搜索

x

留言板

姓名
邮箱
手机号码
标题
留言内容
验证码

downloadPDF
引用本文:
Citation:

谭超, 梁勇, 邹敏, 雷同, 陈龙, 唐平华, 刘明伟

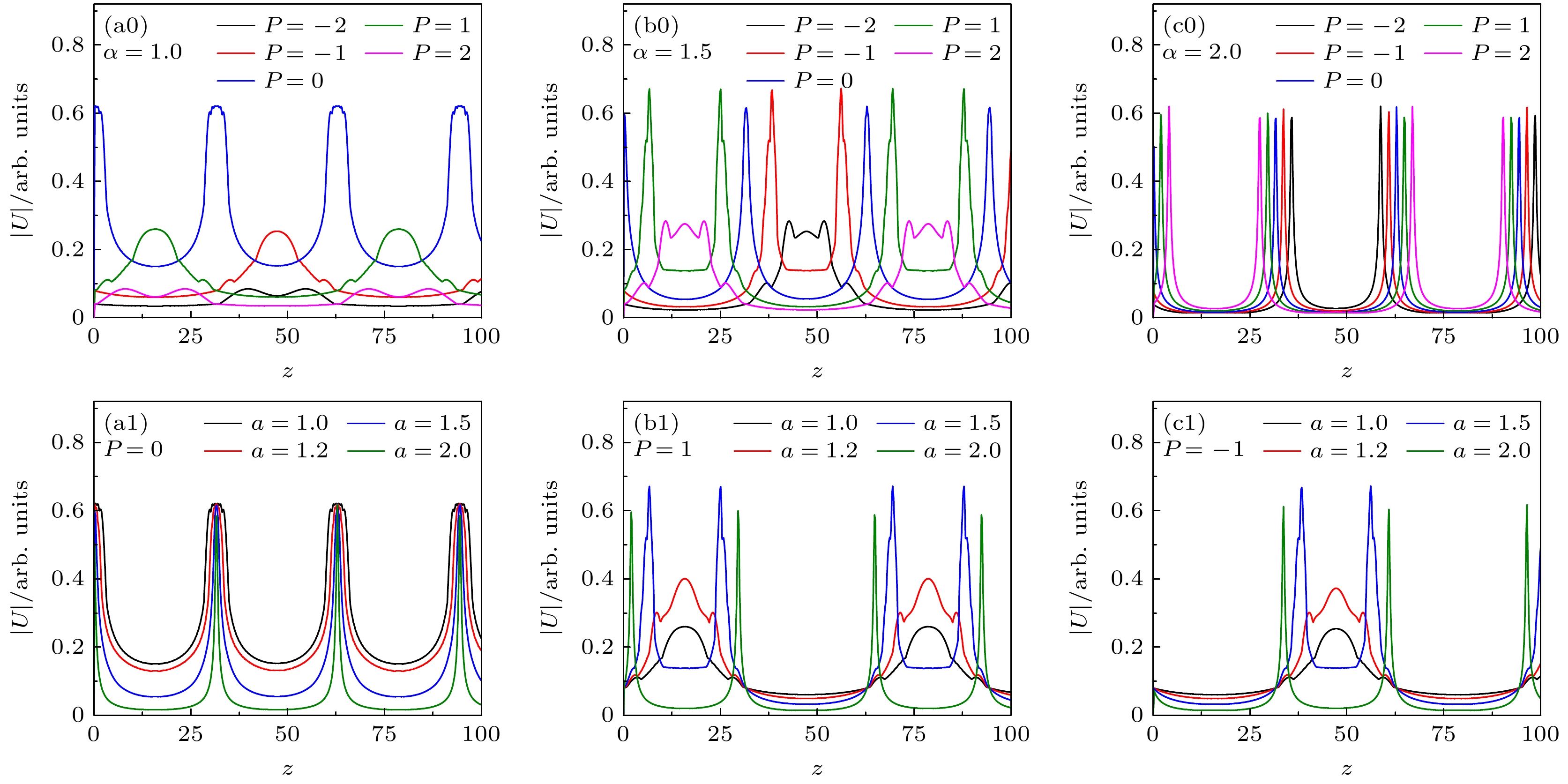
Dynamics of quadratic phase controlled Hermite-Gaussian beams in fractional systems based on different variable coefficients and potentials

Tan Chao, Liang Yong, Zou Min, Lei Tong, Chen Long, Tang Ping-Hua, Liu Ming-Wei
PDF
HTML
导出引用
计量
  • 文章访问数:1515
  • PDF下载量:45
  • 被引次数:0
出版历程
  • 收稿日期:2024-03-24
  • 修回日期:2024-05-11
  • 上网日期:2024-05-16
  • 刊出日期:2024-07-05

    返回文章
    返回