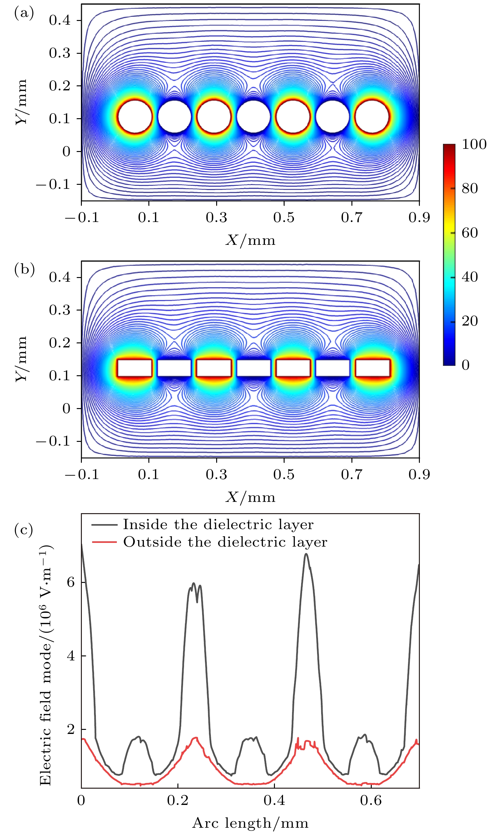
Dielectrophoresis affects the surface wettability by applying a non-uniform electric field to dipoles inside dielectric liquid, achieving adjustable droplet contact angle and overcoming the saturation limitation of contact angle caused by the electrowettability effect. However, it is difficult to realize useful three-dimensional tunable optical devices because most of the driving electrodes need to be patterned. In this work, a model of double flexible electrodes simulating planar interdigitated pattern electrodes is proposed based on the dielectrophoresis. Double flexible electrodes, which are wrapped with an insulating dielectric layer and are not conductive to each other are arranged at close intervals and wound along the plane substrate to form a two-dimensional planar line wall. A hydrophobic layer is used to fill the gap and increase the initial contact angle. Ultimately, the “droplet-interdigitated planar line wall” dielectrophoresis driven-droplet model is formed after the dielectric droplets have been deposited on the line wall surface. Firstly, considering the influence of penetration depth and electrode gap area, Young’s equation is theoretically modified to adapt to this model. Then, the finite element algorithm simulation is used to used to comparatively analyze the potential distribution of this model and the planar interdigitated pattern electrode model. The field strength distributions of the electrodes with different wire diameters and insulating layer thickness values are analyzed. It can be found that with the increase of the diameter of the electrode wire and the thickness of the insulating layer, the morphology of the model changes from the tip electrode into the planar electrode, the surface field strength attenuates exponentially and the peak value decreases. This shows that the structure of this electrode in this model is superior to that of the planar electrode. After that, the contact angle of the model is measured experimentally in a range of 58°-90° under 0–250
V
rmsvoltage, which is in line with the theoretical expectation. At the same time, neither obvious contact angle lag nor saturation is observed in the experiment. Finally, the new electrophoretic driving droplet model constructed in this paper transforms the dielectric electrophoretic driving mode from a two-dimensional planar electrode to a one-dimensional flexible linear electrode. Because of its flexibility and plasticity, it is convenient to form a three-dimensional cavity and can be applied to more complex device structures.