-
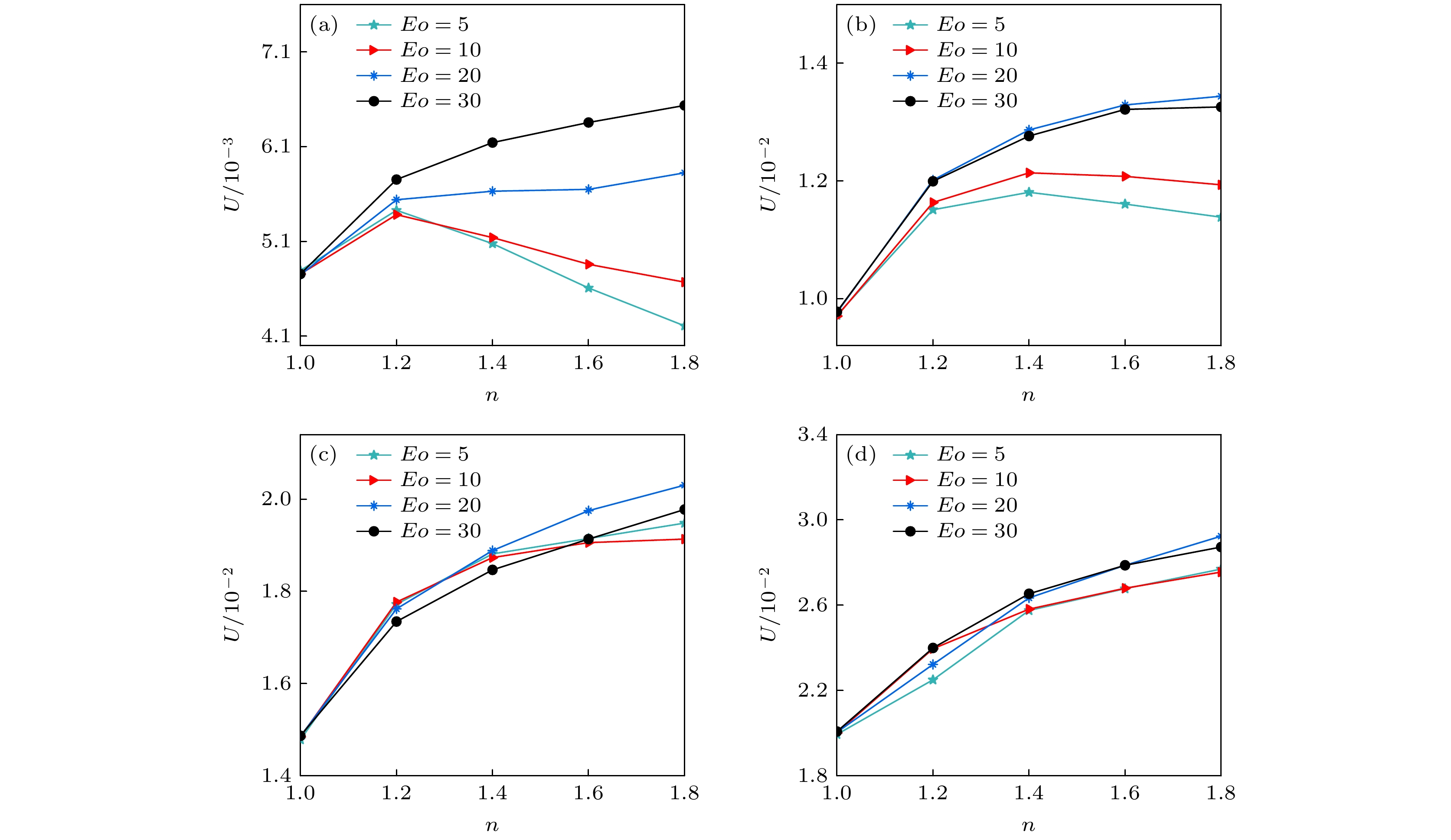
采用不可压非牛顿气液两相流格子Boltzmann方法研究了剪切增稠流体中气泡上升的动力学行为, 重点分析了流变指数 n、Eöυös数( Eo)和Galilei数( Ga)对气泡形变、终端速度和剪切速率的影响. 数值结果表明: 气泡形变程度随 Eo的增大而增大, n对气泡形状的影响与 Ga相关. 另一方面, 随着 Ga增大, 气泡终端速度随 n呈非线性单调增大, 且 n对终端速度的影响随 Ga的增大逐渐明显; 当 Ga固定且值较小时, 气泡终端速度在较小 Eo下随 n的增大先增大后减小, 而当 Eo较大时终端速度随 n的增大呈增大趋势; 当 Ga固定且较大时, 气泡终端速度在 Eo较大时较为统一地随 n增大而增大. 此外, 气泡左右两端存在剪切速率较高的区域, 该区域尺寸随 Eo, Ga的增大而增大, 随 n的增大先增大后缩小. 最后利用正交试验法得到上述三变量对剪切速率和终端速度的影响程度. 对于剪切速率, 参数影响程度由大到小的顺序依次为 n, Ga和 Eo; 对于终端速度, Ga对其影响最大, n次之, Eo影响程度最小.
-
关键词:
- 格子Boltzmann方法/
- 气泡动力学/
- 剪切增稠流体
Bubble motion in non-Newtonian fluids is widely present in various industrial processes such as crude oil extraction, enhancement of boiling heat transfer, CO 2sequestration and wastewater treatment. System containing non-Newtonian liquid, as opposed to Newtonian liquid, has shear-dependent viscosity, which can change the hydrodynamic characteristics of the bubbles, such as their size, deformation, instability, terminal velocity, and shear rate, and ultimately affect the bubble rising behaviors. In this work, the dynamic behavior of bubble rising in a shear-thickened fluid is studied by using an incompressible lattice Boltzmann non-Newtonian gas-liquid two-phase flow model. The effects of the rheological exponent n, the Eötvös number ( Eo), and the Galilei number ( Ga) on the bubble deformation, terminal velocity, and the shear rate are investigated. The numerical results show that the degree of bubble deformation increases as Eogrows, and the effect of non bubble deformation degree relates to Ga. On the other hand, the terminal velocity of the bubbles increases monotonically and nonlinearly with Gafor given Eoand n, and the effect of non the terminal velocity of the bubbles turns stronger as Gaincreases. When Gais fixed and small, the terminal velocity of the bubble increases and then decreases with the increase of nat small Eo, and increases with the increase of nwhen Eois large; but when Gais fixed and large, the terminal velocity of the bubbles increases with the increase of nin a more uniform manner. In addition, regions with high shear rates can be found near the left end and right end of the bubble. The size of these regions grows with Eoand Ga, exhibiting an initial increase followed by a decrease as nincreases. Finally, the orthogonal experimental method is used to obtain the influences of the aforementioned three factors on the shear rate and terminal velocity. The order of influence on shear rate is n, Gaand Eowhich are arranged in descending order. For the terminal velocity, Gahas the greatest influence, followed by n, and Eohas the least influence.[1] [2] [3] [4] [5] [6] [7] [8] [9] [10] [11] [12] [13] [14] [15] [16] [17] [18] [19] [20] [21] [22] [23] [24] [25] [26] [27] [28] [29] [30] [31] [32] -
Ga= 22 Ga= 32 n= 1.0 n= 1.2 n= 1.4 n= 1.6 n= 1.8 n= 1.0 n= 1.2 n= 1.4 n= 1.6 n= 1.8 Eo= 5
Eo= 10
Eo= 20
Eo= 30
Ga= 39 Ga= 45 n= 1.0 n= 1.2 n= 1.4 n= 1.6 n= 1.8 n= 1.0 n= 1.2 n= 1.4 n= 1.6 n= 1.8 Eo= 5
Eo= 10
Eo= 20
Eo= 30
Eo= 5 Eo= 30 Ga= 22 Ga= 45 Ga= 22 Ga= 45 n= 1 



n= 1.2 



n= 1.4 



n= 1.6 



n= 1.8 




水平 因素 n Ga Eo ① 1.0 22 5 ② 1.2 32 10 ③ 1.4 39 20 ④ 1.6 45 30 ⑤ 1.8 — — 试验次数 因 素 剪切速率
(×10–6)n Ga Eo 1 1.0 22 5 718 2 1.0 32 20 1152 3 1.0 39 30 1443 4 1.0 45 10 1743 5 1.0 45 30 1673 6 1.2 22 30 798 7 1.2 32 10 1325 8 1.2 39 30 1659 9 1.2 45 5 2078 10 1.2 45 20 2035 11 1.4 22 30 837 12 1.4 32 5 1625 13 1.4 39 20 1904 14 1.4 45 30 2033 15 1.4 45 10 1872 16 1.6 22 20 1464 17 1.6 32 30 1747 18 1.6 39 10 2532 19 1.6 45 30 2732 20 1.6 45 5 3707 21 1.8 22 10 3329 22 1.8 32 30 2903 23 1.8 39 5 6200 24 1.8 45 20 4016 25 1.8 45 30 3519 试验均值/极差 因 素 n Ga Eo k1 1390.0 540.0 1707.0 k2 1608.8 1193.6 1623.6 k3 1783.8 1792.8 1735.2 k4 1851.4 2507.6 1737.9 k5 1907.6 — — R 517.6 1967.6 114.3 试验次数 因 素 终端速度
(×10–6)n Ga Eo 1 1.0 22 5 479 2 1.0 32 20 976 3 1.0 39 30 1487 4 1.0 45 10 2001 5 1.0 45 30 2007 6 1.2 22 30 575 7 1.2 32 10 1163 8 1.2 39 30 1734 9 1.2 45 5 2250 10 1.2 45 20 2322 11 1.4 22 30 614 12 1.4 32 5 1181 13 1.4 39 20 1889 14 1.4 45 30 2654 15 1.4 45 10 2581 16 1.6 22 20 565 17 1.6 32 30 1322 18 1.6 39 10 1906 19 1.6 45 30 2787 20 1.6 45 5 2677 21 1.8 22 10 467 22 1.8 32 30 1326 23 1.8 39 5 1948 24 1.8 45 20 2924 25 1.8 45 30 2873 试验均值/极差 因 素 n Ga Eo k1 1345.8 1429.2 2865.6 k2 1579.0 1750.4 2160.2 k3 1654.2 2747.6 2114.2 k4 2436.4 2540.8 1934.4 k5 3993.4 — — R 2647.6 1318.4 931.2 -
[1] [2] [3] [4] [5] [6] [7] [8] [9] [10] [11] [12] [13] [14] [15] [16] [17] [18] [19] [20] [21] [22] [23] [24] [25] [26] [27] [28] [29] [30] [31] [32]
计量
- 文章访问数:820
- PDF下载量:30
- 被引次数:0













下载:























