-
当特定能量的自由电子被原子核外电子轨道俘获时, 有可能导致原子核被共振激发, 这就是电子俘获致核激发. 该机制的一个应用愿景是通过操纵电子使同核异能态所储存的核能按照人们的需求释放出来. 如果能够实现这种技术, 有望为核能的储存和利用带来巨大变革. 本文对比了近年来基于加速器装置, 在高电荷态离子阻停过程中测量电子俘获致核激发几率的两次实验研究工作. 对于两次测量结果的不一致, 从误差水平评估这一个新的角度分析了可能的原因. 此外, 通过评估四种可能的熔合蒸发反应道, 发现 94Zr束流和氦气靶可能是利用次级束开展下一步实验工作的理想弹靶组合.
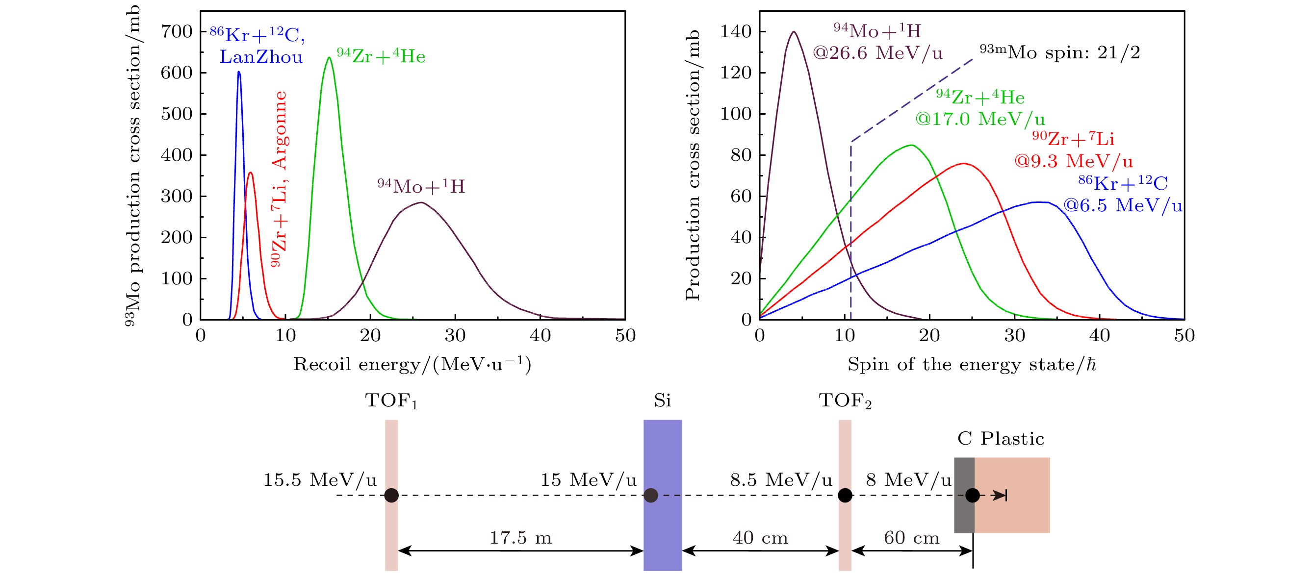
The long-lived isomer is a potential energy-storage material with good energy storage density and storage period. However, releasing the stored energy from such an isomer is challenging. A recognized method is isomer depletion: the isomer is excited to an adjacent short-lived energy level, followed by de-excitation to the ground state, releasing all the stored energy. Six possible mechanisms for isomer depletion have been proposed, i.e. photoabsorption, coulomb excitation, inelastic scattering, nuclear excitation by electron transition, nuclear excitation by electron capture (NEEC), and electronic bridge. Among them, NEEC has attracted significant attention in recent years. The NEEC occurs when a free electron is captured into an empty atomic orbital, with the nucleus excited simultaneously. To observe the NEEC, one can utilize the stopping process of high-velocity, high-charge-state ions in solid materials. As injected into a stopping material, the ions will be decelerated and capture electrons in the material. In the resonant process of NEEC, the sum of the binding energy and the kinetic energy of the free electron matches the energy required for nuclear excitation. If they do not match, or if the orbitals are already occupied by electrons, the NEEC cannot occur, as indicated by the red arrows in the figure. $ ^{93{\mathrm{m}}} {\mathrm{Mo}} $ is an ideal candidate for NEEC measurements. It is an isomeric state with an excitation energy of 2.4 MeV, a spin-parity of$21/2 ^+ $ , and a half-life of 6.85 h. In addition, there is an energy level with a spin-parity of$17/2 ^+ $ and half-life of 3.5 ns; its excitation energy is 4.8-keV higher than that of$ ^{93{\mathrm{m}}} {\mathrm{Mo}} $ and primarily de-excites to the$ 13/2^+ $ state through a 268-keV gamma ray. This level is referred to as the triggering level in the NEEC process. Once excited to the triggering level, the nucleus decays immediately to the ground state, releasing energy of about 2.4 MeV.In 2018, Chiara et al. reported the first experimental observation of $ ^{93{\mathrm{m}}} {\mathrm{Mo}} $ isomer depletion with a probability of 1.0(3)%, which was attributed to the NEEC mechanism. However, the following theoretical calculations fail to reproduce such a high probability. In 2022, another experiment was devoted to measuring the depletion of$ ^{93{\mathrm{m}}} {\mathrm{Mo}} $ in the stopping process. The measurements were performed at the Heavy Ion Research Facility in Lanzhou. However, no characteristic 268-keV transition caused by isomer depletion was observed, and it was inferred that the upper limit of the excitation probability was about$2\times 10^{-5} $ , which is different from the previously reported value of 1%. The beam energy in the Lanzhou experiment is lower than that of the previous data, which can lead to different depletion probabilities. Thus, further experiments are required to clarify this issue.In this study, two experiments related to NEEC are conducted, the reliability of the experimental results is evaluated from a new perspective of error analysis, and a design scheme is provided for implementing further experiments. According to the proposed experimental setup, the recoil energy is considerably increased and particle-identification devices are added. The detectors for particle identification can cause energy loss, thus the increasing of the recoil energy is also a prerequisite for particle identification. Considering the recoil energy, production cross-section, and the population of high-spin states that can decay to $ ^{93{\mathrm{m}}} {\mathrm{Mo}} $ , we recommend the$ ^{94}{\mathrm{Zr}}+ ^{4}{\mathrm{He }}$ as the beam-target candidate for future experiments based on the secondary beam line. In addition, a simple design for particle identification is also introduced in this study.-
Keywords:
- isomer/
- nuclear excitation by electron capture/
- isomer depletion/
- secondary beam/
- gamma spectroscopy
[1] [2] [3] [4] [5] [6] [7] [8] [9] [10] [11] [12] [13] [14] [15] [16] [17] [18] [19] [20] [21] [22] [23] [24] [25] [26] [27] [28] [29] [30] [31] [32] [33] [34] [35] [36] [37] [38] [39] [40] [41] [42] [43] [44] -
[1] [2] [3] [4] [5] [6] [7] [8] [9] [10] [11] [12] [13] [14] [15] [16] [17] [18] [19] [20] [21] [22] [23] [24] [25] [26] [27] [28] [29] [30] [31] [32] [33] [34] [35] [36] [37] [38] [39] [40] [41] [42] [43] [44]
计量
- 文章访问数:666
- PDF下载量:20
- 被引次数:0












下载:







