搜索

x

留言板

姓名
邮箱
手机号码
标题
留言内容
验证码

downloadPDF
引用本文:
Citation:

    吴宇阳, 李卫, 任青颖, 李金泽, 许巍, 许杰

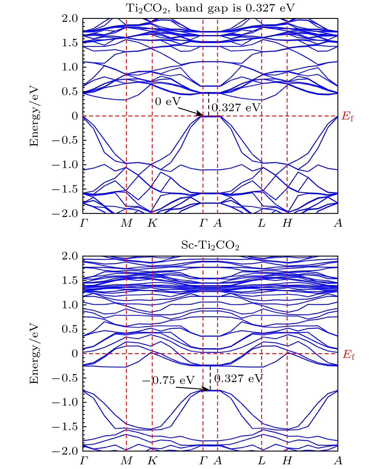
    First-principles study on adsorption of gas molecules by metal Sc modified Ti2CO2

    Wu Yu-Yang, Li Wei, Ren Qing-Ying, Li Jin-Ze, Xu Wei, Xu Jie
    PDF
    HTML
    导出引用
    计量
    • 文章访问数:1275
    • PDF下载量:50
    • 被引次数:0
    出版历程
    • 收稿日期:2023-09-04
    • 修回日期:2023-12-04
    • 上网日期:2024-01-23
    • 刊出日期:2024-04-05

      返回文章
      返回