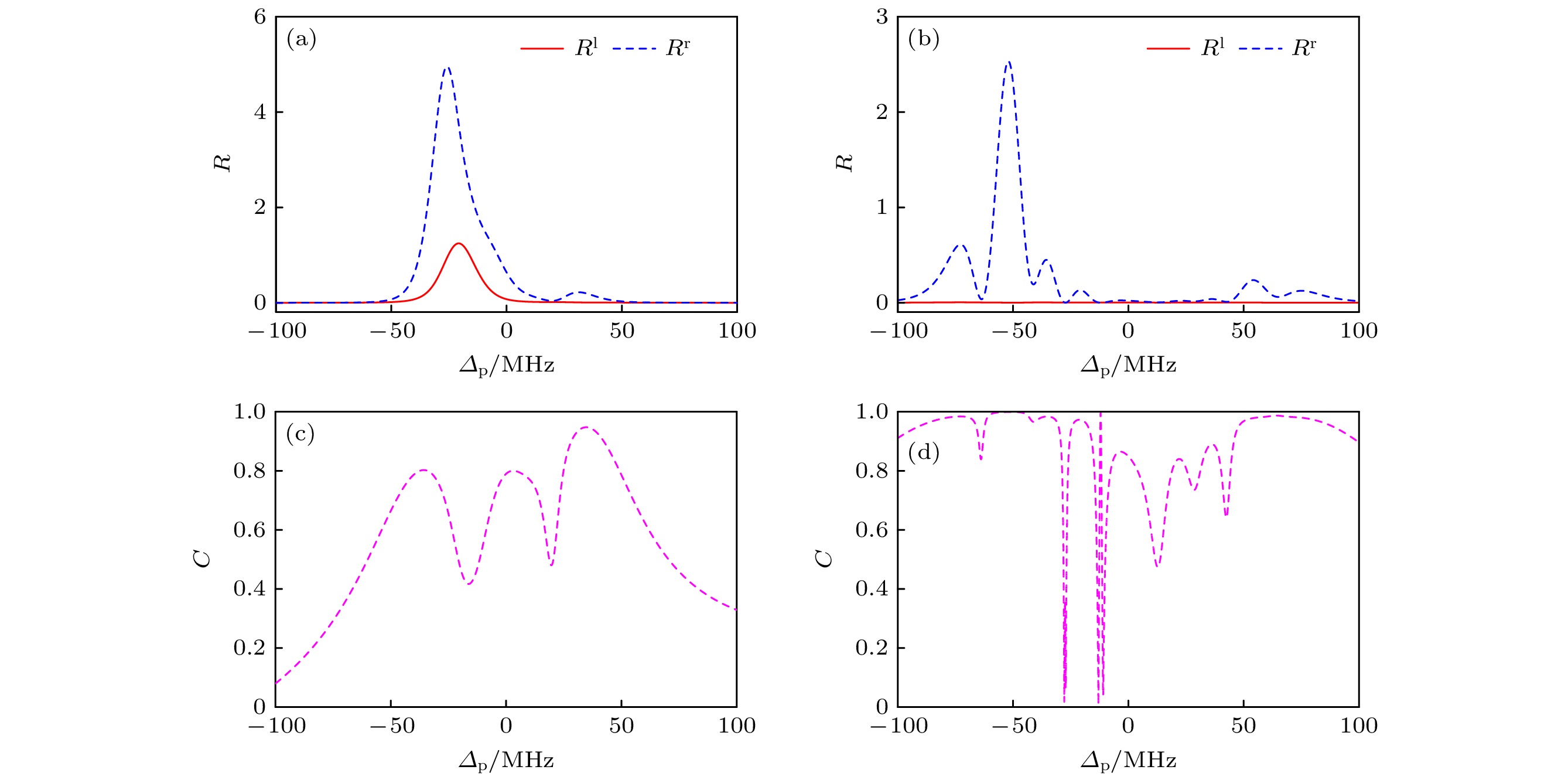
2023 Opt. Express 31 38228)中, 基于四波混频增益并利用耦合场强度随位置线性变化实现了单向反射光放大的动力学调控. 本文巧妙地设计了简单的三能级闭合回路相干增益原子系统, 创新性地设置耦合场强度随位置阶梯型变化来破坏极化率空间对称性实现了完美非互易反射光放大. 相比之下, 耦合场强度阶梯型变化在实验上更容易调节, 大大地降低了实验难度. 特别地, 该系统引入了相位调制. 通过改变相位能够切换探测光增益和吸收的频率域, 对反射光放大的调节更具灵活性."> - 必威体育下载

搜索

x

留言板

姓名
邮箱
手机号码
标题
留言内容
验证码

downloadPDF
引用本文:
Citation:

李观荣, 郑怡婷, 徐琼怡, 裴笑山, 耿玥, 严冬, 杨红

Perfect non-reciprocal reflection amplification in closed loop coherent gain atomic system

Li Guan-Rong, Zheng Yi-Ting, Xu Qiong-Yi, Pei Xiao-Shan, Geng Yue, Yan Dong, Yang Hong
PDF
HTML
导出引用
计量
  • 文章访问数:934
  • PDF下载量:68
  • 被引次数:0
出版历程
  • 收稿日期:2024-03-11
  • 修回日期:2024-04-15
  • 上网日期:2024-04-23
  • 刊出日期:2024-06-20

    返回文章
    返回