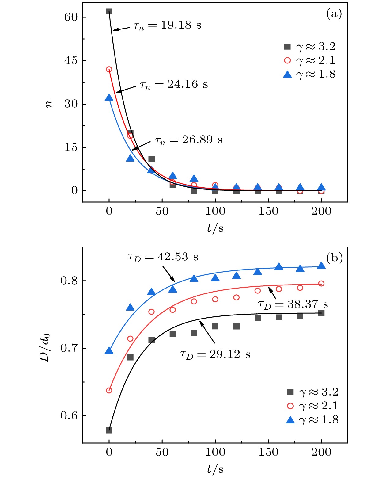
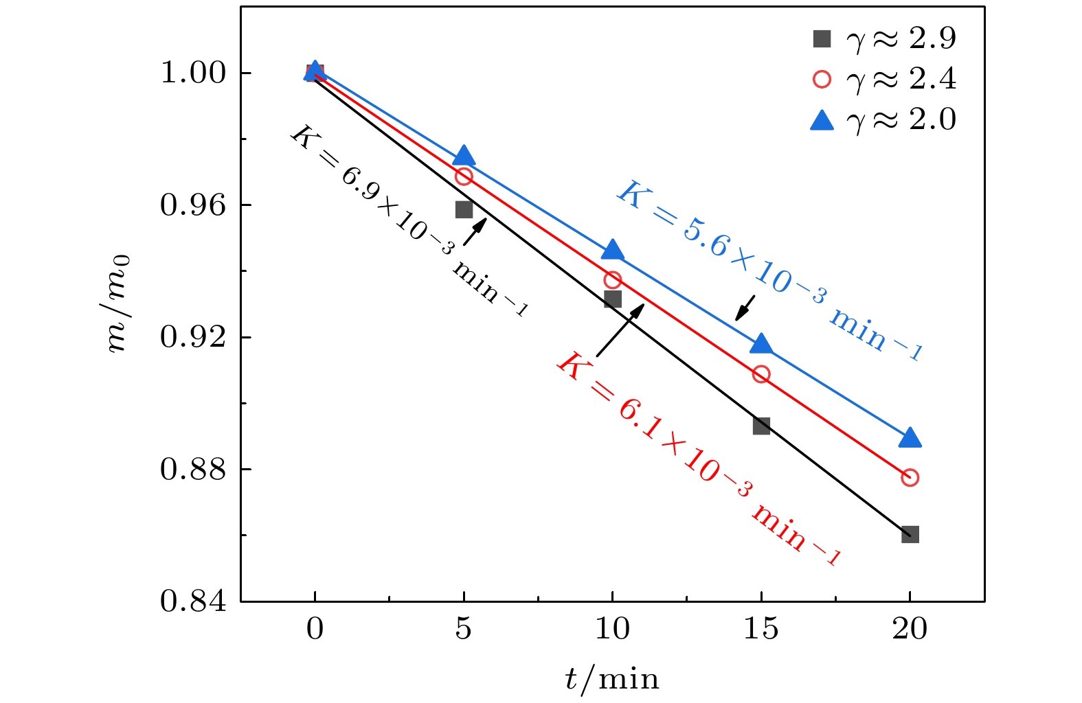
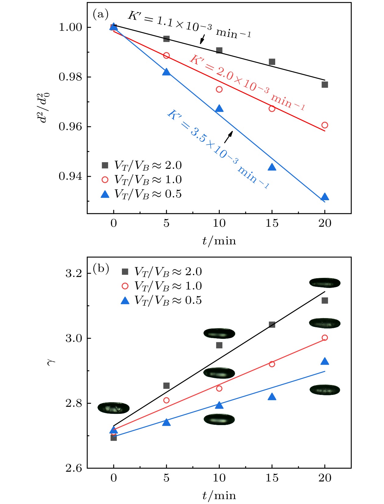
\begin{document}$ {d}^{2} $\end{document}随时间线性减小, 同时液滴横纵比\begin{document}$ \gamma $\end{document}随时间线性增大. 初始处于单相区的液滴随着水分蒸发可以跨越到双相区, 进而发生相分离. 声悬浮状态下PEG-AMS双水相液滴的相分离分为3个阶段: 首先液滴内部形成富PEG相微滴, 然后富PEG相微滴发生碰撞凝并同时向外迁移, 最终液滴形成水平分层结构. 对比分析了不同横纵比及不同成分的双水相液滴的蒸发和相分离过程, 发现横纵比\begin{document}$ \gamma $\end{document}越大, 富PEG相体积分数越小, 则液滴蒸发速率越快; 横纵比\begin{document}$ \gamma $\end{document}越大, 富PEG相体积分数越大, 则液滴相分离越快. 这些发现有助于深入理解声悬浮条件下液滴的运动特性、蒸发动力学和相分离规律, 并为材料的声悬浮无容器制备和加工提供依据."> - 必威体育下载

搜索

x

留言板

姓名
邮箱
手机号码
标题
留言内容
验证码

downloadPDF
引用本文:
Citation:

    贺华丹, 钟琦超, 解文军

    Evaporation and phase separation of acoustically levitated aqueous two-phase-system drops

    He Hua-Dan, Zhong Qi-Chao, Xie Wen-Jun
    PDF
    HTML
    导出引用
    计量
    • 文章访问数:1348
    • PDF下载量:73
    • 被引次数:0
    出版历程
    • 收稿日期:2023-06-11
    • 修回日期:2023-12-07
    • 上网日期:2023-12-29
    • 刊出日期:2024-02-05

      返回文章
      返回