-
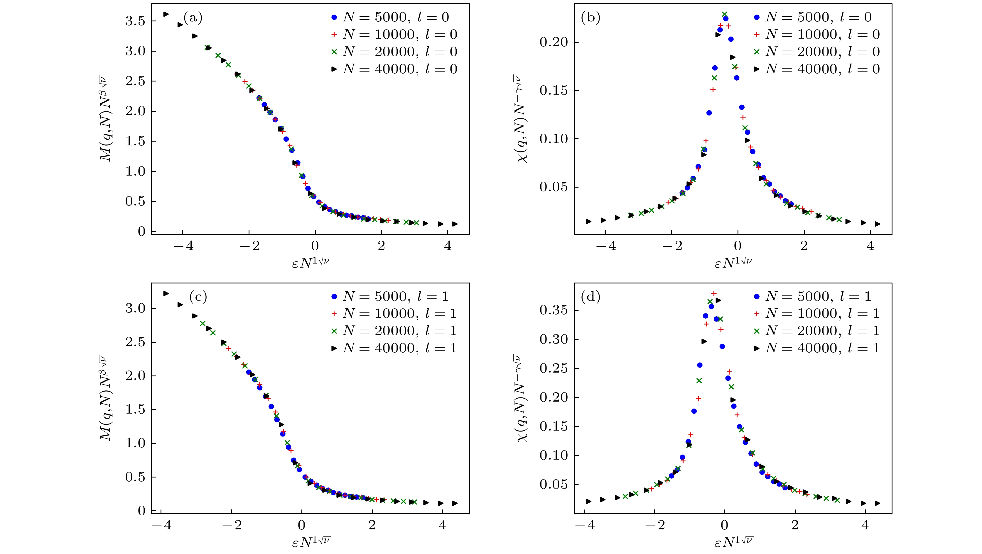
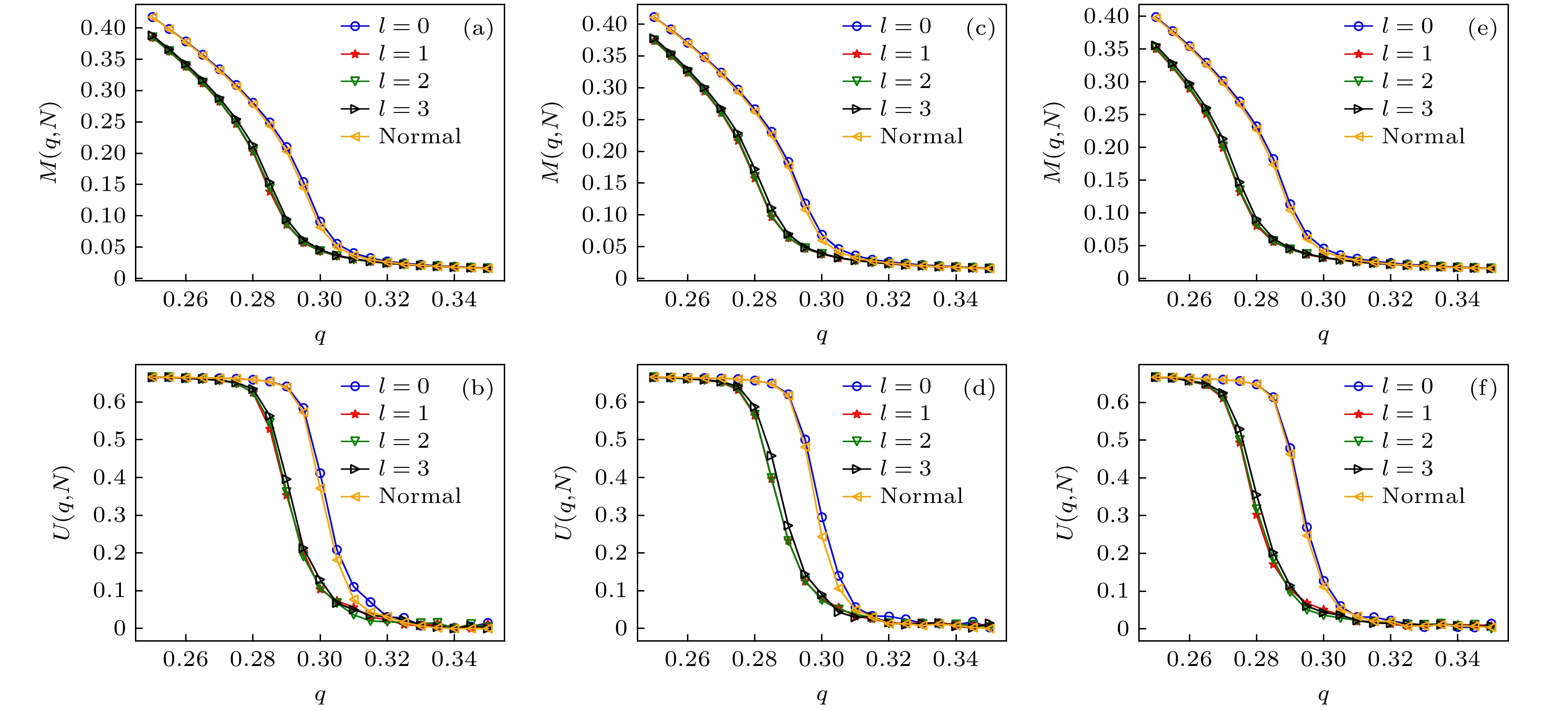
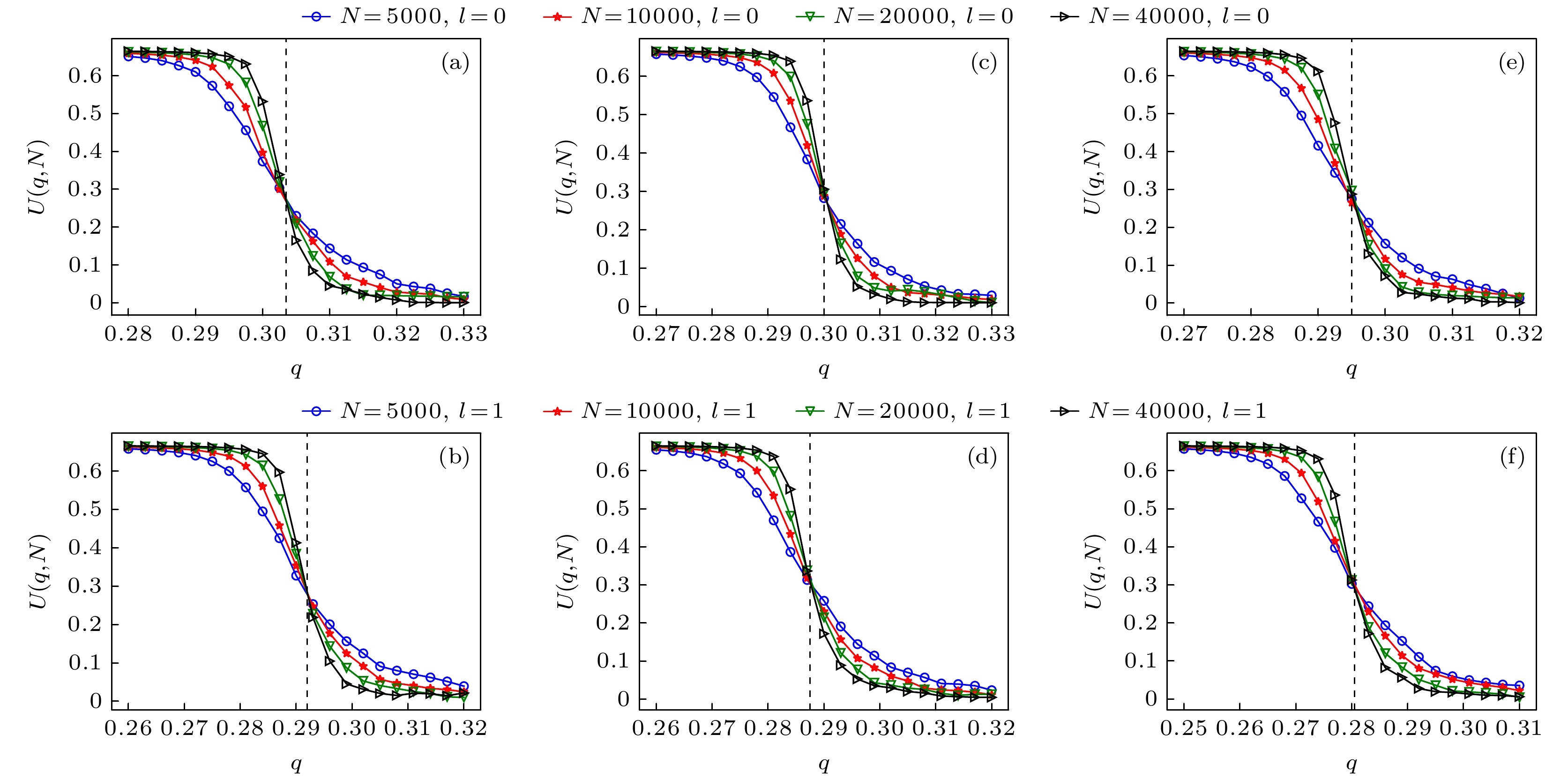
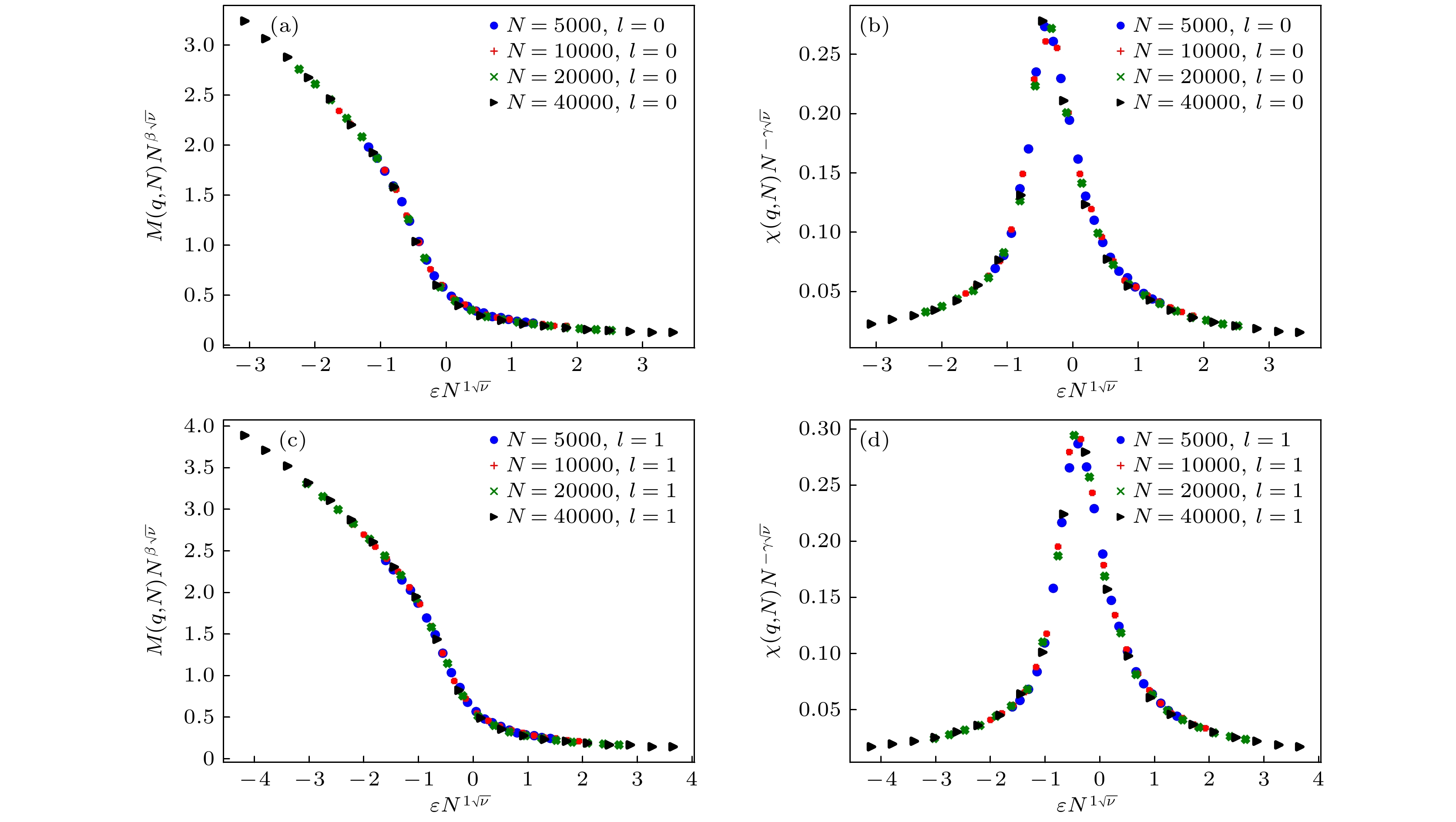
多数投票模型是观点动力学研究中的常用模型, 本文在多数投票模型的基础上引入了具有层级结构的集体影响力, 以节点周边层级结构上的节点的度衡量中心节点的观点权重, 即为集体影响力参数. 通过蒙特卡罗模拟, 研究了具有集体影响力的多数投票模型在ER (Erdos and Rényi)随机网络与无标度网络上观点的演化, 发现系统观点均出现了有序-无序相变, 且相比原始多数投票模型更容易趋于无序, 即相变临界点更小. 原因是考虑具有层级结构的集体影响力时, 系统的集体影响力参数值整体减小, 且分布数目随着参数值的增大而减少, 呈“长尾”趋势, 占少数的高影响力个体使周围节点的观点产生跟随现象, 随着噪声参数的增大, 当少数的高影响力个体趋于无序时, 整个系统也会趋于无序, 即系统更容易达到无序状态. 最后通过有限尺寸标度法, 发现无论在ER随机网络或在无标度网络中, 具有集体影响力的多数投票模型的相变均为Ising模型普适类.Majority-vote model is a commonly used model in the study of opinion dynamics. In the original majority-vote model, the influence of node is determined by their neighbors. But there are nodes with low degree surrounded by nodes with high degree so they also have a great influence on the evolution of opinions. Therefore, the influence of a node should not only be measured by neighbors but also be connected to itself directly. Thus, this paper adds collective influence with hierarchical structures into the majority-vote model and measures opinion weight of center node by degree of their neighbors on hierarchical structures surround it with the set distance. The collective influence parameters used in this paper are related to the value of collective influence mentioned above and normalized by the maximum value of all nodes in system. The opinions’ evolution of majority-vote model with collective influence is studied in ER random networks and scale-free networks with different degree distribution exponents by Monte Carlo simulations. It is found that all systems have order-to-disorder phase transitions with the increase of noise parameter. When the depth of hierarchical structure is not zero, the system with collective influence is much easier to turn to disordered states so their critical noise parameters of phase transition are smaller than those of 0-depth systems and original majority-vote model. The reason is that high degree nodes in original majority-vote model have high influence because they are connected to more neighbors and nodes’ influence is also directly determined by degree in 0-depth collective influence model. Furthermore, nodes’ collective influence parameters in the system will all decrease when hierarchical structure of nonzero depth is considered, only a small number of individuals have high influence parameters in the system and they will make the opinions of surrounding individuals follow theirs, so if the opinions of a few highly influential individuals are out of order, then the system will reach a state of disorder. Because of the above factors, the collective influence model of nonzero depth is much easier to disorder with the increase of noise parameter. Besides, the system proves to be easier to reach a disordered state with the increase of degree distribution exponents in scale-free networks because all nodes’ degree will be lower so that the system will be dominated by less nodes with high degree. This conclusion verifies that scale-free networks are more similar to ER random networks with the increase of degree distribution exponents. Finally, through the finite-size scaling method, it is found that the phase transition of the majority-vote model with collective influence of hierarchical structures belongs in the Ising model universal class, whether in ER random networks or in scale-free networks.
[1] [2] [3] [4] [5] [6] [7] [8] [9] [10] [11] [12] [13] [14] [15] [16] [17] [18] [19] [20] [21] [22] [23] [24] -
$ l=0 $ $ l=1 $ $ l=2 $ $ l=3 $ $ \left\langle{{\omega }_{i}}\right\rangle $ $ 0.41\left(6\right) $ $ 0.18\left(5\right) $ $ 0.18\left(3\right) $ $ 0.19\left(3\right) $ $ \sigma \left({\omega }_{i}\right) $ $ 0.017\left(4\right) $ $ 0.014\left(9\right) $ $ 0.014\left(5\right) $ $ 0.014\left(9\right) $ ER网络 $ \lambda =2.5 $ $ \lambda =2.7 $ $ \lambda =3 $ $ \lambda =3.5 $ $ \lambda =4 $ $ {q}_{{\mathrm{c}}0} $ 0.301 0.3035 0.3015 0.3 0.297 0.295 $ {q}_{{\mathrm{c}}1} $ 0.283 0.292 0.2895 0.2875 0.2835 0.2805 $ |{q}_{{\mathrm{c}}0}-{q}_{{\mathrm{c}}1}| $ 0.018 0.0115 0.012 0.0125 0.0135 0.0145 $ l=0 $ $ l=1 $ $ l=2 $ $ l=3 $ $ \left\langle{{\omega }_{i}}\right\rangle $ 0.66(2) 0.37(6) 0.36(9) 0.38(1) $ \sigma \left({\omega }_{i}\right) $ 0.22(4) 0.035(2) 0.033(8) 0.033(8) $ l=0 $ $ l=1 $ $ l=2 $ $ l=3 $ $ \left\langle{{\omega }_{i}}\right\rangle $ $ \lambda =2.5 $ 0.66(2) 0.37(6) 0.36(9) 0.38(1) $ \lambda =4 $ 0.61(7) 0.33(6) 0.33(7) 0.34(6) $ \sigma \left({\omega }_{i}\right) $ $ \lambda =2.5 $ 0.022(5) 0.035(2) 0.033(8) 0.033(8) $ \lambda =4 $ 0.017(4) 0.027(4) 0.027(5) 0.027(4) $ l=0 $ ER网络 $ \lambda =2.5 $ $ \lambda =3 $ $ \lambda =4 $ $ 1/\bar{\nu } $ 0.49(6) 0.45(5) 0.46(1) 0.48(5) $ \beta /\bar{\nu } $ 0.23(5) 0.23(1) 0.23(5) 0.23(5) $ \gamma /\bar{\nu } $ 0.49(5) 0.49(2) 0.49(2) 0.49(5) $ l=1 $ ER网络 $ \lambda =2.5 $ $ \lambda =3 $ $ \lambda =4 $ $ 1/\bar{\nu } $ 0.47(5) 0.44(6) 0.46(5) 0.47(5) $ \beta /\bar{\nu } $ 0.23(6) 0.22(1) 0.23(1) 0.23(5) $ \gamma /\bar{\nu } $ 0.50(5) 0.51(5) 0.51(5) 0.51(2) 原始多数投票模型 ER网络 $ \lambda < 3 ~ (\lambda =2.7) $ $ 3 < \lambda < 5 ~ (\lambda =3.7) $ $ \lambda > 5~ (\lambda =5.2) $ $ 1/\bar{\nu } $ $ 0.5 $ $ 0.31 $ $ 0.48 $ $ 0.47 $ $ \beta /\bar{\nu } $ $ 0.25 $ $ 0.25 $ $ 0.25 $ $ 0.21 $ $ \gamma /\bar{\nu } $ $ 0.5 $ $ 0.51 $ $ 0.49 $ $ 0.57 $ -
[1] [2] [3] [4] [5] [6] [7] [8] [9] [10] [11] [12] [13] [14] [15] [16] [17] [18] [19] [20] [21] [22] [23] [24]
计量
- 文章访问数:1657
- PDF下载量:79
- 被引次数:0












下载:









