-
La-Co co-substituted M-type ferrite, which was first reported at the end of the 20th century, as the cornerstone of high-performance permanent magnet ferrites, has received increasing attention from researchers around the world. The unquenched orbital moments of Co 2+play a pivotal role in enhancing the uniaxial anisotropy of M-type ferrites. However, a comprehensive understanding of its microscopic mechanism remains elusive. In order to meet the increasing performance requirements of ferrite materials, it is imperative to clarify the mechanism behind the enhancement of magnetic anisotropy, and at the same time seek the guiding principles that are helpful to develop high-performance product quickly and economically. But its mechanism at a microscopic level has not been explained. This review comprehensively analyzes various studies aiming at pinpointing the crystal sites of Co substitution within the lattice. These investigations including neutron diffraction, nuclear magnetic resonance, and Mössbauer spectroscopy can reveal the fundamental origins behind the enhancement of magnetic anisotropy, thereby providing valuable insights for material design strategies aiming at further enhancing the magnetic properties of permanent magnet ferrites. The exploration of co-substitution sites has yielded noteworthy findings. Through careful examination and analysis, researchers have discovered the complex interplay between Co ions and the lattice structure, revealing the mechanisms of enhanced magnetic anisotropy. The current mainstream view is that Co ions tend to occupy more than one site, namely the 4 f 1, 12 k, and 2 asites, all of which are located within the spinel lattice. However, there have also been differing viewpoints, implying that further exploration is needed to uncover the primary controlling factors influencing Co occupancy. It is worth noting that the identification of specific Co substitution sites, especially the spin-down tetrahedron 4 f 1, has achieved targeted modifications, ultimately fine-tuning the magnetic properties with remarkable precision. Furthermore, the reviewed research emphasizes the pivotal role of crystallographic engineering in tailoring the magnetic characteristics of ferrite materials. By strategically manipulating Co substitution, researchers have utilized the intrinsic properties of the lattice to amplify magnetic anisotropy, thereby unlocking new avenues for the advancement of permanent magnet ferrites. In conclusion, the collective findings outlined in this review herald a promising trajectory for the field of permanent magnet ferrites. With a detailed understanding of Co-substitution mechanisms, researchers are preparing to open up new avenues for developing next-generation ferrite materials with enhanced magnetic properties. [1] [2] [3] [4] [5] [6] [7] [8] [9] [10] [11] [12] [13] [14] [15] [16] [17] [18] [19] [20] [21] [22] [23] [24] [25] [26] [27] [28] [29] [30] [31] [32] [33] [34] [35] [36] [37] [38] [39] [40] [41] [42] [43] [44] [45] [46] [47] [48] [49] [50] [51] [52] [53] [54] [55] [56] [57] [58] [59] [60] [61] [62] [63] [64] [65] [66] [67] [68] [69] [70] [71] [72] [73] [74] [75] [76] [77] [78] [79] [80] [81] [82] [83] [84] [85] [86] [87] [88] [89] [90] [91] [92] [93] [94] [95] [96] [97] [98] [99] [100] [101] [102] [103] [104] [105] [106] [107] [108] [109] [110] [111] [112] [113] [114] [115] [116] [117] [118] [119] [120] [121] [122] [123] [124] [125] [126] [127] [128] [129] [130] [131] [132] [133] [134] [135] [136] [137] [138] [139] [140] [141] [142] [143] [144] [145] [146] [147] [148] [149] [150] [151] [152] [153] [154] [155] [156] [157] [158] [159] [160] [161] [162] [163] [164] [165] [166] [167] [168] [169] [170] [171] [172] [173] [174] [175] -
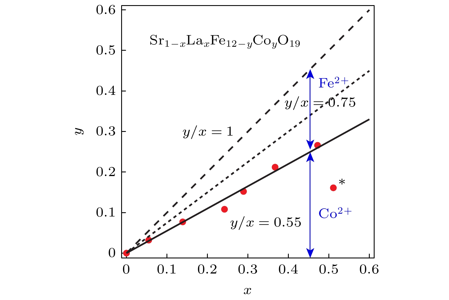
元素 Wyckoff晶位 氧配位数 晶位形状 磁矩方向 A 2d 12 — — Fe 2a 6 八面体 ↑ 2b 5 双锥体 ↑ 4f1 4 四面体 ↓ 4f2 6 八面体 ↓ 12k 6 八面体 ↑ 样品 作者和年份 国家 检测方法 Co2+占位 2a 2b 4f1 4f2 12k 多晶 Pieper等, 2002[100] 澳大利亚 57Fe-NMR ● ● Pieper等, 2002[101] 57Fe,139La和59Co-NMR ▲ ● Moral等, 2002[102] 法国 57Fe-Mössbauer, Raman ● ● Le Breton等, 2002[103] 57Fe-Mössbauer ● ▲ ● Wiesinger等, 2002[104] 澳大利亚 57Fe-Mössbauer,57Fe和59Co-NMR ● ▲ ● Lechevallier等, 2003[97] 法国 57Fe-Mössbauer ● ● Lechevallier等, 2004[105] 57Fe-Mössbauer ● ● Choi等, 2006[106] 韩国 57Fe-Mössbauer ● ● ● Kobayashi等, 2011[107] 日本 Neutron Diffraction, EXAFS, XMCD ● ● ● Kouřil, 2013[109] 捷克 57Fe-NMR ● ▲ ● ▲ ▲ Wu等, 2015[110] 中国 Raman, XPS ● ● ● Ohtsuka等, 2016[111] 日本 TEM-EDXS ● ● ● Mahadevan等, 2020[112] 印度 57Fe-Mössbauer, Raman ● ● ● 单晶 Nagasawa等, 2016[113] 日本 57Fe-Mössbauer ▲ ▲ Oura等, 2018[114] 57Fe-Mössbauer, XES ● ● Sakai等, 2018[115] 57Fe和59Co-NMR ● ● ● Nakamura等, 2019[116] 59Co-NMR ● ● ● Nagasawa等, 2020[117] 外场作用下的57Fe-Mössbauer ● 样品 制备方法 替代浓度 5 K时的磁各向异性场HA/kOe x y Sr1–xLaxFe12–yCoyO19[140] Na2O助熔剂法生长的单晶 0 0 17.50 0.055 0.032 17.22 0.139 0.077 19.46 0.242 0.108 18.62 0.289 0.152 21.57 0.367 0.212 24.36 0.511 0.161 22.17 0.472 0.266 25.57 Sr1–xLaxFe12–yCoyO19[142] 高氧压移动溶剂浮区法生长的单晶 0.2 0.2 21.77 0.4 0.4 27.96 Sr1–xLaxFe12–yCoyO19[143] 高氧压固相反应法合成的多晶 0.21 0.21 21.18 0.30 0.30 21.76 0.39 0.39 24.41 0.41 0.41 27.06 0.72 0.72 34.12 0.93 0.93 42.35 1.00 1.00 56.76 Ca13–n–xLaxFen–yCoyO19
(n= 11.87—11.93,
根据不同Co替代量
而改变)[144]CaO助熔剂法生长的单晶 0.52 0.07 15.26 0.52 0.10 17.35 0.56 0.17 23.15 0.48 0.16 25.65 0.59 0.27 28.31 0.37 0.17 26.89 0.56 0.36 31.54 NaaxLaxFen–yCoyO19(a= 0.25—0.41,
n= 11.84—11.97, 根据不同Co
替代量而改变)[145]Na2O助熔剂法生长的单晶 0.82 0.12 25.72 0.79 0.21 25.61 0.83 0.31 29.61 模型 2a 2b 4f1 4f2 12k 1 — — 1.00 — — 2 — — — — 1.00 3 0.35 — 0.65 — — 4 0.31 — — — 0.69 5 — — 0.88 0.12 — 6 — — 0.47 — 0.53 7 0.22 — 0.38 — 0.40 类别 高自旋 低自旋 八面体 四面体 双锥体 Co2+(d7) 3/2 1/2 — 1/2 Co3+(d6) 2 0 1 1 记号 中心频率/MHz 局域场大小/T 相对丰度 S1 86 8.6 0.73 S2 307 30.6 0.16 S3 386 38.5 0.11 S4 529 52.7 <0.002 -
[1] [2] [3] [4] [5] [6] [7] [8] [9] [10] [11] [12] [13] [14] [15] [16] [17] [18] [19] [20] [21] [22] [23] [24] [25] [26] [27] [28] [29] [30] [31] [32] [33] [34] [35] [36] [37] [38] [39] [40] [41] [42] [43] [44] [45] [46] [47] [48] [49] [50] [51] [52] [53] [54] [55] [56] [57] [58] [59] [60] [61] [62] [63] [64] [65] [66] [67] [68] [69] [70] [71] [72] [73] [74] [75] [76] [77] [78] [79] [80] [81] [82] [83] [84] [85] [86] [87] [88] [89] [90] [91] [92] [93] [94] [95] [96] [97] [98] [99] [100] [101] [102] [103] [104] [105] [106] [107] [108] [109] [110] [111] [112] [113] [114] [115] [116] [117] [118] [119] [120] [121] [122] [123] [124] [125] [126] [127] [128] [129] [130] [131] [132] [133] [134] [135] [136] [137] [138] [139] [140] [141] [142] [143] [144] [145] [146] [147] [148] [149] [150] [151] [152] [153] [154] [155] [156] [157] [158] [159] [160] [161] [162] [163] [164] [165] [166] [167] [168] [169] [170] [171] [172] [173] [174] [175]
计量
- 文章访问数:1213
- PDF下载量:98
- 被引次数:0













下载:












