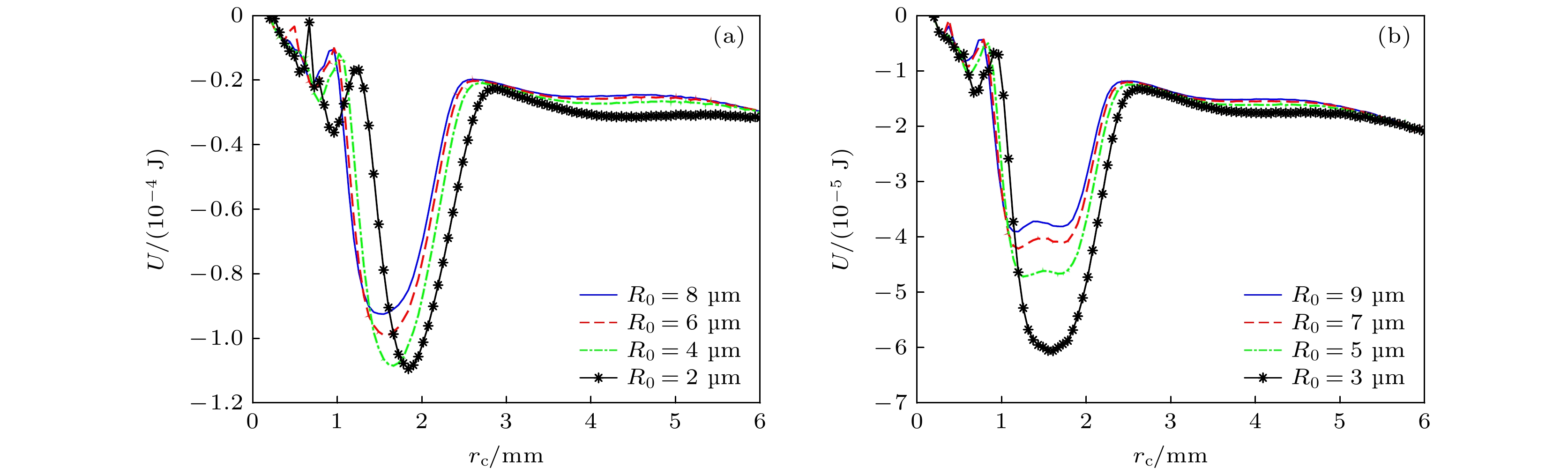
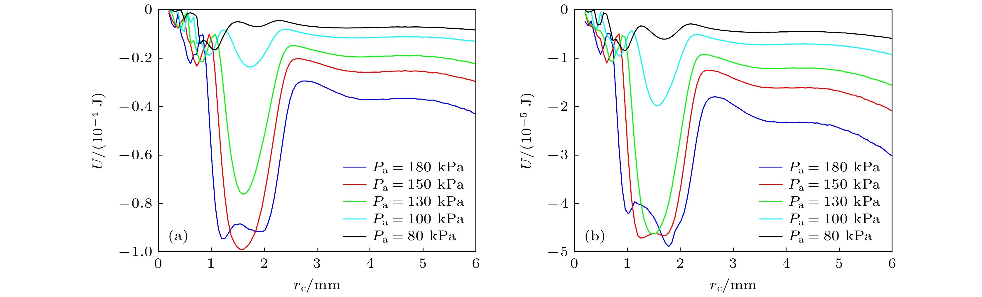
The upwelling growth and evolution of spherical bubble clusters appearing at one-quarter wavelength from the water surface in ultrasonic cavitation fields at frequencies of 28 kHz and 40 kHz are studied by high-speed photography. Due to the interactions among bubbles, the stable bubble aggregation occurs throughout the rise of the bubble cluster, whose vertical pressure difference leads to a more significant spreading in the upper part of the cluster in the standing-wave field. At 28 kHz, the rising speed is about 0.6 m/s, controlled by the primary acoustic field. After a violent collapse of the bubble clusters, the aggregating structure begins to hover near the water surface. The size and stability of the structure are affected by the frequency and pressure of the primary acoustic field. If two clusters are close to each other, the clusters deviate from the spherical shape, even trailing off, and eventually merge into a single bubble cluster. By considering the influence of water-air boundary, based on the mirror principle, a spherical bubble cluster model is developed to explore the structure stability of the clusters, and the modified dynamics equations are obtained. The effects of driving acoustic pressure amplitude, bubble number density, water depth, and bubble equilibrium radius on the optimal stable radius of the spherical bubble cluster are numerically analyzed by using the equivalent potentials at 28 kHz and 40 kHz. The results show that the optimal stabilizing radius of spherical bubble cluster is in a range of 1–2 mm, and it tends to decrease slightly with the increase of the driving acoustic pressure and bubble number density. It is worth noting that the nonlinearity is enhanced by increasing acoustic pressure, which may promote the stability of the cluster structure. The smaller the unstable equilibrium radius, the easier it is to grow, and the stable size at 40 kHz is slightly smaller than that at 28 kHz. Generally, spherical clusters first appear in a high-pressure region and then move to a low-pressure region. If the acoustic pressure drops below a certain critical value, bubble clusters disappear. The theoretical analysis is in good agreement with the experimental observation. The analysis of the growth and structural stability of spherical bubble cluster is helpful in understanding the behavioral modulation of bubbles.