-
本文发展了一种具有壁面模化大涡模拟能力的雷诺平均纳维-斯托克斯 (RANS)和大涡模拟(LES)方法的混合模型(简称WM-HRL模型), 致力于对亚临界区雷诺数钝体绕流相干结构这类复杂流动现象进行高置信度的CFD解析模拟研究. 该方法通过一个仅与当地网格空间分布尺寸有关的湍动能解析度指标参数 r k即可实现从RANS到LES的无缝快速转换, 并且RANS/LES混合转换区的边界位置及其各个分区(包括RANS区、LES区及RANS/LES混合转换区)对湍动能的解析能力均可通过两个指标参数
$ n{r_{{\text{k1-Q}}}} $ 和$ n{r_{{\text{k2-Q}}}} $ 准则进行预先设定. 通过对雷诺数 Re= 3900下圆柱绕流场的系列数值模拟研究, 获得了能够高置信度解析并捕捉其绕流场中三维时空瞬态发展相干结构特性的湍动能解析度指标参数$ n{r_{{\text{k1-Q}}}} $ 和$ n{r_{{\text{k2-Q}}}} $ 准则的组合条件. 研究表明, 该WM-HRL模型不仅能够准确获取圆柱绕流场中剪切层小尺度K-H不稳定性结构的精细谱结构, 而且在同一套网格系统下通过变化湍动能解析度指标参数$ n{r_{{\text{k2-Q}}}} $ 和$ n{r_{{\text{k1-Q}}}} $ 准则的组合条件, 还可以精细解析圆柱绕流场中两类不同回流区的长度结构特征, 及其对应的圆柱尾部近壁面处V和U形两个平均流向速度剖面的分支结构特性.-
关键词:
- 圆柱绕流/
- 相干结构/
- Kelvin-Helmholtz不稳定性/
- 混合RANS/LES模型
In the present paper, a hybrid RANS/LES model with the wall-modelled LES capability (called WM-HRL model) is developed to perform the high-fidelity CFD simulation investigation for complex flow phenomena around a bluff body with coherent structure in subcritical Reynolds number region. The proposed method can achieve a fast and seamless transition from RANS to LES through a filter parameter r kwhich is only related to the space resolution capability of the local grid system for various turbulent scales. Furthermore, the boundary positions of the transition region from RANS to LES, as well as the resolving capabilities for the turbulent kinetic energy in the three regions, i.e. RANS, LES and transition region, can be preset by two guide index parameters nr k1-Qand nr k2-Q. Through a series of numerical simulations of the flow around a circular cylinder at Reynolds number Re= 3900, the combination conditions are obtained for such two guide index parameters nr k1-Qand nr k2-Qthat have the capability of high-fidelity resolving and capturing temporally- and spatially-developing coherent