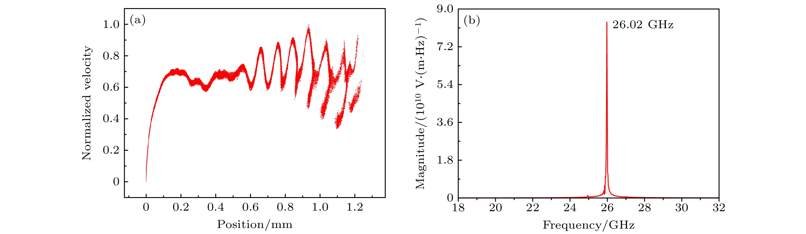
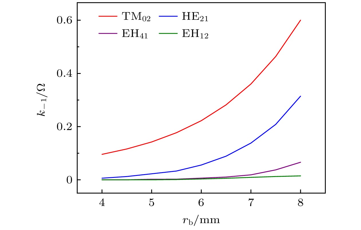
| [1] |
刘伟, 贾青, 郑坚.弱相对论涡旋光在等离子体中传播的波前畸变及补偿. 必威体育下载 , 2024, 73(5): 055203.doi:10.7498/aps.73.20231635 |
| [2] |
杨温渊, 董烨, 孙会芳, 杨郁林, 董志伟.超宽带等离子体相对论微波噪声放大器的物理分析和数值模拟. 必威体育下载 , 2023, 72(5): 058401.doi:10.7498/aps.72.20222061 |
| [3] |
汪耀庭, 罗岚月, 李和平, 姜东君, 周明胜.外加电场作用下的壁面约束衰亡等离子体中带电粒子非平衡输运特性. 必威体育下载 , 2022, 71(23): 232801.doi:10.7498/aps.71.20221431 |
| [4] |
杨德文, 陈昌华, 史彦超, 肖仁珍, 滕雁, 范志强, 刘文元, 宋志敏, 孙钧.X波段高效率速调型相对论返波管研究. 必威体育下载 , 2020, 69(16): 164102.doi:10.7498/aps.69.20200434 |
| [5] |
杨温渊, 董烨, 孙会芳, 董志伟.磁绝缘线振荡器中模式竞争的物理分析和数值模拟. 必威体育下载 , 2020, 69(19): 198401.doi:10.7498/aps.69.20200383 |
| [6] |
王洪广, 柳鹏飞, 张建威, 李永东, 曹亦兵, 孙钧.收集极释气对相对论返波管影响的粒子模拟. 必威体育下载 , 2019, 68(18): 185203.doi:10.7498/aps.68.20190554 |
| [7] |
黄丽萍, 洪斌斌, 刘畅, 唐昌建.220GHz三次谐波光子带隙谐振腔回旋管振荡器的研究. 必威体育下载 , 2014, 63(11): 118401.doi:10.7498/aps.63.118401 |
| [8] |
陈茂林, 夏广庆, 毛根旺.多模式离子推力器栅极系统三维粒子模拟仿真. 必威体育下载 , 2014, 63(18): 182901.doi:10.7498/aps.63.182901 |
| [9] |
陈再高, 王建国, 王玥, 朱湘琴, 张殿辉, 乔海亮.相对论返波管超辐射产生与辐射的数值模拟研究. 必威体育下载 , 2014, 63(3): 038402.doi:10.7498/aps.63.038402 |
| [10] |
陈再高, 王建国, 王玥, 乔海亮, 郭伟杰, 张殿辉.基于粒子模拟和并行遗传算法的高功率微波源优化设计. 必威体育下载 , 2013, 62(16): 168402.doi:10.7498/aps.62.168402 |
| [11] |
王辉辉, 刘大刚, 蒙林, 刘腊群, 杨超, 彭凯, 夏蒙重.气体电离的全三维电磁粒子模拟/蒙特卡罗数值研究. 必威体育下载 , 2013, 62(1): 015207.doi:10.7498/aps.62.015207 |
| [12] |
王辉辉, 蒙林, 刘大刚, 刘腊群, 杨超.基于相对论返波管的全三维PIC/PSO数值优化研究. 必威体育下载 , 2013, 62(13): 138401.doi:10.7498/aps.62.138401 |
| [13] |
王宇, 陈再高, 雷奕安.等离子体填充0.14 THz相对论返波管模拟. 必威体育下载 , 2013, 62(12): 125204.doi:10.7498/aps.62.125204 |
| [14] |
杜朝海, 李铮迪, 薛志浩, 刘濮鲲, 薛谦忠, 张世昌, 徐寿喜, 耿志辉, 顾伟, 粟亦农, 刘高峰.W波段损耗介质加载回旋返波振荡器中模式竞争的研究. 必威体育下载 , 2012, 61(7): 070703.doi:10.7498/aps.61.070703 |
| [15] |
李伟, 刘永贵.2工作模式下可调谐同轴辐射相对论磁控管的模拟研究. 必威体育下载 , 2011, 60(12): 128403.doi:10.7498/aps.60.128403 |
| [16] |
刘漾, 巩华荣, 魏彦玉, 宫玉彬, 王文祥, 廖复疆.有效抑制光子晶体加载矩形谐振腔中模式竞争的方法. 必威体育下载 , 2009, 58(11): 7845-7851.doi:10.7498/aps.58.7845 |
| [17] |
李小泽, 王建国, 童长江, 张 海.充填不同气体相对论返波管特性的PIC-MCC模拟. 必威体育下载 , 2008, 57(7): 4613-4622.doi:10.7498/aps.57.4613 |
| [18] |
梁慧敏, 杜惊雷, 王宏波, 王治华, 罗时荣, 杨经国, 郑万国, 魏晓峰, 朱启华, 黄晓军, 王晓东, 郭 仪.不同波长激光激发下C6H12受激拉曼散射模式竞争. 必威体育下载 , 2007, 56(12): 6994-6998.doi:10.7498/aps.56.6994 |
| [19] |
徐 慧, 盛政明, 张 杰.相对论效应对激光在等离子体中的共振吸收的影响. 必威体育下载 , 2006, 55(10): 5354-5361.doi:10.7498/aps.55.5354 |
| [20] |
宫玉彬, 张 章, 魏彦玉, 孟凡宝, 范植开, 王文祥.高功率微波器件中脉冲缩短现象的粒子模拟. 必威体育下载 , 2004, 53(11): 3990-3995.doi:10.7498/aps.53.3990 |