-
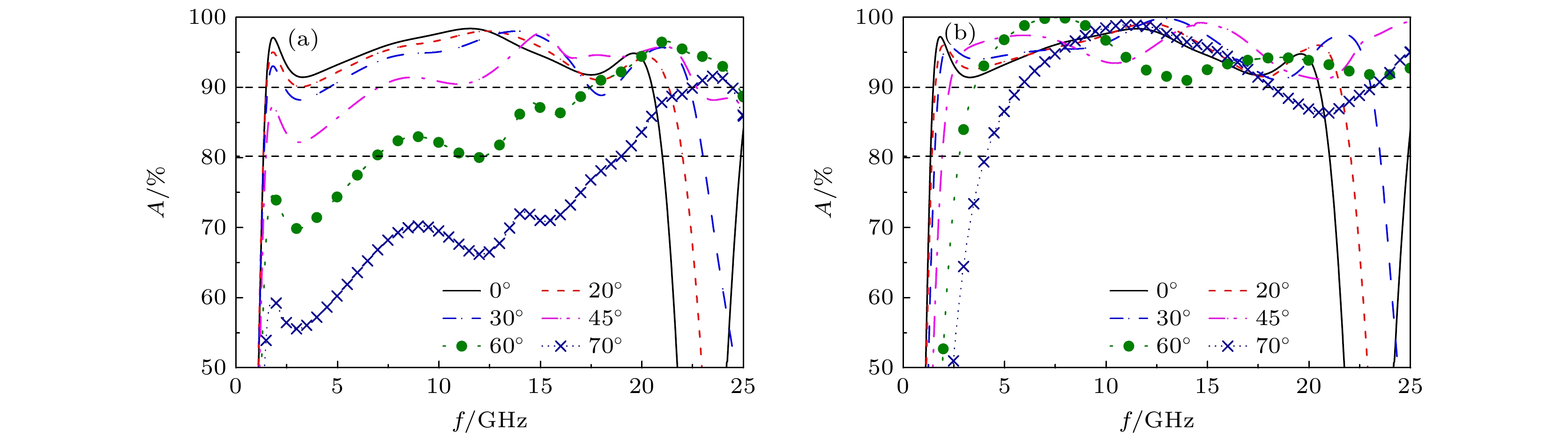
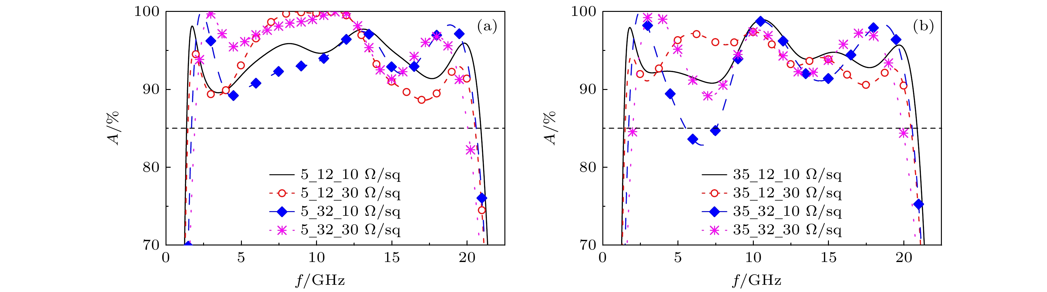
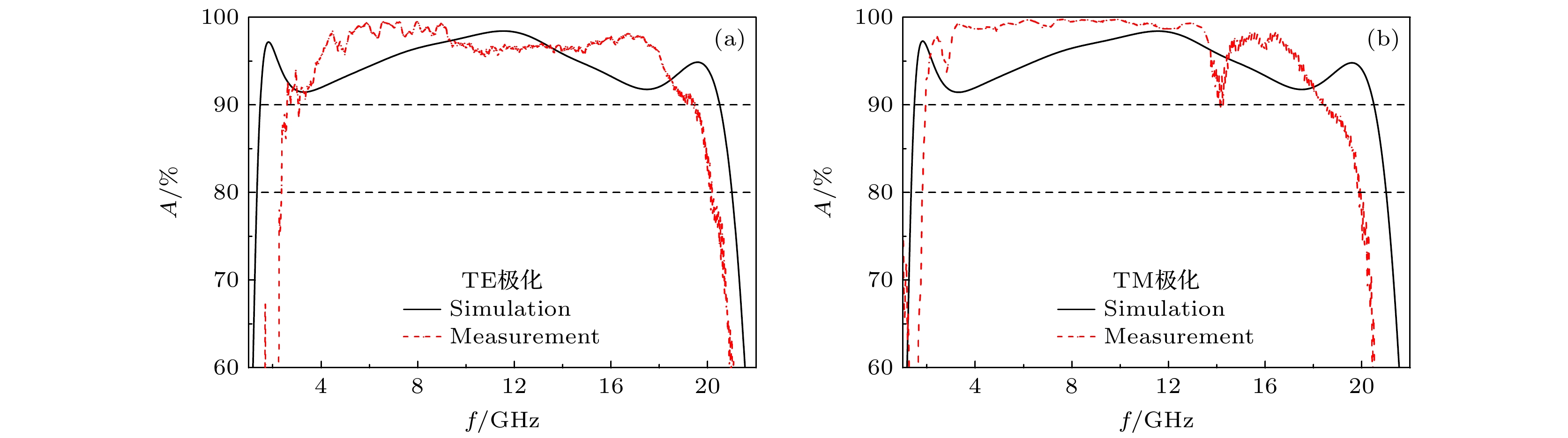
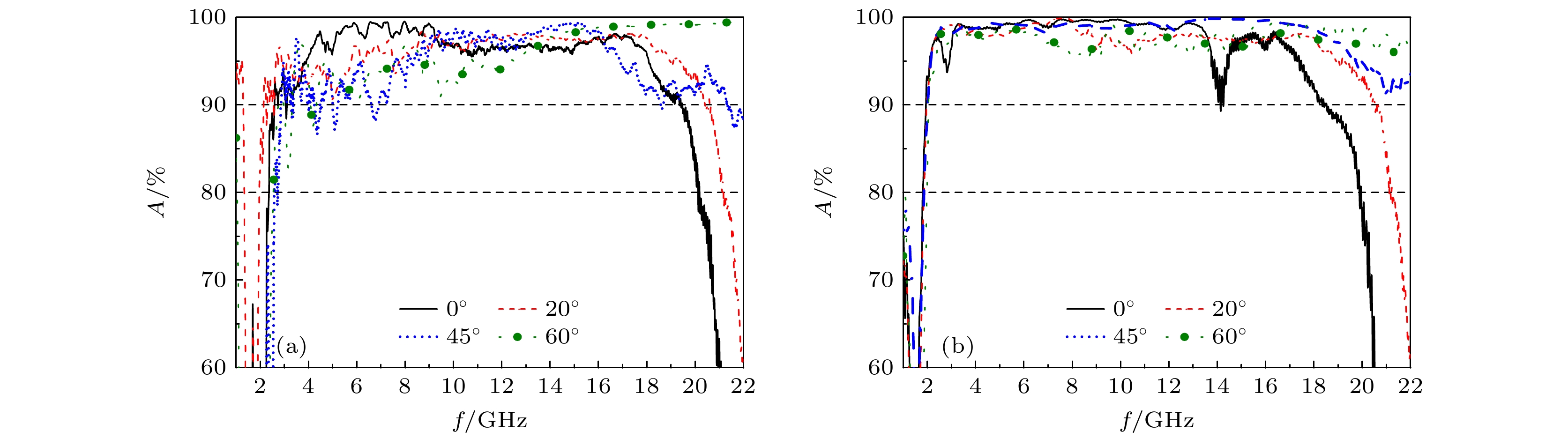
满足宽带、极化和入射角度稳定、轻薄和强吸收等高性能要求的电阻膜频率选择表面(FSS)吸波体设计难度大, 且易因加工中方阻波动导致吸波性能变化. 为此, 本文首先分析了方阻波动影响电阻膜FSS吸波体性能的机理, 提出抗方阻波动的FSS吸波体设计方法. 在此基础上, 提出利用不同层FSS阻抗随频率变化互补的扩展带宽方法, 结合弯折小型化设计, 获得了超宽带、极化和角度稳定的轻薄型抗方阻波动FSS吸波体. 该FSS吸波体在TE和TM极化下, 90%吸波带宽为1.50—20.50 GHz (相对带宽173%), 厚度仅为0.093 λ L. TE极化波80%吸波的角度稳定性可达45°, 而TM极化波90%吸波的角度稳定性可达70°. 当每层FSS方阻在12—30 Ω/sq范围内波动时, 吸波体的90%吸波带宽仍保持在167.0%. 实验测试结果与仿真结果基本吻合, 证明了所提方法的有效性.The design of thin frequency selective surface (FSS) absorber based on resistive film that meets the requirements of broadband, polarization independence, incident angle stability, and strong absorption is a challenging task. Fabrication tolerance of resistive film can result in fluctuations in sheet resistance, which negatively affects the absorber performance. To tackle these problems, this work firstly investigates how sheet resistance fluctuations affect the absorbing performance of resistive film FSS absorber. The analysis of simulated surface current density distribution and impedance reveals that the diversity of current paths provides an effective way to mitigate the influence of sheet resistance fluctuation. This is achieved by enabling flexible variation of surface current in response to sheet resistance fluctuations. Consequently, the variation of input impedance of the FSS absorber due to the