-
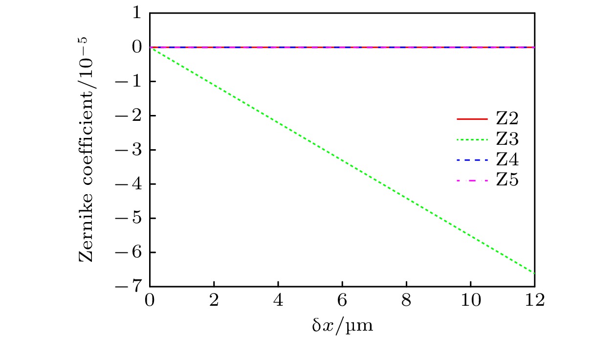
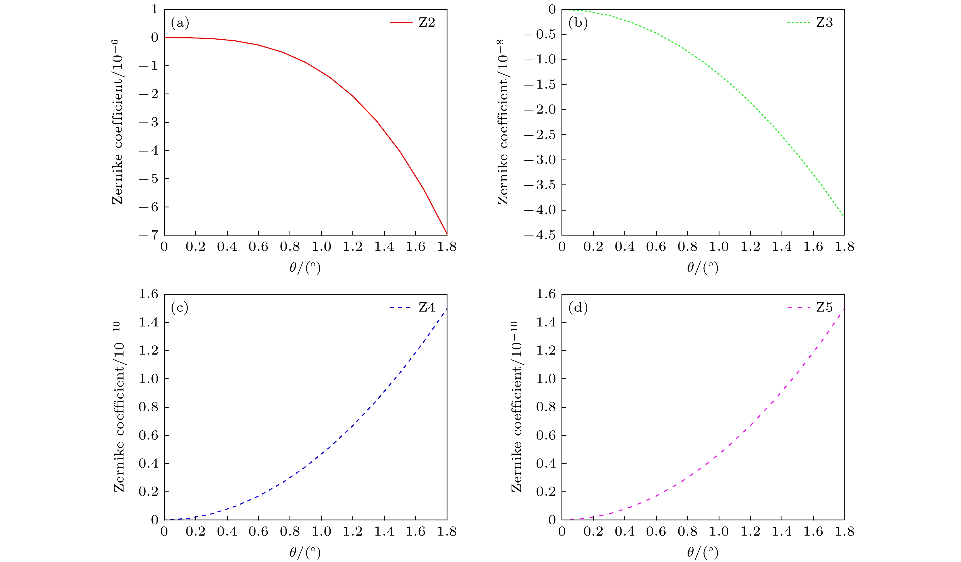
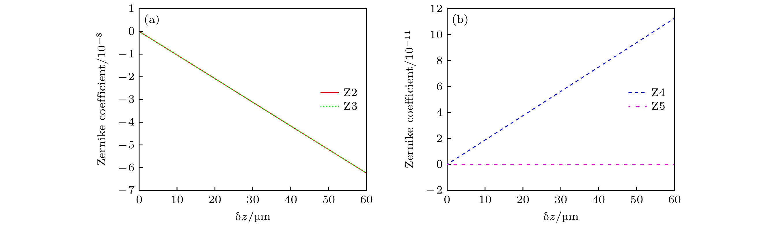
光纤点衍射环形器是激光相干多普勒测振系统中光纤光路和空间光光路耦合的关键器件, 其耦合效率等性能参数对测振系统测量准确度和测量距离的提升具有重要意义. 常规环形器重合度检测采用能量监测法和远场重合度监测法, 不能对光纤失配因素进行定量分析, 环形器耦合效率的一致性无法保障. 针对上述问题, 提出了一种基于低频外差干涉的相位检测技术, 利用干涉相位信息进行光纤相对姿态解算, 可有效解决光纤环形器重合度定量检测的问题. 对不同光纤相对姿态形成的干涉波前进行了仿真分析和实验验证, 给出了光纤相对横向位移、纵向位移和光轴偏离角度与干涉相位PV(peak-to-valley)值、Zernike系数和环形器耦合效率间的规律, 实现了干涉相位到光纤失配因素的分离解算, 解算结果可指导光纤相对姿态的调整. 最后通过实验验证了该技术的可行性, 结果表明该技术对于光纤横向位移的检测精度优于1 μm, 为提升光纤环形器重合度提供了新的检测途径.The fiber optic circulator in the form of point diffraction is a key component for coupling fiber optical path and spatial optical path in a laser Doppler vibration measurement system. The coupling efficiency and other performance parameters of fiber optic circulator are great significant for improving measurement accuracy and working distance of vibration measurement system. The conventional circulator coincidence detection methods include energy monitoring method and far-field coincidence monitoring method, which cannot be used to quantitatively analyze the fiber mismatch factors. Therefore, the consistency of the circulator coupling efficiency cannot be guaranteed. To solve these problems, a phase detection technology based on Hertz-level frequency-shifting heterodyne interferometry is proposed. The interferometry phase information is used to calculate the relative spatial positions of optical fibers, and this technology performs quantitative detection in the fiber alignment process. The interference wavefront formed by relative spatial positions of optical fibers is simulated and validated experimentally. The curves of coupling efficiency and wavefront PV value versus different kinds of alignment errors are simulated and analyzed. By fitting the interference wavefront with the Zernike polynomials, the correspondence between different kinds of alignment errors and Zernike coefficients is obtained. The value of Z2 (Zernike coefficient) can be used as the basis for judging whether there is transverse displacement in the Y direction. Similarly, Z3 corresponds to the transverse displacement in the X direction, Z4 corresponds to the longitudinal displacement in the Z direction and Z5 corresponds to the optical axis angle. Through this correspondence relationship, the quantitative separation and analysis of fiber mismatch factors are realized. The experimental results show that the accuracy of this method for measuring lateral displacement is better than 1μm. According to the phase diagram obtained from the experiment, Zernike coefficient fitting is performed. The lateral displacement deviation, longitudinal displacement deviation, and angular deviation are calculated by the coefficients of Z2 to Z5. The fiber adjustment mechanism corrects the transverse displacement deviation. It provides a new detection method for realizing fiber alignment and mismatch correction. Compared with the existing detection methods, the phase detection method based on Hertz-level frequency-shifting heterodyne interferometry solves the quantification problem of fiber coincidence adjustment. This method has the advantages of high measurement accuracy, compact detection structure and composition, and low detection cost. This method has great potential applications in the fields of optical fiber and spatial optical device alignment, optical system aberration detection, and planar wavefront detection.
[1] [2] [3] [4] [5] [6] [7] [8] [9] [10] [11] [12] [13] [14] [15] [16] [17] [18] [19] [20] -
光纤相对姿态 Z2 Z3 Z4 Z5 δx/μm δy/μm δz/μm θ/(°) 2 3 5 0.5 –1.67×10–5 –1.10×10–5 2.14×10–11 1.20×10–11 2 0 0 0 –4.02×10–19 –1.10×10–5 1.85×10–22 1.08×10–21 0 3 0 0 –1.65×10–5 1.03×10–18 –1.41×10–21 8.87×10–22 0 0 5 0 –5.20×10–9 –5.20×10–9 9.38×10–12 –1.03×10–25 0 0 0 0.5 –1.54×10–7 –3.30×10–9 1.19×10–11 1.19×10–11 光纤相对姿态 耦合效率 波前PV/λ δx/μm δy/μm δz/μm θ/(°) 2 3 5 0.5 0.9215 0.2359 2 0 0 0 0.9792 0.0823 0 3 0 0 0.9536 0.1234 0 0 5 0 0.9999 0.0033 0 0 0 0.5 0.9978 0.0302 光纤相对姿态 Z2 Z3 Z4 Z5 δx/μm δy/μm δz/μm θ/(°) 实验值 — — — — 9.01×10–6 –2.74×10–6 2.28×10–11 –5.75×10–11 仿真值 0.5 –1.4 42 –1.1 9.31×10–6 –2.75×10–6 2.24×10–11 –5.65×10–11 0.5 0 0 0 2.26×10–19 –2.75×10–6 –2.28×10–22 –3.60×10–22 0 –1.4 0 0 7.71×10–6 –6.33×10–19 6.38×10–22 –1.01×10–21 0 0 42 0 –4.37×10–8 –4.37×10–8 7.88×10–11 1.30×10–24 0 0 0 –1.1 1.60×10–6 1.56×10–8 –5.64×10–11 –5.65×10–11 光纤相对姿态 Z2 Z3 Z4 Z5 δx/μm δy/μm δz/μm θ/(°) 实验值 — — — — –9.62×10–8 4.96×10–7 6.45×10–12 –1.79×10–11 仿真值 –0.09 0.02 — — –1.10×10–7 4.96×10–7 — — –0.09 0 0 0 –4.07×10–20 4.96×10–7 4.10×10–23 6.47×10–23 0 0.02 0 0 –1.10×10–7 9.04×10–21 –9.11×10–24 1.44×10–23 -
[1] [2] [3] [4] [5] [6] [7] [8] [9] [10] [11] [12] [13] [14] [15] [16] [17] [18] [19] [20]
计量
- 文章访问数:1270
- PDF下载量:39
- 被引次数:0












下载:












