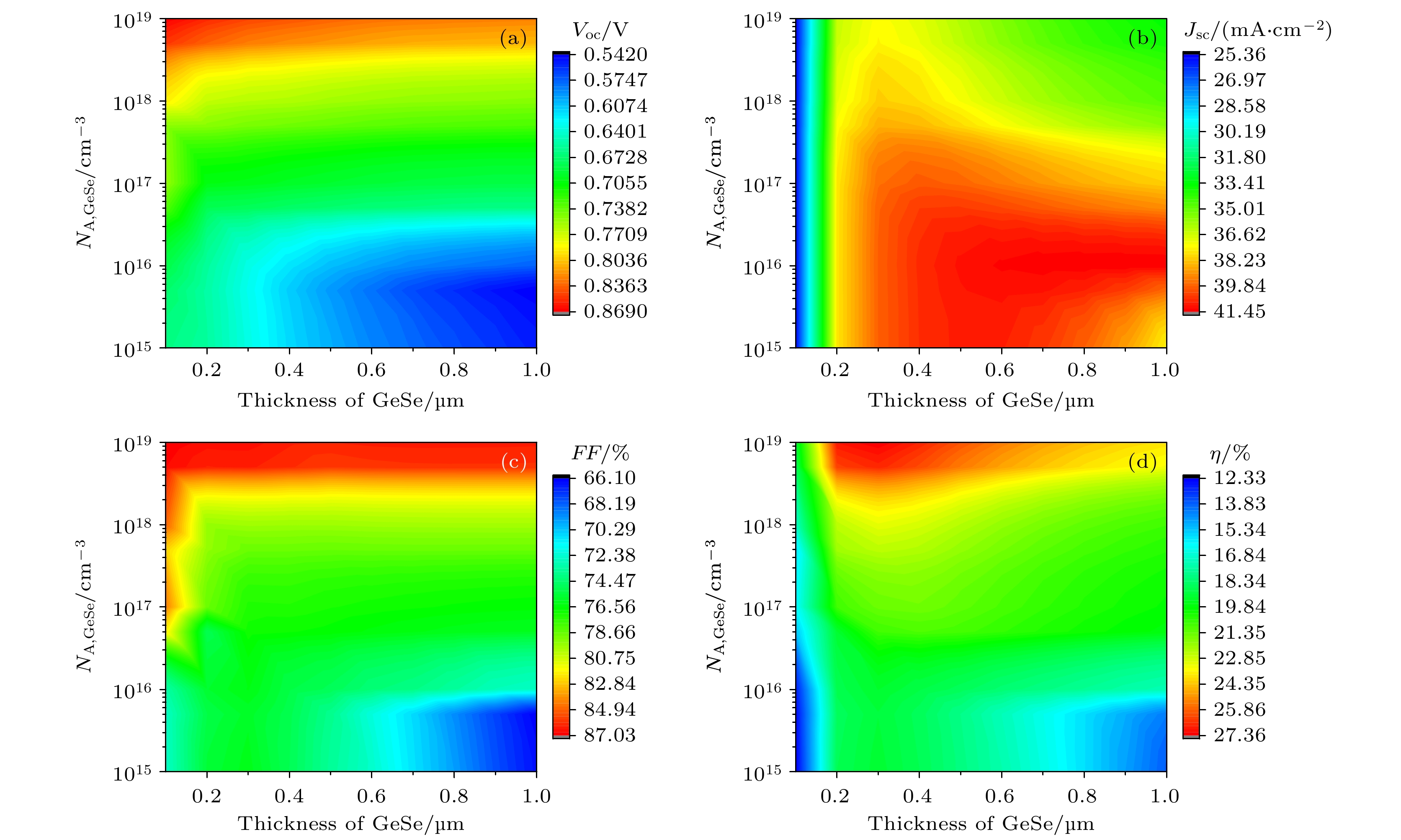
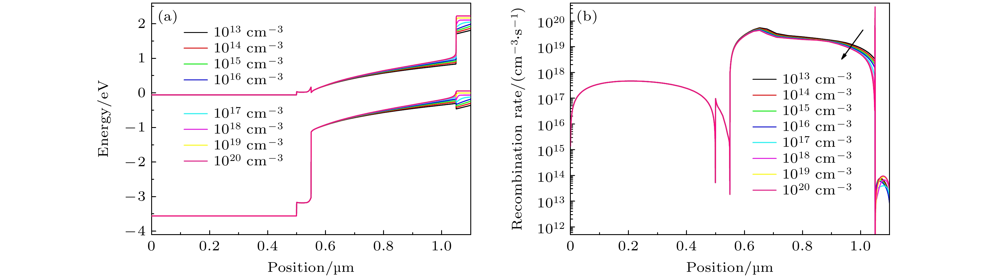
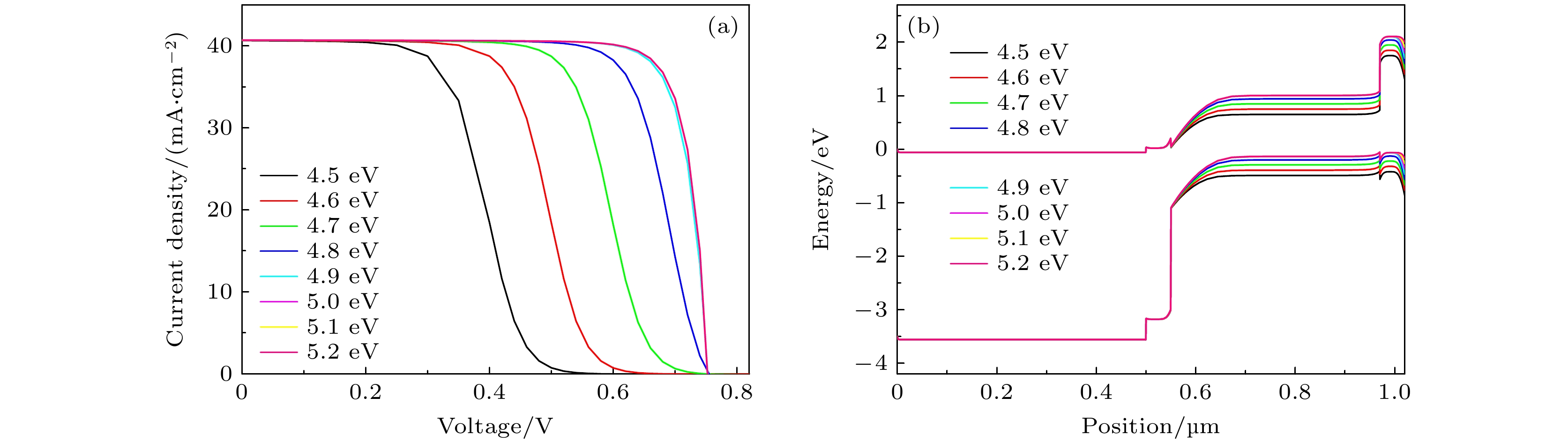
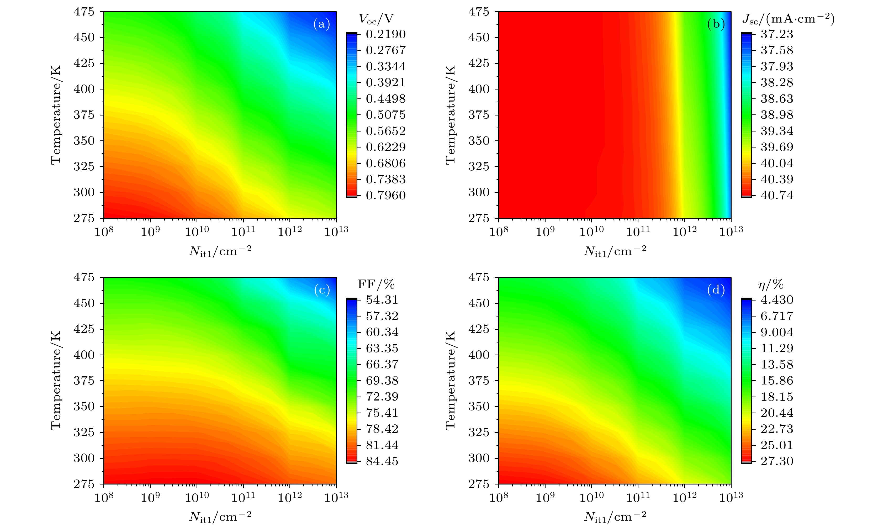
    Numerical simulation of germanium selenide heterojunction solar cell

    Xiao You-Peng, Wang Huai-Ping, Feng Lin
    PDF
    HTML
    导出引用
    计量
    • 文章访问数:1795
    • PDF下载量:55
    • 被引次数:0
    出版历程
    • 收稿日期:2023-07-27
    • 修回日期:2023-08-22
    • 上网日期:2023-09-12
    • 刊出日期:2023-12-20

      返回文章
      返回