fluctuation of sheet resistance is suppressed within a small range. Then, a method of extending bandwidth is proposed by employing the complementary variation of FSS impedance with frequency at different layers. By combining this approach with a miniaturization design, a thin and light FSS absorber is developed that exhibits ultra-wide bandwidth, polarization independence and angle stability while mitigating the effects of sheet resistance perturbation. The proposed FSS absorber achieves a 90% absorption bandwidth from 1.50 GHz to 20.50 GHz, covering Ku, X, C, S bands and part of the L and K bands, with a relative bandwidth reaching 173%. The absorber has a thickness of 0.093 λ Lfor both transverse electric (TE) polarization and transverse magnetic (TM) polarization, yielding a figure of merit (FoM, the ratio of the theoretical minimum thickness to the actual thickness) of 0.95, indicating that the thickness is close to the theoretical limit. The absorber maintains over 90% absorption rate for TM polarization at an incidence angle of up to 70°, and 80% absorption for TE polarization at 45°. Furthermore, the 90% absorbance bandwidth of the absorber remains at 167.0% when the sheet resistance of any FSS layer fluctuates within a range from 12 to 30 Ω/sq. A prototype of the proposed FSS absorber is fabricated and measured, and the experimental results are in good agreement with the simulation results, thus validating the effectiveness of the proposed method.
[1] [2] [3] [4] [5] [6] [7] [8] [9] [10] [11] [12] [13] [14] [15] [16] [17] [18] [19] [20] [21] [22] [23] [24] [25] [26] [27] [28] [29] [30] [31] [32] [33] [34] [35] [36] [37] [38] [39] [40] [41] [42] [43] [44] [45] [46] [47] [48] [49] [50] [51] -
参量 值/mm 参量 值/mm l1 3.90 w1 0.58 l2 2.59 w2 0.58 l3 1.38 w3 0.20 P 11.85 t1 0.175 h 5.00 t2 0.05 频率 方阻 8 Ω/sq 11 Ω/sq 14 Ω/sq 17 Ω/sq 21 Ω/sq 8 GHz
11 GHz
15 GHz
参量 值/mm 参量 值/mm 参量 值/mm l1 10.28 w1 0.20 s1 0.56 g1 0.90 r1 3.30 wr1 0.38 r2 2.54 r3 1.78 l2 11.78 w2 0.50 i2 2.18 s2 4.74 ws2 0.54 g2 1.62 l3 10.64 w3 0.22 i3 2.96 s3 2.60 ws3 0.40 g3 1.06 P 11.90 h1 6.00 h2 0.175 文献 90%带宽/GHz FBW/% 厚度 (FoM) FSS层数 角度稳定性 TE TM [15] 1.07—9.70 160.3 0.93 2 30° (80%) 60° (80%) [17] 2.24—11.40 134.3 0.075λL 2 45° (80%) 30° (87%) [22] 2.11—3.89 59.3 0.090λL 3D 50° (90%) 50° (90%) [25] 5.80—22.20 117.1 0.155λL 1 50° (90%) 40° (90%) [29] 0.87—9.28 165.8 0.086λL 2 45° (80%) 45° (90%) [31] 7.0—27.5 118.8 0.096λL 1 45° (80%) 30° (80%) [32] 2.79—20.62 152.0 0.119λL 2 60° (80%) 60° (80%) [34]# 2.0—15.5 154.3 0.113λL 1 — — [36] 1.14—14.2 170.2 0.093λL 3 30° (90%) 50° (90%) [37] 7.5—42.0 139.4 0.02λL 2 50° (> 80%) 50°(> 80%) [38]#* 7.8—18.0 79.1 0.065λL 1 — — [39]* 0.76—4.92 146.5 0.031λL 2 — — [41] 2.1—37.5 179.0 0.98 4 45° (80%) 60° (90%)- [51] 3.16—51.6 176.9 0.102λL 4 45° (80%) 45° (88%) 本文设计 1.50—20.50 173.0 0.95或0.093λL 3 45° (80%) 70° (90%) 注:#代表所用介质层为有耗电介质层;*代表介质层为有耗磁介质. -
[1] [2] [3] [4] [5] [6] [7] [8] [9] [10] [11] [12] [13] [14] [15] [16] [17] [18] [19] [20] [21] [22] [23] [24] [25] [26] [27] [28] [29] [30] [31] [32] [33] [34] [35] [36] [37] [38] [39] [40] [41] [42] [43] [44] [45] [46] [47] [48] [49] [50] [51]
计量
- 文章访问数:1947
- PDF下载量:110
- 被引次数:0












下载:












