搜索

x

留言板

姓名
邮箱
手机号码
标题
留言内容
验证码

downloadPDF
引用本文:
Citation:

    方语萱, 杨益, 夏志良, 霍宗亮

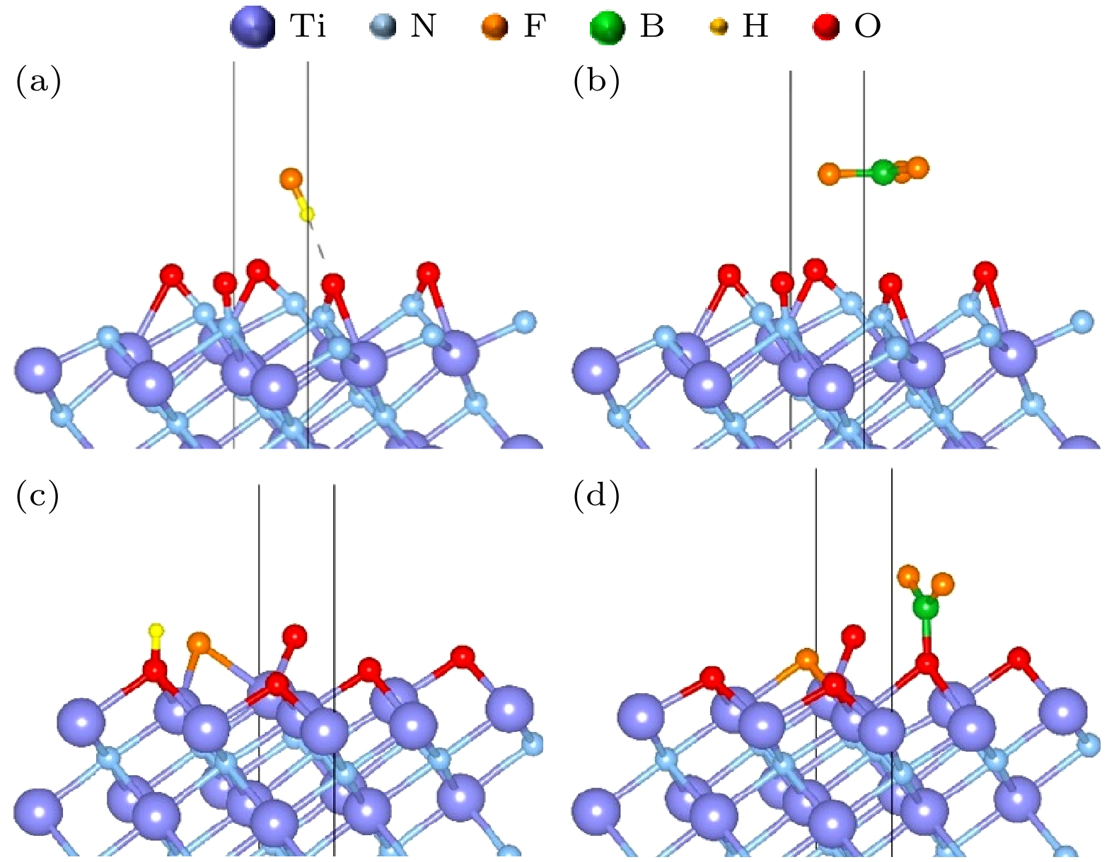
    First-principles study of F adsorption by TiN with its oxide surface in three-dimensional NAND flash memory

    Fang Yu-Xuan, Yang Yi, Xia Zhi-Liang, Huo Zong-Liang
    PDF
    HTML
    导出引用
    计量
    • 文章访问数:775
    • PDF下载量:72
    • 被引次数:0
    出版历程
    • 收稿日期:2024-02-08
    • 修回日期:2024-04-17
    • 上网日期:2024-05-08
    • 刊出日期:2024-06-20

      返回文章
      返回