-
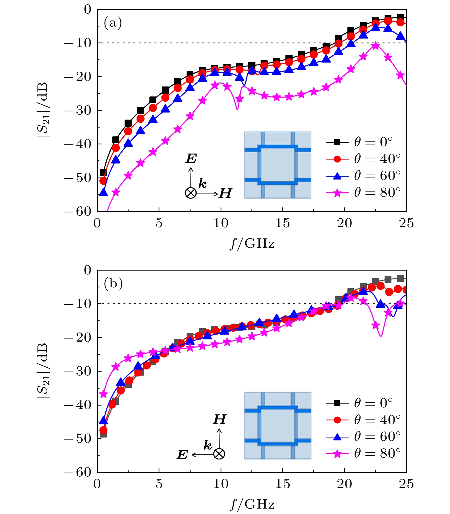
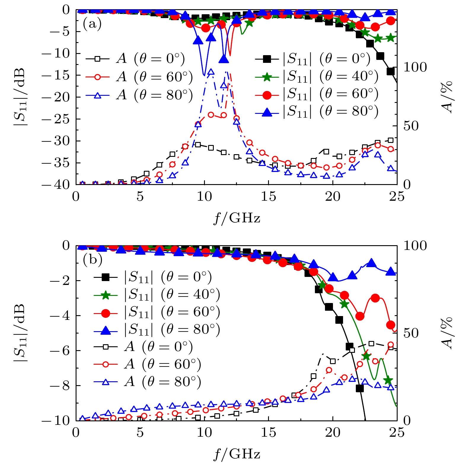
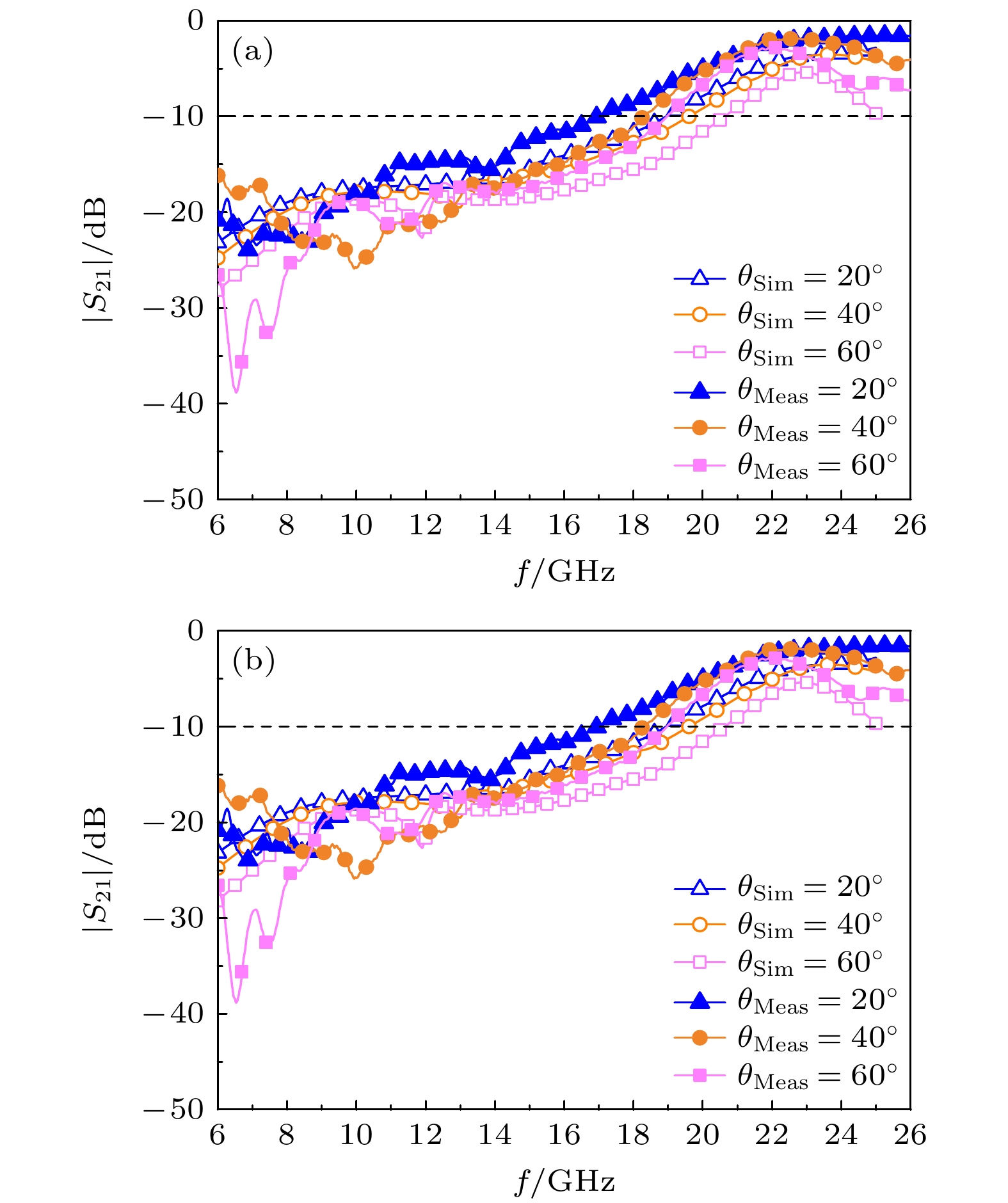
高频电磁波主要通过玻璃门窗进入建筑物内部, 设计具有光学透明且屏蔽功能可开关的超宽带电磁屏蔽体, 对同时需要电磁安全和采光的特定场所具有重要工程应用价值. 本文利用液态金属的流动性, 提出了一种透明可开关电磁屏蔽体的设计新思路. 利用液态金属流动性作为电磁屏蔽的切换开关, 利用其导电性及Ω型频率选择表面(FSS)结构设计实现超宽带电磁屏蔽. 该FSS结构由三层透明材料构成, 中间层为聚甲基丙烯酸甲酯(PMMA), 顶层和底层为聚二甲基硅氧烷(PDMS), 且其中嵌有正交排列的Ω型微通道. 通过对微通道中注入液态金属, 可将该FSS结构的频率响应从全通状态切换到带阻状态. 双层Ω型微通道设计可增强液态金属的流动性并减半其用量, 同时实现18.1 GHz以下(覆盖P, L, S, C, X和Ku波段)超宽带电磁干扰抑制, 且具有高达80°的极化角度稳定性. 所设计的FSS电磁屏蔽结构单元81%的面积未覆盖金属, 可获得良好的光学透明性. 通过仿真计算TE和TM两种极化方式下的反射系数和吸收率, 深入分析了所设计结构的超宽阻带和高角度稳定性机理. 对所设计结构进行制备和实验测试, 测试结果与仿真结果基本吻合, 验证了所设计FSS结构的超宽带电磁屏蔽性能.In view of the fact that high-frequency electromagnetic waves mainly enter buildings through windows and glass doors, switchable optically-transparent shielding with broad stopband is increasingly needed. Herein, a novel design for a switchable and optically transparent frequency selective surface (FSS) with ultrawide-stopband is presented in this study. The structure consists of a polymethyl methacrylate (PMMA) layer sandwiched between polydimethylsiloxane (PDMS) layers which contain liquid metal microchannels arranged in an orthogonal Ω-shaped configuration. The mobility of the liquid metal can switch the FSS response from an all-pass to an ultrawide bandstop behavior. The proposed FSS achieves a rejection bandwidth of 18.1 GHz, covering P, L, S, C, X and Ku bands, while maintaining a transparency of 81% and high angular stability up to 80°, regardless of polarization. Furthermore, the mechanism behind the ultrawide stopband and high angular stability is explored through an analysis of reflection and absorption for both TE polarization and TM polarization. Experimental validation under both normal and oblique incidence demonstrates the ultrawide-stopband performance of the fabricated FSS.
-
Keywords:
- electromagnetic shielding/
- frequency selective surface/
- liquid metal/
- optically transparent/
- switchable
[1] [2] [3] [4] [5] [6] [7] [8] [9] [10] [11] [12] [13] [14] [15] [16] [17] [18] [19] [20] [21] [22] [23] [24] [25] [26] [27] [28] [29] [30] [31] [32] [33] [34] [35] [36] -
电磁特性参数 材料名 值 相对介电常数 PDMS 3 – j0.195 PMMA 2.55 – j0.0051 EGaIn 1 相对磁导率 PDMS 1 PMMA 1 EGaIn 1 电导率/(S·m–1) EGaIn 3.4 × 106 参量 d s w h hPDMS hPMMA p 值/mm 4 2 0.5 2 2.7 1.5 10 入射角
/(°)频率/GHz S11/dB S21/dB Zin/Ω Z0/Ω Re Im 80 10.5 –15.51 –18.23 2848.8 –565.8 2171.1 80 11.7 –20.79 –18.95 1844.8 –119.0 2171.1 60 12 –14.9 –17.01 765.1 –290.3 754 文献 透明度/% 可开关或可调谐性能 10 dB 屏蔽带宽/GHz 角度稳定性/(°) [21] N N 3.0—12.0 60 [22] N N 7.34—15.0 45 [15] 81.6 N 0.71—1.25
1.73—2.1660 [16] 84.5 N 8.0—12.0 NM [27] N 汞和油的体积调谐 4.08—16.96 NM [28] N 变容二极管调谐 0.54—2.5 60 [25] N EGaIn注入不同层调谐 <4.5 (底层结构)
< 12.2 (顶层结构)NM [32] N EGaIn注入控制全通到带阻 1.9—3.1 (TM 极化)
3.2—4.2 (TE极化)45
60本文设计 81 EGaIn注入控制全通到阻带 < 18.1 80 注: N表示不支持该功能; NM表示未提及 -
[1] [2] [3] [4] [5] [6] [7] [8] [9] [10] [11] [12] [13] [14] [15] [16] [17] [18] [19] [20] [21] [22] [23] [24] [25] [26] [27] [28] [29] [30] [31] [32] [33] [34] [35] [36]
计量
- 文章访问数:1230
- PDF下载量:120
- 被引次数:0













下载:









