-
对于航空瞬变电磁的低频探地问题, 除了精度和效率需要考虑, 深地探测问题的复杂度也不容忽视, 特别是对于低频复杂问题存在异常体与背景间的多尺度效应. 为了模拟开域问题, 有限厚度区域的完全匹配层被用于截断计算域, 然而这也无形中增大了整个模型, 造成计算复杂度增加. 鉴于此, 提出了一种新的基于极限梯度提升(extreme gradient boosting, XGB)的完美匹配单层模型, 并将该模型集成到时域有限差分求解器中, 以进一步提高时域有限差分仿真的性能. 所提出的基于XGB的完美匹配单层模型通过特征注意力集成学习方法可以获得更高的精度, 同时占用更少的内存、消耗更少的时间. 此外, 由于该模型依托于传统机器学习模型, 因此它在模型训练的稳定性和轻量级方面具有显著的优势. 最后, 通过对航空瞬变电磁应用进行三维数值模拟, 验证了该方法的有效性和稳定性. 该模型不仅在精度、效率和问题复杂性方面具有优势, 而且还可以成功地集成到时域有限差分求解器中, 解决低频航空瞬变电磁问题.In addition to requiring the accuracy and computational efficiency for solving low-frequency subsurface sensing problem on the airborne transient electromagnetics (ATEMs), to the best of our knowledge, the complexity of subsurface sensing problems should also be considered in order to reduce more and more computational resources, particularly for a large-scale complicated multis-cale problem with a difference between background and targets. For simulating the open-domain, the finite-thickness perfectly matched layer is used to truncate the computational region, while the whole domain becomes larger so that the problem turns more complex. As a result, we propose a novel perfectly matched monolayer (PMM) model based on the extreme gradient boosting (XGB), which is selected and added to further improve the performance during the finite-difference time-domain (FDTD) simulation. The proposed XGB-based PMM model can achieve higher accuracy by using the ensemble learning method of feature attention, and has less memory and time consumption at the same time. Besides, this model has significant advantages in terms of model training stability and its lightweight due to the fact that it relies on the characteristics of traditional machine learning models. Finally, three-dimensional numerical simulations of ATEM problems are carried out to prove the validity and stability of the proposal. The proposed model can not only achieve advantages in numerical accuracy, efficiency and problem complexity, but also be integrated into the FDTD solver to deal with the low-frequency ATEM problems.
-
Keywords:
- extreme gradient boosting/
- perfectly matched monolayer/
- machine learning/
- finite-difference time-domain
[1] [2] [3] [4] [5] [6] [7] [8] [9] [10] [11] [12] [13] [14] [15] [16] [17] [18] [19] [20] [21] [22] [23] [24] [25] [26] [27] [28] [29] [30] [31] [32] [33] [34] [35] [36] [37] [38] [39] -
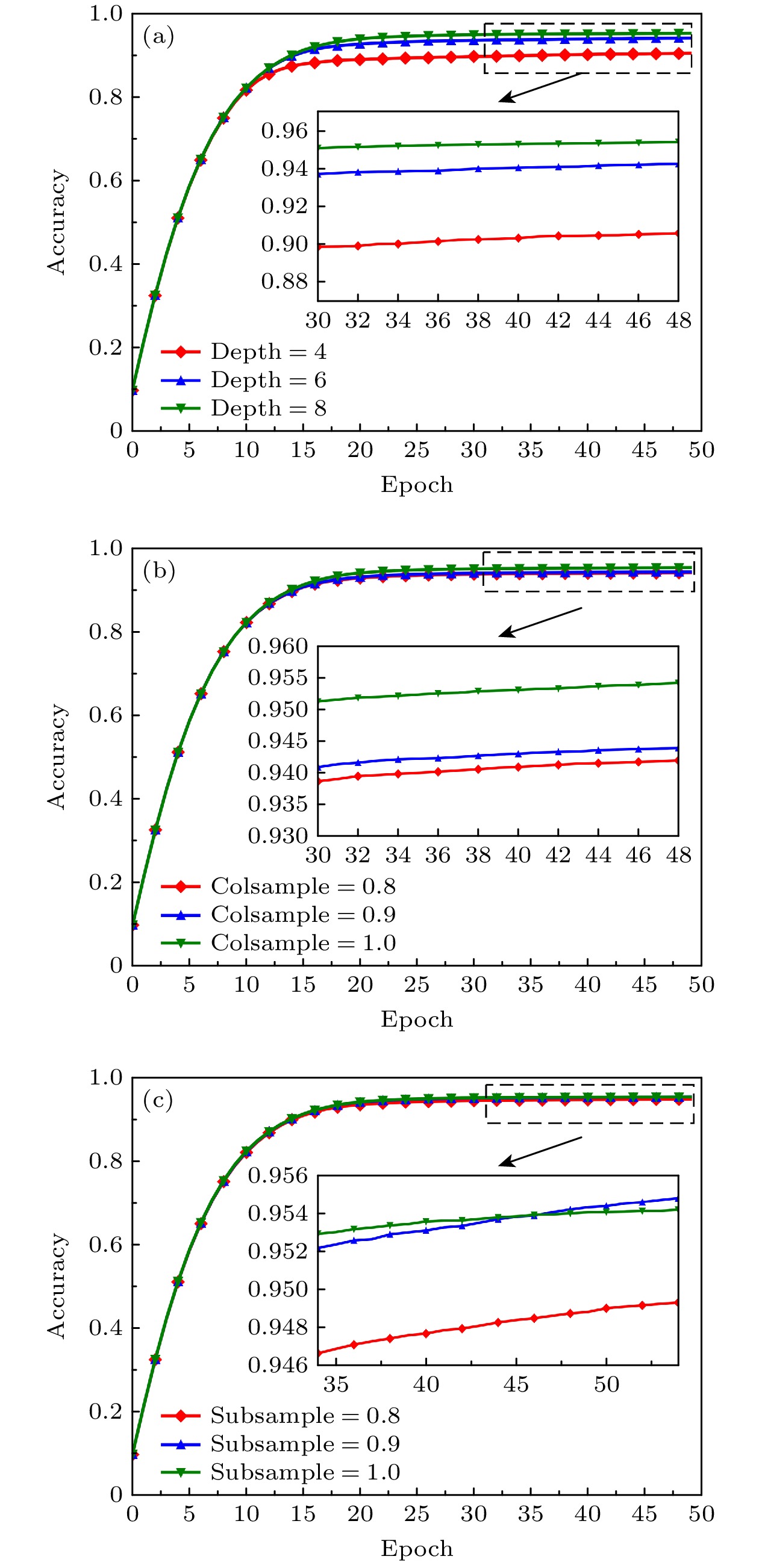
算法基于XGB的ABC模型 输入 训练集、验证集、测试集 初始化 初始化第一颗决策树$ {T_1} $, 并基于目标函数最小来计算决策树权重: $ \min O = -\displaystyle \frac{1}{2}\sum\limits_{j = 1}^T {\frac{G}{{H + \lambda }}} + \gamma T $, $ {w_j} = - \displaystyle\frac{{{G_j}}}{{{H_j} + \lambda }} $ 初始化总模型并将第一棵数加入$ {F_1}(x) = {T_1} $ 初始化残差变量空间$ M $ 循环 计算总模型残差: $ L =\displaystyle \sum\limits_{j = 1}^T {\left[ {{G_j}{x_j} + \frac{1}{2}({H_j} + \lambda )x_j^2} \right]} + \gamma T $ 基于残差数据构建新的决策树$ {T_i} $: $ \min O = - \displaystyle\frac{1}{2}\sum\limits_{j = 1}^T {\frac{G}{{H + \lambda }}} + \gamma T $, $ {w_j} = -\displaystyle \frac{{{G_j}}}{{{H_j} + \lambda }} $ 更新总模型: $ {F_{i + 1}}(x) = {F_i}(x) + {T_i}(x) $ 在验证集中测试模型 停止 收敛或达到预设迭代次数 不同实现方法 CPU 所耗
时间/s具有10层PML截断的传统FDTD方法 9711.21 具有5层CFS-PML截断的隐式FDTD方法 342.06 内嵌复频率因子的深度可微森林
完全匹配单层模型115.21 内嵌复频率因子的深度决策树神经
图灵机模型114.51 内嵌双极因子的梯度增强决策树
完全匹配单层模型112.33 -
[1] [2] [3] [4] [5] [6] [7] [8] [9] [10] [11] [12] [13] [14] [15] [16] [17] [18] [19] [20] [21] [22] [23] [24] [25] [26] [27] [28] [29] [30] [31] [32] [33] [34] [35] [36] [37] [38] [39]
计量
- 文章访问数:1318
- PDF下载量:110
- 被引次数:0












下载:






