-
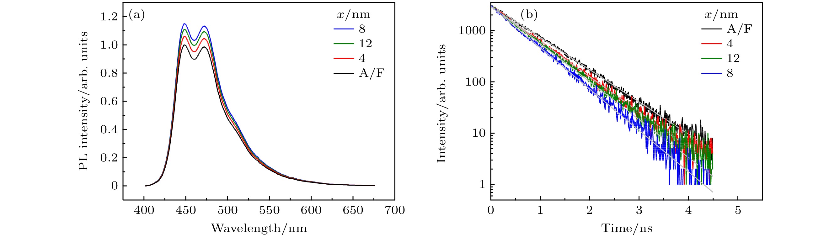
蓝紫光有机电致发光器件难以提升发光效率. 本文以BCzVBi作为深蓝荧光材料, 把Al纳米颗粒引入ITO/PEDOT:PSS/TAPC/BCzVBi:BCPO/TmPyPb/Liq/Al有机发光器件的TmPyPb电子传输层, 尝试用Al纳米颗粒的高频局域等离激元效应来改善此问题. 在室温真空蒸镀Al膜, 厚度为1 nm时, 形成尺寸在10 nm量级的分散纳米颗粒. 将这种颗粒膜插入TmPyPb层内距离BCzVBi:BCPO发光层 x= 4, 8, 12 nm处, 与没有Al层的对比器件相比, 器件的电流密度和发光亮度都会因载流子迁移率变差而下降. 但在 x= 8 nm, 两者都显著回升. 其机理可能在于, x< 8 nm, 会产生过强的荧光淬灭, 而 x> 8 nm, 到达Al颗粒的荧光衰减过多, 又难以产生足够强的局域等离子体振荡. 在 x= 8 nm, 达到最大亮度的电压(9 V)没有变化, 最大亮度从4200 Cd/m 2降到3500 Cd/m 2, 但电流密度也从335.19 mA/cm 2减小到145.71 mA/cm 2, 使得电流效率反而从0.88 Cd/A提高到2.36 Cd/A, 从而把外量子效率提升了170%, 效率滚降比则从78%降到30.5%, 压减61%. 在电流密度高达270 mA/cm 2时, 电流效率和外量子效率也能提升66.5%. 这些结果表明, Al纳米颗粒高频局域表面等离激元确实能够有效增强深蓝光有机发光二极管的发光性能.
-
关键词:
- 深蓝荧光有机发光器件/
- 局域等离激元效应/
- Al纳米颗粒/
- 发光效率
It is difficult to enhance the blue or purple luminescence efficiency of organic light-emitting device ( OLED) for practice display applications. In this work, aluminum nano particles (Al-NPs) are inserted into the light-tight TmPyPb electron transporting layer (ETL) of ITO/PEDOT:PSS/TAPC/BCzVBi:BCPO/TmPyPb/Liq/Al OLEDs, in which BCzVBi can emit deep-blue fluorescent light, with the attempts to overcome the above deficiency through the local surface plasmon polariton (LSPP) effect excited in Al-NP at higher resonance frequencies by the luminescence radiations from BCzVBi. The distances of Al-NPs from BCzVBi:BCPO fluorescent layer are chosen as x= 4, 8, 12 nm. The morphologies observed by atom force microscope and scan electron microscope show that the Al film with a thickness of 1 nm, deposited at room temperature by vacuum heat evaporate, is composed of separated Al grains (therefore, called Al-NPs) with sizes on a 10 nm scale. By inserting these Al-NPs into the TmPyPb ETL, both the current density and luminance at the same voltage decrease in comparison with the counterparts of reference devices (i.e. ones without Al-NPs) due to the worsened carrier mobility. However, the current density and luminance both rebound significantly at x= 8 nm. This may be due to the fact that the fluorescence quenching strongly occurs at x< 8 nm, and on the other hand, the local surface plasmon polariton is weakened too much at x> 8 nm due to attenuated radiation from BCzVBi. At x= 8 nm, the voltage (9 V) at which the luminance reaches a maximum value is the same as that for the reference device, but the maximum luminance itself decreases from 4200 Cd/m 2to 3500 Cd/m 2. However, the current density also decreases from 335.19 mA/cm 2to 145.71 mA/cm 2. This conversely results in a promising great increase of current efficiency from 0.88 Cd·A –1to 2.36 Cd·A –1. Subsequently, the external quantum efficiency (EQE) is enhanced by 170%, while the efficiency roll-off ratio decreases from 78% to 30.5%, with a decrement of 61%. At a high current density of 270 mA/cm 2, EQE enhances 66.5%. The coupling between fluorescence excitation state and local surface plasmon polariton is determined by the overlapping between fluorescence emitting peak and plasmon resonance peak. As aluminum has a number density of free electrons, 18.1×10 22cm –3, much larger than those for the other normally used metals (such as gold and silver), its spectrum of local surface plasmon polariton is enough to cover the fluorescence wavelength range of BCzVBi. These research results show that the luminescence efficiency of deep-blue OLEDs can be turned better by LSPP excited in Al-NPs at higher resonance frequencies.-
Keywords:
- deep-blue organic light emitting device/
- localized surface plasmon polariton/
- Al nanometer particle/
- luminescence efficiency.
[1] [2] [3] [4] [5] [6] [7] [8] [9] [10] [11] [12] [13] [14] [15] [16] [17] [18] [19] [20] [21] [22] [23] [24] [25] [26] [27] [28] -
[1] [2] [3] [4] [5] [6] [7] [8] [9] [10] [11] [12] [13] [14] [15] [16] [17] [18] [19] [20] [21] [22] [23] [24] [25] [26] [27] [28]
计量
- 文章访问数:1384
- PDF下载量:36
- 被引次数:0












下载:




