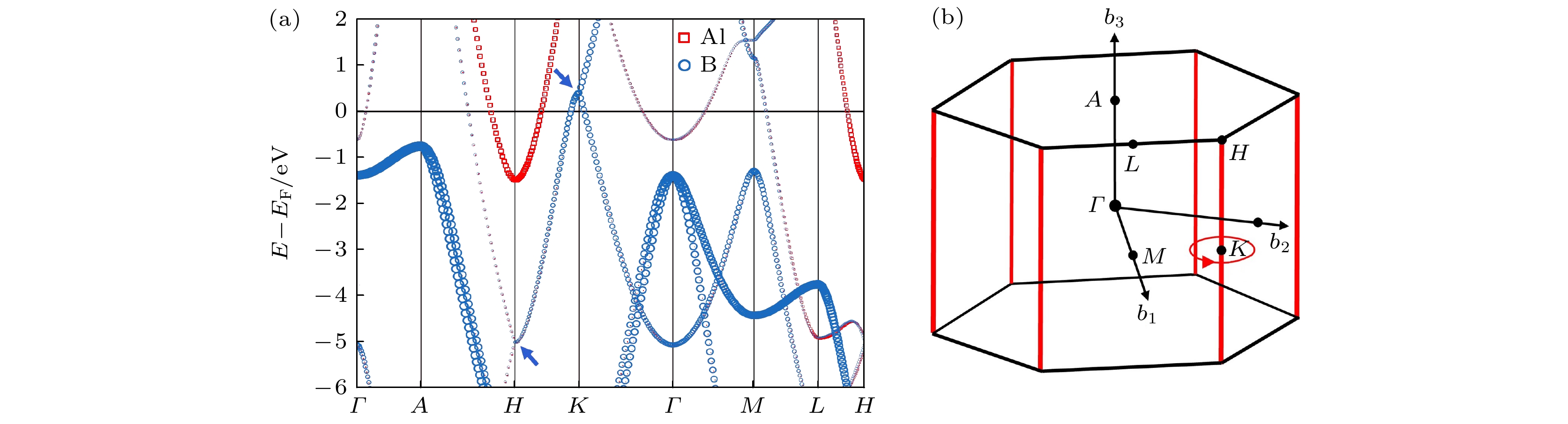
\begin{document}$ \Delta {G}_{{{\mathrm{H}}}^{*}} $\end{document})仅为–0.031 eV, 相较于商业电催化析氢(hydrogen evolution reaction, HER)催化剂Pt的–0.08 eV更接近于0, 展现出了优异的HER性能. 观察了AlB2表面吸附H, OH和H2O后TSS的变化, 发现当H吸附时TSS变化最显著, 其次是OH吸附, H2O因其电中性和弱的表面吸附对TSS的影响很微弱. 并且在吸附前后, 由于受拓扑保护TSS依旧存在, 仅是能量发生了改变, 证实了其在环境中的稳定性. 本工作研究结果为不同吸附物对AlB2的TSS的影响提供了系统的认识, 为今后相关领域的理论和实验研究铺平了道路, 也为拓扑材料的实际应用提供了理论支撑."> - 必威体育下载

搜索

x

留言板

姓名
邮箱
手机号码
标题
留言内容
验证码

downloadPDF
引用本文:
Citation:

    朱庞栋, 王长昊, 王如志

    Variations of topological surface states of nodal line semimetal AlB2after adsorption in aqueous environment

    Zhu Pang-Dong, Wang Chang-Hao, Wang Ru-Zhi
    PDF
    HTML
    导出引用
    计量
    • 文章访问数:791
    • PDF下载量:38
    • 被引次数:0
    出版历程
    • 收稿日期:2024-03-21
    • 修回日期:2024-04-10
    • 上网日期:2024-05-06
    • 刊出日期:2024-06-20

      返回文章
      返回