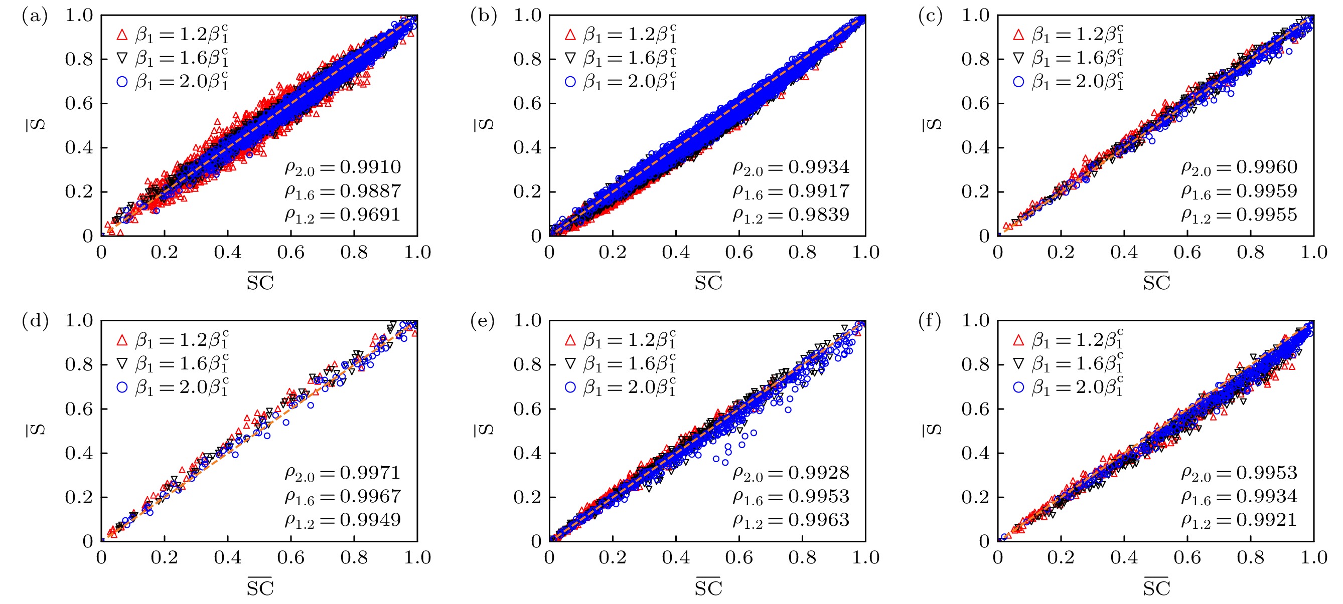
Identifying influential nodes in spreading process in the network is an important step to control the speed and range of spreading, which can be used to accelerate the spread of beneficial information such as healthy behaviors, innovations and suppress the spread of epidemics, rumors and fake news. Existing researches on identification of influential spreaders are mostly based on low-order complex networks with pairwise interactions. However, interactions between individuals occur not only between pairwise nodes but also in groups of three or more nodes, which introduces complex mechanism of reinforcement and indirect influence. The higher-order networks such as simplicial complexes and hypergraphs, can describe features of interactions that go beyond the limitation of pairwise interactions. Currently, there are relatively few researches of identifying influential spreaders in higher-order networks. Some centralities of nodes such as higher-order degree centrality and eigenvector centrality are proposed, but they mostly consider only the network structure. As for identification of influential spreaders, the spreading influence of a node is closely related to the spreading process. In this paper, we work on identification of influential spreaders on simplicial complexes by taking both network structure and dynamical process into consideration. Firstly, we quantitatively describe the dynamics of disease spreading on simplicial complexes by using the Susceptible-Infected-Recovered microscopic Markov equations. Next, we use the microscopic Markov equations to calculate the probability that a node is infected in the spreading process, which is defined as the spreading centrality (SC) of nodes. This spreading centrality involves both the structure of simplicial complex and the dynamical process on it, and is then used to rank the spreading influence of nodes. Simulation results on two types of synthetic simplicial complexes and four real simplicial complexes show that compared with the existing centralities on higher-order networks and the optimal centralities of collective influence and nonbacktracking centrality in complex networks, the proposed spreading centrality can more accurately identify the most influential spreaders in simplicial complexes. In addition, we find that the probability of nodes infected is highly positively correlated with its influence, which is because disease preferentially reaches nodes with many contacts, who can in turn infect their many neighbors and become influential spreaders.