structures for such complex three-dimensional flows around such a circular cylinder. The results demonstrate that the new WM-HRL model is capable of accurately resolving and capturing the fine spectral structures of the small-scale Kelvin-Helmholtz instability in the shear layer for flow around such a circular cylinder. Furthermore, under a consistent grid system, through different combinations of these two guide index parameters r k1and r k2, the fine structuresof the recirculation zones with two different lengths and the U-shaped and V-shaped distribution of the average stream-wise velocity in the cylinder near the wake can also be obtained.-
Keywords:
- flow around a cylinder/
- coherent structures/
- Kelvin-Helmholtz instability/
- hybrid RANS/LES model
[1] [2] [3] [4] [5] [6] [7] [8] [9] [10] [11] [12] [13] [14] [15] [16] [17] [18] [19] [20] [21] [22] [23] [24] [25] [26] [27] [28] [29] [30] [31] [32] [33] [34] [35] [36] [37] [38] [39] [40] [41] [42] [43] [44] [45] -
$ L_3/D $ $ \varDelta_3/D $ 网格量 ($ \times {10^6}$) Lehmkuhl等[10](DNS) $ {\text{π}} $ $ {\text{π}} $/128 9.30 Tremblay[8](LES) $ {\text{π}} $ $ {\text{π}} $/64 7.70 Breuer[15](LES) $ {\text{π}} $ $ {\text{π}} $/64 1.70 Pereira等[2](PANS) 3.0 $ {\text{π}} $/48 4.55 Luo等[24]
(PANS/SST-DES)$ {\text{π}} $ $ {\text{π}} $/60 2.23 D'Alessandro等[30]
(SA-DES/SA-IDDES/
v2-f DES)$ {\text{π}} $ $ {\text{π}} $/48 3.96 本文(WM-HRL) $ {\text{π }} $ $ {\text{π }} $/64 1.43 参考文献及方法 $ {\bar f_{{\text{vs}}}} $ ${\bar f_{{\text{kh}}}}$ $ {\phi _{\text{s}}}/({\, ^ \circ }) $ $L_{\text{r}}/D $ $C_{\rm d} $ $ - {C_{{\text{pb}}}} $ 形状 Parnaudeau等[18](Exp.) 0.208 — 88 1.51 — — U Lourenco和Shih[27](Exp.) — — 85 1.18 0.98 0.9 V Lehmkuhl等[10](DNS) (Mode H) 0.214 1.34 88.25 1.26 1.043 0.98 V Lehmkuhl等[10](DNS) (Mode L) 0.218 — 87.8 1.55 0.979 0.877 U Tremblay[8](LES) 0.21 — 87.3 1.04 1.14 0.99 V Breuer[15](LES) 0.215 — 87.4 1.372 1.016 0.941 V Pereira等[2](PANS) ($ {f_{\text{k}}} $ = 0.25) 0.208 1.48 80.3 1.73 0.927 0.864 U Pereira等[2](PANS) ($ {f_{\text{k}}} $ = 0.5) 0.214 1.55 81.8 1.12 1.036 1.050 V Luo等[24](PANS) ($ {f_{\text{k}}} $ = 0.1) 0.201 — 87.2 1.27 1.05 0.94 V Luo等[24](PANS) ($ {f_{\text{k}}} $ = 0.5) 0.208 — 92.8 0.49 1.35 1.47 V Luo等[24](SST-DES) 0.203 — 86.4 1.46 1.01 0.89 V D'Alessandro等[30](SA-DES) 0.215 — 89.28 0.850 1.2025 1.077 V D'Alessandro等[30](SA-IDDES) 0.222 — 87.0 1.427 1.0235 0.878 U D'Alessandro等[30](v2-f DES) 0.214 — 86.4 1.678 0.9857 0.829 U 监测点编号 监测点坐标
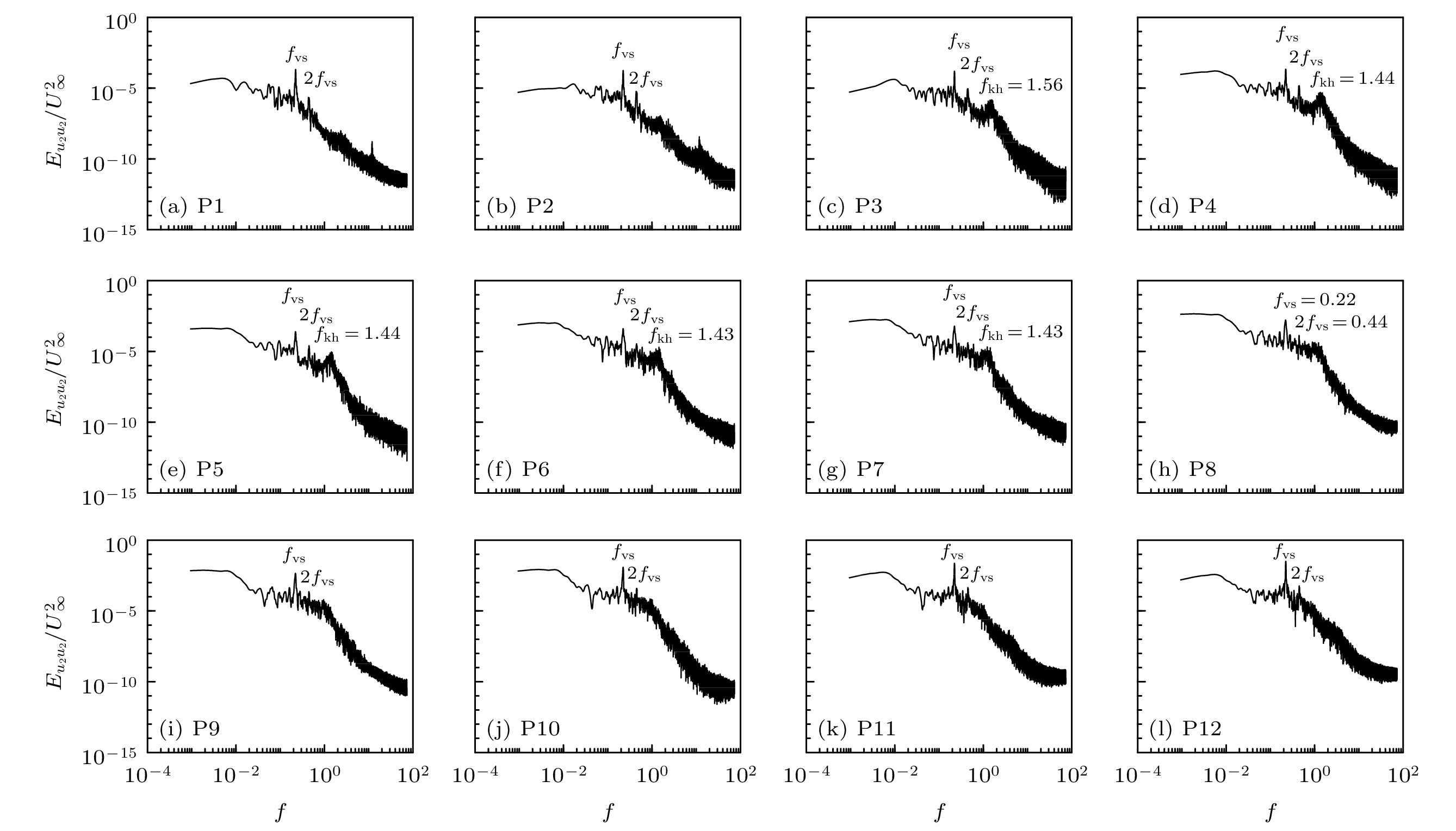
$(x_1 /D, x_2/D)$监测点对应
的$ {y^ + } $值P1 (0.20, 0.560) 30.5 P2 (0.30, 0.572) 47.1 P3 (0.40, 0.584) 67.0 P4 (0.50, 0.595) 89.4 P5 (0.60, 0.607) 114.0 P6 (0.70, 0.619) 140.1 P7 (0.80, 0.631) 167.4 P8 (0.90, 0.643) 195.5 P9 (1.00, 0.655) 224.3 P10 (1.10, 0.666) 253.5 P11 (1.20, 0.678) 283.3 P12 (1.30, 0.690) 313.5 P13 (0.71, 0.660) 151.4 P14 (0.69, 0.520) 117.4 P15 (2.00, 0.590) 511.4 P16 (1.00, 0.0) 161.3 P17 (2.00, 0.0) 483.9 P18 (3.00, 0.0) 806.5 $ {\varGamma _{{\text{RANS}}}} $ $ {\varGamma _{{\text{LES}}}} $ $ {\bar f_{{\text{vs}}}} $ ${\bar f_{{\text{kh}}}}$ $ {\phi _{\text{s}}}/({\,^\circ }) $ $ {{{L_{\text{r}}}} \mathord{\left/ {\vphantom {{{L_{\text{r}}}} D}} \right. } D} $ $ {C_{\text{d}}} $ $ - {C_{{\text{pb}}}} $ 形状 $ {r_{{\text{k1}}}} $ $ y_{{\text{RANS}}}^ + $ $ {r_{{\text{k2}}}} $ $ y_{{\text{LES}}}^{+} $ 0.9302 7.9 0.1556 105.8 0.219 1.38 88.1 1.05 1.14 1.12 V 0.6364 13.3 0.221 1.23 88.1 1.07 1.14 1.09 V 0.5951 14.9 0.221 1.35 87.7 1.19 1.12 1.04 V 0.4923 18.4 0.222 1.30 88.1 1.03 1.15 1.08 V 0.4635 20.4 0.222 1.18 87.8 1.22 1.12 1.03 V 0.3898 27.1 0.223 1.23 87.0 1.32 1.12 0.99 U 0.3134 38.4 0.224 1.16 86.6 1.48 1.10 0.96 U 0.2973 41.7 0.220 1.21 87.1 1.32 1.10 1.00 U 0.2546 49.2 0.223 1.00 88.0 1.14 1.13 1.06 V 0.1983 72.7 0.221 1.06 88.1 1.01 1.15 1.12 V 0.1713 91.2 0.226 1.21 86.6 1.46 1.10 0.96 U 0.9302 7.9 0.1484 113.9 0.218 1.13 88.0 1.12 1.14 1.06 V 0.6364 13.3 0.221 1.17 88.4 1.00 1.16 1.13 V 0.5951 14.9 0.220 1.30 87.8 1.18 1.12 1.04 V 0.4923 18.4 0.224 1.23 87.1 1.32 1.15 1.00 V 0.4635 20.4 0.224 1.26 86.5 1.48 1.09 0.97 U 0.3898 27.1 0.224 1.01 87.2 1.22 1.12 1.00 V 0.3134 38.4 0.224 1.11 86.5 1.47 1.08 0.95 U 0.2973 41.7 0.218 1.16 86.5 1.47 1.10 0.96 U 0.2546 49.2 0.222 1.00 87.7 1.23 1.12 1.04 V 0.1983 72.7 0.225 1.14 87.8 1.23 1.14 1.03 V 0.1713 91.2 0.225 0.99 87.8 1.22 1.12 1.03 V $ {\varGamma _{{\text{RANS}}}} $ $ {\varGamma _{{\text{LES}}}} $ $ {\bar f_{{\text{vs}}}} $ ${\bar f_{{\text{kh}}}}$ $ {\phi _{\text{s}}}/({\, ^ \circ }) $ $ L_{\text{r}}/D $ $ {C_{\text{d}}} $ $ - {C_{{\text{pb}}}} $ 形状 $ {r_{{\text{k1}}}} $ $ y_{{\text{RANS}}}^ + $ $ {r_{{\text{k2}}}} $ $ y_{{\text{LES}}}^{+} $ 0.9302 7.9 0.2546 49.2 0.220 1.50 87.8 1.20 1.13 1.05 V 0.6364 13.3 0.224 1.51 87.3 1.26 1.12 1.02 V 0.5951 14.9 0.221 1.4 86.7 1.45 1.13 0.98 U 0.4923 18.4 0.224 1.34 87.7 1.18 1.11 1.06 V 0.4635 20.4 0.223 1.43 87.0 1.36 1.11 0.99 U 0.3898 27.1 0.220 1.40 87.7 1.22 1.16 1.04 V 0.3134 38.4 0.222 1.20 87.3 1.26 1.10 1.01 V 0.2973 41.7 0.226 1.13 86.4 1.49 1.08 0.96 U 0.9302 7.9 0.1983 72.7 0.222 1.26 87.2 1.25 1.13 1.02 V 0.6364 13.3 0.223 1.07 86.6 1.44 1.10 0.97 U 0.5951 14.9 0.221 1.39 86.8 1.36 1.11 0.98 U 0.4923 18.4 0.222 1.34 88.1 1.07 1.17 1.10 V 0.4635 20.4 0.22 1.41 88.0 1.16 1.14 1.06 V 0.3898 27.1 0.224 1.34 87.1 1.36 1.11 1.00 U 0.3134 38.4 0.224 1.17 87.8 1.23 1.11 1.03 V 0.2973 41.7 0.224 1.07 86.5 1.50 1.09 0.95 U 0.2546 49.2 0.224 1.13 87.0 1.34 1.11 0.99 U 0.9302 7.9 0.1713 84.6 0.22 1.52 86.5 1.50 1.09 0.97 U 0.6364 13.3 0.221 1.12 86.9 1.25 1.11 0.99 V 0.5951 14.9 0.223 1.45 87.1 1.26 1.12 1.00 V 0.4923 18.4 0.22 1.34 87.5 1.17 1.17 1.04 V 0.4635 20.4 0.22 1.32 87.9 1.16 1.14 1.06 V 0.3898 27.1 0.224 1.33 86.9 1.41 1.11 0.98 U 0.3134 38.4 0.222 1.15 87.0 1.32 1.11 1.00 U 0.2973 41.7 0.223 1.15 87.8 1.16 1.14 1.05 V 0.2546 49.2 0.223 1.27 87.2 1.35 1.13 1.00 U 0.1983 72.7 0.222 1.22 87.8 1.16 1.14 1.05 V $ {\varGamma _{{\text{RANS}}}} $ $ {\varGamma _{{\text{LES}}}} $ $ {\bar f_{{\text{vs}}}} $ ${\bar f_{{\text{kh}}}}$ $ {\phi _{\text{s}}}/({\, ^ \circ }) $ $ {{{L_{\text{r}}}} \mathord{\left/ {\vphantom {{{L_{\text{r}}}} D}} \right. } D} $ $ {C_{\text{d}}} $ $ - {C_{{\text{pb}}}} $ 形状 $ {r_{{\text{k1}}}} $ $ y_{{\text{RANS}}}^ + $ $ {r_{{\text{k2}}}} $ $ y_{{\text{LES}}}^{+} $ 0.9302 7.9 0.7333 10.4 0.222 1.48 87.9 1.13 1.12 1.06 V 0.9302 7.9 0.6364 13.3 0.225 1.44 87.6 1.19 1.12 1.02 V 0.7333 10.4 0.217 1.45 87.9 1.15 1.13 1.05 V 0.9302 7.9 0.5235 18.4 0.223 1.32 87.3 1.29 1.14 1.01 V 0.7333 10.4 0.221 1.37 86.9 1.37 1.08 0.99 U 0.5951 14.9 0.225 1.45 87.0 1.39 1.08 0.99 U 0.9302 7.9 0.4635 20.4 0.221 1.44 87.0 1.37 1.12 1.00 U 0.7333 10.4 0.219 1.34 87.6 1.16 1.13 1.03 V 0.5951 14.9 0.224 1.44 87.5 1.25 1.12 1.02 V 0.5235 18.4 0.224 1.47 86.4 1.46 1.12 0.96 U 0.9302 7.9 0.3687 29.6 0.224 1.48 87.4 1.27 1.13 1.02 V 0.5951 14.9 0.224 1.48 87.7 1.24 1.03 1.14 V 0.4635 20.4 0.218 1.40 88.0 1.08 1.08 1.15 V 0.3898 27.1 0.221 1.40 87.1 1.36 1.12 1.00 U -
[1] [2] [3] [4] [5] [6] [7] [8] [9] [10] [11] [12] [13] [14] [15] [16] [17] [18] [19] [20] [21] [22] [23] [24] [25] [26] [27] [28] [29] [30] [31] [32] [33] [34] [35] [36] [37] [38] [39] [40] [41] [42] [43] [44] [45]
计量
- 文章访问数:1436
- PDF下载量:53
- 被引次数:0












下载:













