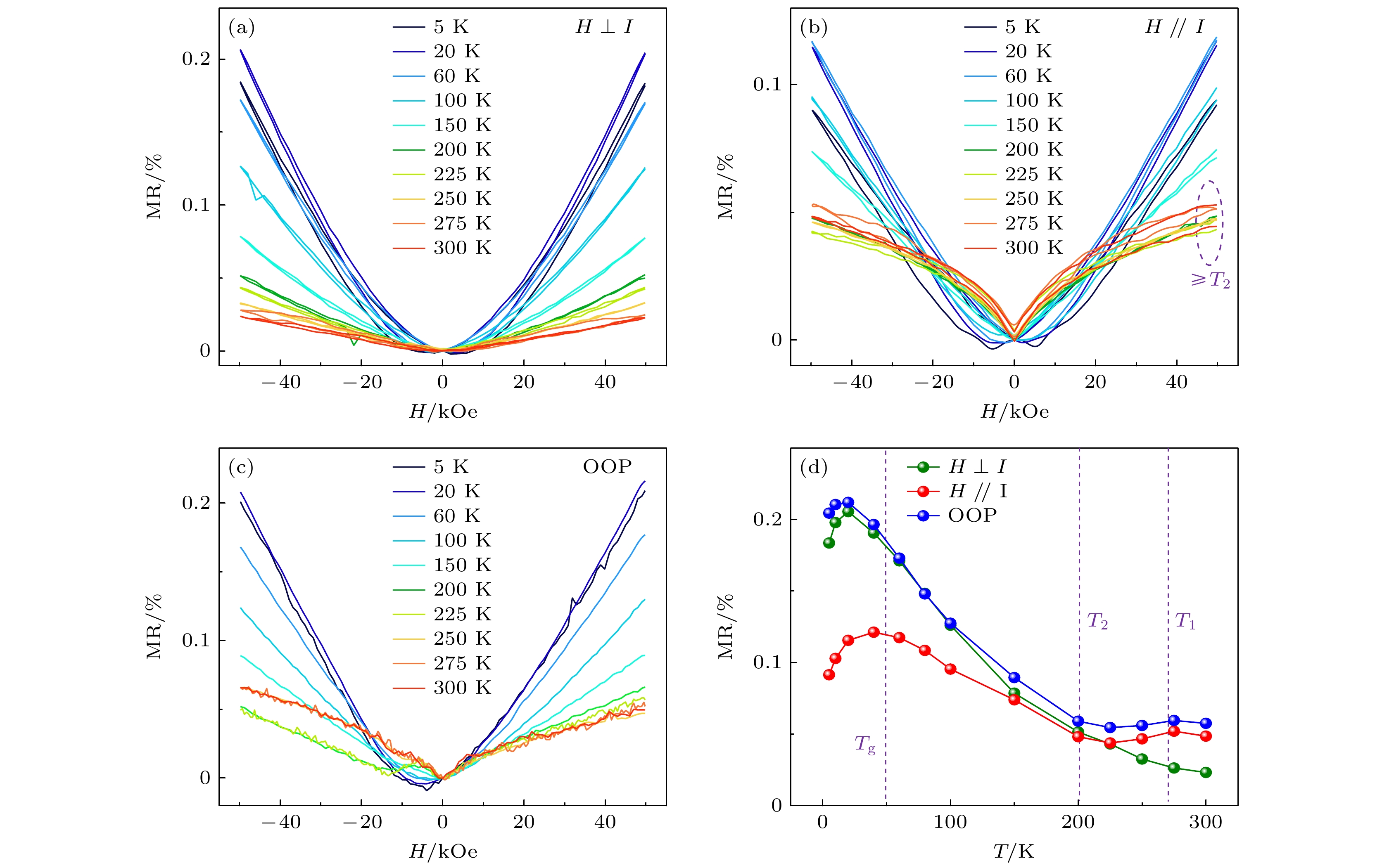
In recent years, topological antiferromagnetic material with hexagonal Kagome structure has attracted great research interest due to its unique properties. Although its net magnetic moment is close to zero, the topological antiferromagnet exhibits the strong magnetoelectric, the magneto-optical, and the magnetothermal effect, with a strength comparable to that of ferromagnetic material, which makes it highly valuable for various applications. After several years of extensive studies, it has been realized that most of the unique properties of topological antiferromagnet are actually closely related to its magnetic structure. However, it has been found that the magnetic structure of the material is highly sensitive to its chemical composition and growth condition. Therefore, it is crucial to develop a universal and simple method of measuring the magnetic structure and determining the magnetic phase transition of hexagonal Kagome topological antiferromagnetic material, which can severe as a good supplement for the current high-energy neutron diffraction approach that is not accessible for ordinary laboratories. In this study, we have successfully prepared high-quality (
$ 11\bar{2}0 $
)-oriented hexagonal Kagome antiferromagnetic Mn
3Sn thin films on (
$1 \bar{1} 02$
)-oriented Al
2O
3single crystal substrates by using the pulsed laser deposition method. After systematically measuring how the magnetic and transport properties of the Mn
3Sn thin film change with temperature, it is found that its magnetization curve, Hall resistivity curve, and magnetoresistance curve exhibit certain anomalous features at some or all of its three magnetic phase transition temperatures. These features can serve as good evidences of magnetic phase transitions in this hexagonal Kagome antiferromagnetic Mn
3Sn thin film, or even could be used to measure the temperatures of these magnetic phase transitions. Our work contributes to the further advancement of the application of hexagonal Kagome topological antiferromagnetic materials to spin electronic devices.