-
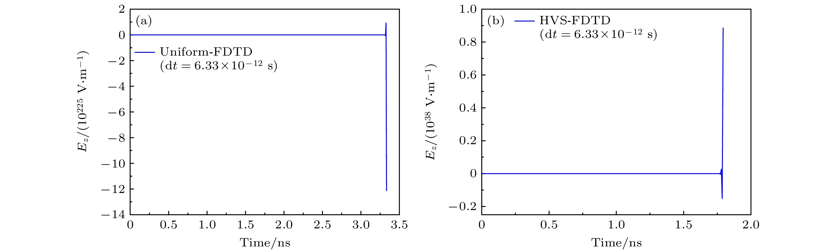
时域有限差分(finite-difference time-domain, FDTD)方法由于稳定性条件的限制, 在处理含精细结构的电磁问题时效率不高. 显式无条件稳定(explicit unconditionally stable, EUS) FDTD方法通过滤除系统矩阵的不稳定模式, 能够消除稳定性条件的限制, 提高精细结构的仿真效率. 然而, EUS-FDTD方法需要求解数值系统矩阵的特征值, 在采用亚网格方案对含精细结构目标离散时需要保证数值系统矩阵的对称性. 现有的EUS-FDTD亚网格方法存在着构造复杂、精度不足等问题. 针对以上问题, 本文将悬挂变量亚网格(hanging variables subgridding, HVS)算法应用于EUS-FDTD算法中, 从系统矩阵的对称性出发证明了悬挂变量亚网格算法的稳定性, 给出了高精度、稳定、容易实施的HVS-EUS-FDTD方案. 通过线磁流在自由空间的辐射、多个介质目标以及三维含介质腔体的数值算例证明了所提方法的稳定性、高精度以及高效性. 数值实验表明, HVS-EUS-FDTD算法的计算效率相比于均匀细网格FDTD算法可提升数百倍, 相比于HVS-FDTD算法最高可提升Ratio (粗细网格尺寸比)倍.Due to the limitation of the stability condition, the finite-difference time-domain (FDTD) method cannot efficiently deal with electromagnetic problems containing fine structures. The explicit and unconditionally stable (EUS) FDTD method can eliminate the constraint of the stability condition and improve the simulation efficiency of fine structures by filtering out the unstable modes for the system matrix. However, the EUS-FDTD method needs to solve the eigenvalues of the numerical system matrix, and the symmetry of the numerical system matrix needs to be ensured when the subgridding scheme is used to discretize targets containing fine structures. The existing EUS-FDTD subgridding method encounters some problems such as complex implementation and insufficient accuracy. In order to solve the above problems, in this work, the hanging variables subgridding (HVS) algorithm is applied to the EUS-FDTD algorithm. Starting from the symmetry of the system matrix, the stability of the hanging variables subgridding algorithm is proven, and a high-precision, stable, and easy-to-implement HVS-EUS-FDTD scheme is proposed. Numerical examples of the radiation of linear magnetic currents in free space, electromagnetic scattering of multiple dielectric objects, and a three-dimensional cavity containing a medium demonstrate the stability, high accuracy and efficiency of the proposed method. Numerical experiments show that the computational efficiency of the HVS-EUS-FDTD algorithm can be improved hundreds of times compared with that of the uniform fine grid FDTD algorithm, and the highest computational efficiency can be improved up to ratio (the size ratio of coarse grid to fine grid) times compared with that of the HVS-FDTD algorithm.
-
Keywords:
- finite-difference time-domain/
- explicit and unconditionally stable/
- hanging variables/
- fine structures
[1] [2] [3] [4] [5] [6] [7] [8] [9] [10] [11] [12] [13] [14] [15] [16] [17] [18] [19] [20] [21] -
方法 uniform FDTD HVS-FDTD HVS-EUS-FDTD 时间/s 2295.5 17.45 0.05+5.3 时间步长/(10–11s) 1.67 1.67 8.33 迭代步数 50000 50000 10000 内存/MB 136.1 3.2 4.3 Uniform FDTD HVS-FDTD HVS-EUS-FDTD 时间/s 91.36 2.19 0.29+0.78 时间步长/(10–12s) 3.33 3.33 16.7 迭代步数 5000 5000 1000 内存/MB 86 7.2 11.6 Uniform FDTD HVS-FDTD HVS-EUS-FDTD 时间/s 28816.8 314.2 0.01+64.7 时间步长/(10–11s) 1.67 1.67 8.33 迭代步数 5000 5000 1000 内存/MB 9773 321 342 -
[1] [2] [3] [4] [5] [6] [7] [8] [9] [10] [11] [12] [13] [14] [15] [16] [17] [18] [19] [20] [21]
计量
- 文章访问数:1061
- PDF下载量:23
- 被引次数:0












下载:









