-
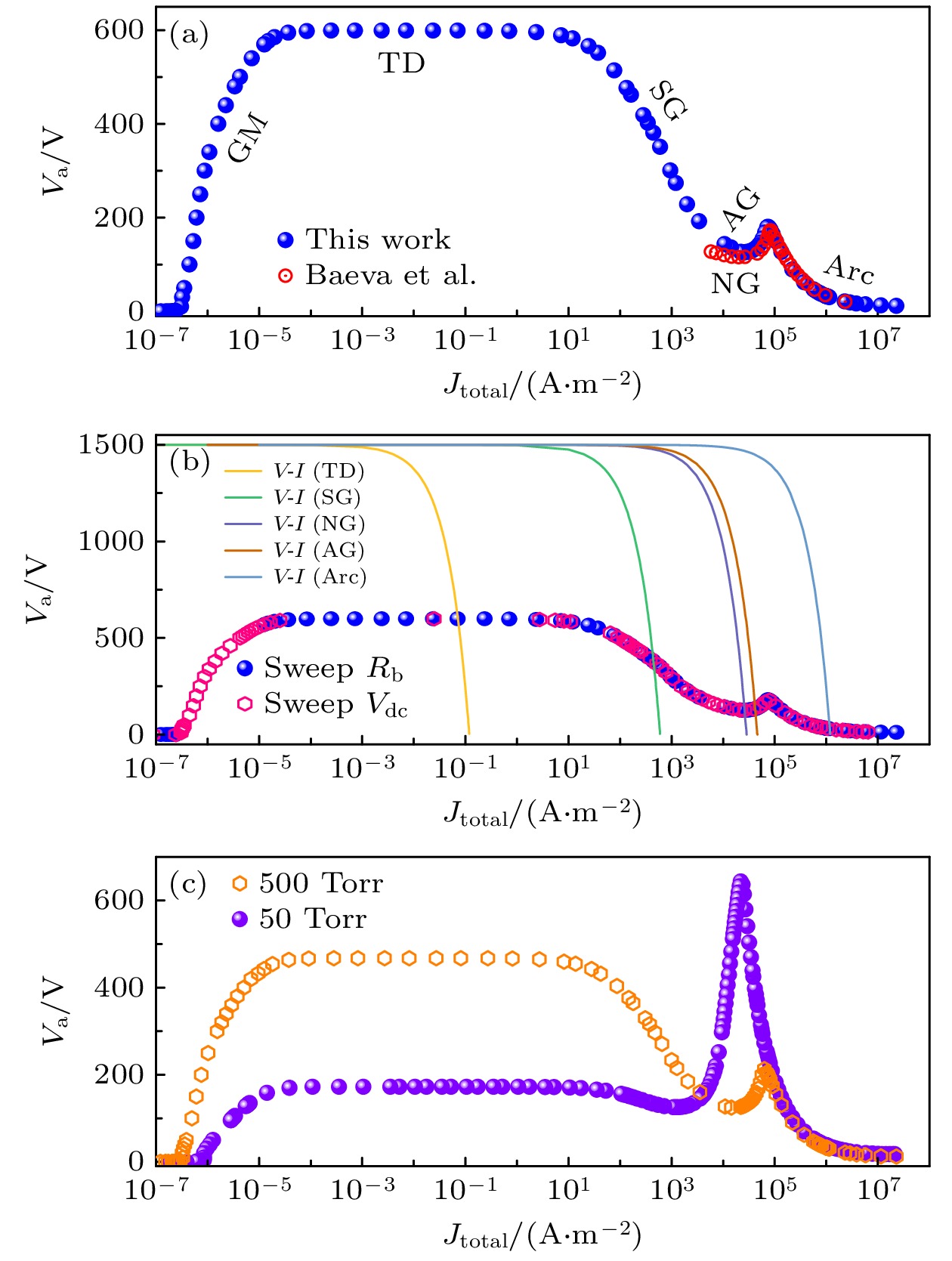
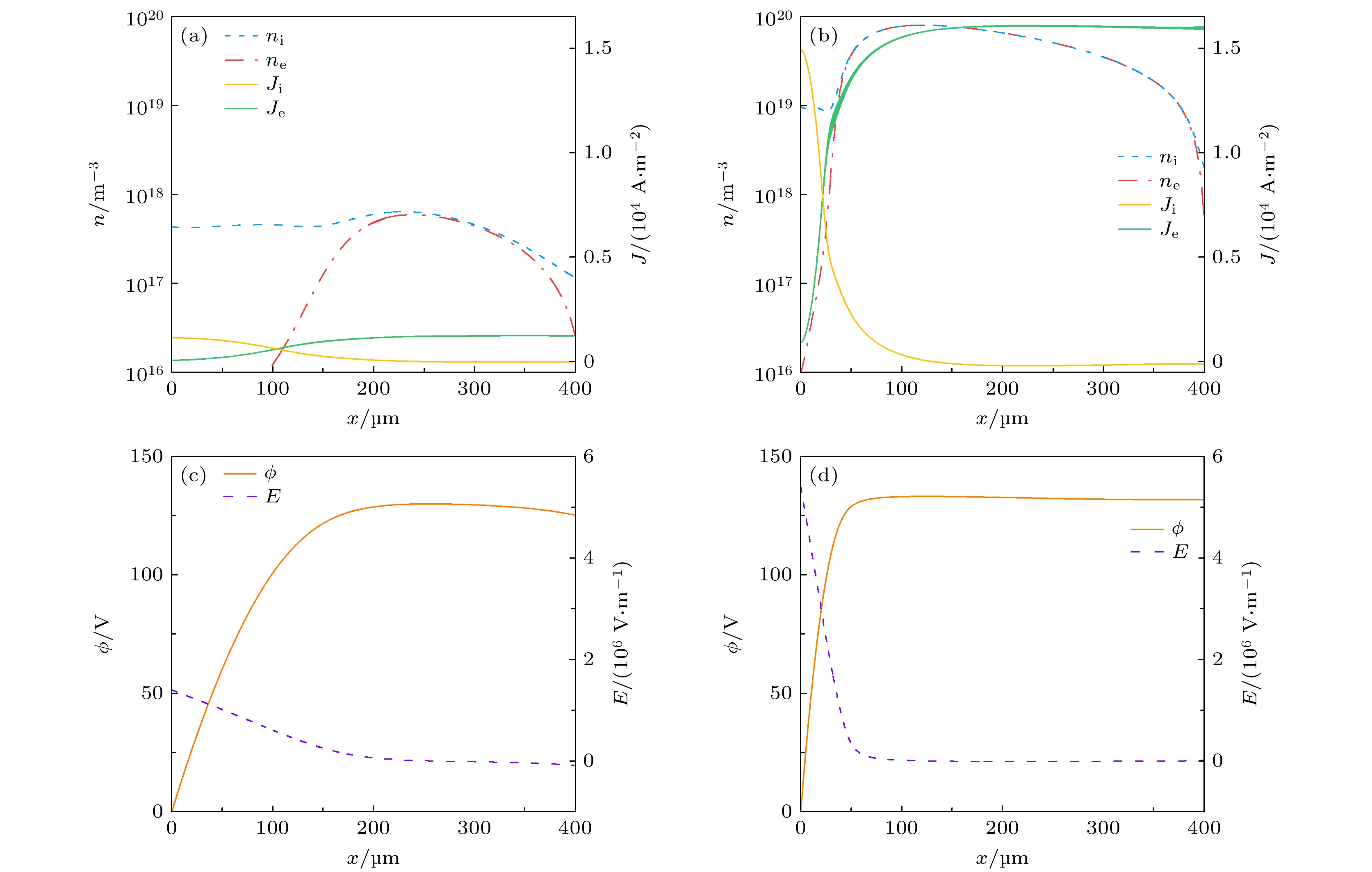
数值仿真技术已发展成为气体放电领域的重要研究手段, 常用于研究揭示某一具体放电形式的微观物理过程. 本文介绍了气体放电的统一流体模型, 包括粒子的连续性方程、能量守恒方程及泊松(Poisson)方程, 考虑阴极电子发射(二次电子、热电子发射)、反应焓变与气体加热、阴极热传导等基本过程, 可模拟得到包含盖革-米勒(Geiger-Müller)放电、汤森(Townsend)放电、辉光放电、电弧放电等各区域的完整伏安特性曲线. 基于该模型, 仿真得到的气体放电伏安特性曲线与已有文献结果一致, 验证了该模型的正确性. 在此基础上, 对间距为400 µm、气压分别为50和500 Torr (1 Torr ≈ 133.322 Pa)的放电过程进行了具体研究, 对比分析了不同气压条件下放电典型参量的分布特性. 该模型实现了广域参数范围条件下的气体放电数值仿真, 拓展了气体放电流体模型的应用范围, 促进了对放电参数特性的系统性分析.Numerical simulation has become an indispensable tool in the study of gas discharge. However, it is typically used to reveal microscopic properties in a discharge under specific conditions. In this work, a unified fluid model for discharge simulation is introduced in detail. The model includes the continuity equation, the energy conservation equation of the species (electrons and heavy particles), and Poisson’s equation. The model takes into account some processes such as cathode electron emission (secondary electron emission and thermionic emission), reaction enthalpy change, gas heating, and cathode heat conduction. The full current-voltage characteristic (CVC) curve covers a range of discharge regimes, such as the Geiger-Müller discharge regime, Townsend discharge regime, subnormal glow discharge regime, normal glow discharge regime, abnormal glow discharge regime, and arc discharge regime. The obtained CVC curve is consistent with the results in the literature, confirming the validity of the unified fluid model. On this basis, the CVC curves are obtained in a wide pressure range of 50–3000 Torr. Simulation studies are carried out focusing on the discharge characteristics for microgap of 400 µm at pressures of 50 Torr and 500 Torr, respectively. The distributions of typical discharge parameters under different pressure conditions are analyzed by comparison. The results indicate that the electric field in the discharge gap is uniform, and that the space charge effect can be ignored in Townsend discharge regime. The cathode fall region and the quasi-neutral region both appear in glow discharge regime, and the space charge effect is significant. In particular, the electric field reversal occurs in abnormal discharge regime due to the heightened particle density gradient. The electron density reaches about 10 22m –3in arc discharge regime dominated by thermionic emission and thermal ionization, with the current density increasing. The gas temperature peak is 11850 K when the pressure is 500 Torr, and the cathode surface is heated to nearly 4000 K due to heat conduction. The present model can be used to simulate gas discharge across a wide range of condition parameters, promoting and expanding fluid model applications, and assisting in a more comprehensive investigation of discharge parameter properties.
-
Keywords:
- gas discharge/
- unified fluid model/
- current-voltage characteristic/
- Townsend discharge/
- glow discharge/
- arc discharge
[1] [2] [3] [4] [5] [6] [7] [8] [9] [10] [11] [12] [13] [14] [15] [16] [17] [18] [19] [20] [21] [22] [23] [24] [25] [26] [27] [28] [29] [30] [31] [32] [33] [34] [35] [36] [37] [38] [39] [40] [41] [42] [43] [44] [45] [46] [47] [48] [49] [50] [51] [52] [53] [54] [55] [56] [57] [58] [59] [60] [61] [62] [63] [64] [65] [66] [67] [68] [69] [70] [71] [72] [73] [74] [75] [76] [77] [78] [79] [80] [81] [82] [83] [84] [85] [86] [87] [88] [89] [90] [91] [92] [93] [94] [95] [96] [97] [98] [99] [100] [101] -
序号 反应过程 反应系数 参考文献 $\Delta E$/eV[41] R1 e + Ar $\rightarrow $ e + Ar BOLSIG+ [47] 0 R2 e + Ar $\rightarrow $ e + $\text{Ar}^*$ BOLSIG+ [47] 11.5 R3 e + $\text{Ar}^*$ $\rightarrow $ e + Ar BOLSIG+ [47] –11.5 R4 e + Ar $\rightarrow $ 2e + $\text{Ar}^+$ BOLSIG+ [47] 15.8 R5 e + $\text{Ar}^*$ $\rightarrow $ 2e + $\text{Ar}^+$ BOLSIG+ [47] 4.3 R6 e + $\text{Ar}_2^*$ $\rightarrow $ 2e + $\text{Ar}_2^+$ BOLSIG+ [47] 3.66 R7 e + $\text{Ar}_2^*$ $\rightarrow $ e + 2Ar BOLSIG+ [47] –11.27 R8 e + $\text{Ar}_2^+$ $\rightarrow $ $\text{Ar}^*$ + Ar $ 1.04\times {{10}^{-12}} {(0.026/{T_\text{e})}^{0.67}}\dfrac{1-\exp (-418/{T_\text{g}})}{1-0.31\exp (-418/{T_\text{g}})} \; [\text{m}^3/\text{s}] $ [48] –3.03 R9 e + $\text{Ar}_2^+$ $\rightarrow $ e + $\text{Ar}^+$ + Ar $ 1.11\times {{10}^{-12}}{{T}_\text{e}^{-1}}{\exp \{-[2.94+3({T_\text{g}}/11600-0.026)]\}}\; [\text{m}^3/\text{s}] $ [49,50] 4.53 R10 2e + $\text{Ar}^+$ $\rightarrow $ e + Ar $ \left\{ \begin{array}{l}8.75 \times 10^{-39} T_\text{e}^{-4.5}\;[\text{m}^6/\text{s}], \; T_\text{e} \leqslant 0.276 \;\text{eV}\\1.29 \times 10^{-44}\left({11.659}/{T_{\mathrm{e}}}+2\right) \exp \left({4.11}/{T_\text{e}}\right)\;[\text{m}^6/\text{s}], \; T_\text{e} > 0.276 \;\text{eV}\end{array}\right. $ [50] –15.8 R11 $\text{Ar}^*$ + $\text{Ar}^*$ $\rightarrow $ e +
$\text{Ar}^+$ + Ar$ 1.62\times {{10}^{-16}}{{T_\text{g}}^{0.5}} \; [\text{m}^3/\text{s}] $ [51] –13.26 R12 $\text{Ar}^*$ + Ar $\rightarrow $ Ar + Ar $ 3\times {{10}^{-21}}\; [\text{m}^3/\text{s}] $ [52,53] –11.5 R13 2$\text{Ar}_2^*$ $\rightarrow $ e + 2Ar + $\text{Ar}_2^+$ $ 1.6248\times {{10}^{-16}}{{T_\text{g}}^{0.5}}\; [\text{m}^3/\text{s}] $ [54] –8.01 R14 2Ar + $\text{Ar}^+$ $\rightarrow $ Ar + $\text{Ar}_2^+$ $ 7.5\times {{10}^{-41}}/T_\text{g} \; [\text{m}^6/\text{s}] $ [54] –1.27 R15 2Ar + $\text{Ar}^*$ $\rightarrow $ Ar + $\text{Ar}_2^*$ $ 3.3\times {{10}^{-44}}\; [\text{m}^6/\text{s}] $ [39] –0.23 R16 Ar + $\text{Ar}_2^+$ $\rightarrow $ 2Ar + $\text{Ar}^+$ $ 6.06\times {{10}^{-12}}{T_\text{g}^{-1}}{\exp (-1.258\times {{10}^{5}}/{{R}_{\text{g}}}/{T_\text{g}})}\; [\text{m}^3/\text{s}] $ [49,50] 1.27 R17 $\text{Ar}^*$ $\rightarrow $ Ar + $h\nu$ $ 3.145\times {{10}^{5}}\; [1/\text{s}] $ [55] –11.5 R18 $\text{Ar}_2^*$ $\rightarrow $ 2Ar + $h\nu$ $ 6.00\times {{10}^{7}} \; [1/\text{s}] $ [39] –11.27 p/Torr $x_{\text{r}}/\text{μm}$ $x_{\text{i}_\text{max}}/\text{μm}$ $x_{\phi _ \text{max}}/\text{μm}$ $x_{J_\text{e,dif}=J_\text{e}}/\text{μm}$ $x_{J_\text{i} = 0}/\text{μm}$ 50 305.7 305.1 305.7 305.8 305.7 500 183.1 179.6 183.1 181.4 183.1 -
[1] [2] [3] [4] [5] [6] [7] [8] [9] [10] [11] [12] [13] [14] [15] [16] [17] [18] [19] [20] [21] [22] [23] [24] [25] [26] [27] [28] [29] [30] [31] [32] [33] [34] [35] [36] [37] [38] [39] [40] [41] [42] [43] [44] [45] [46] [47] [48] [49] [50] [51] [52] [53] [54] [55] [56] [57] [58] [59] [60] [61] [62] [63] [64] [65] [66] [67] [68] [69] [70] [71] [72] [73] [74] [75] [76] [77] [78] [79] [80] [81] [82] [83] [84] [85] [86] [87] [88] [89] [90] [91] [92] [93] [94] [95] [96] [97] [98] [99] [100] [101]
计量
- 文章访问数:1120
- PDF下载量:93
- 被引次数:0













下载:











