\begin{document}$ {\text{O}}_2^ + $\end{document}, O, O2\begin{document}$ {{{\mathrm{O}}} _2}\left( {{{\mathrm{a}}^1}{\Delta _{\mathrm{g}}}} \right) $\end{document}的密度变化趋势相反, 各粒子的空间分布特点也有明显差异. 在不同腔室中, 电子在腔室中心区域的分布是均匀的; O和\begin{document}$ {{{\mathrm{O}}} _2}\left( {{{\mathrm{a}}^1}{\Delta _{\mathrm{g}}}} \right) $\end{document}的密度最大值位于腔室中心, 并沿径向逐渐降低; 而Ar+和Arm的密度峰值出现在线圈下方; O+, \begin{document}$ {\text{O}}_2^ + $\end{document}和O(1D)的密度最大值却随着腔室的变化从线圈下方逐渐向腔室中心方向移动; O离子则被局域在线圈和极板之间一个非常小的区域. 最后, 讨论了表面反应O → 1/2O2的黏附系数对O和O2的影响, 发现随着黏附系数的增大, O密度逐渐降低, O2密度变化趋势相反, 而且当黏附系数增大到0.5以上时, 二者的密度几乎不再受黏附系数的影响."> - 必威体育下载

搜索

x

留言板

姓名
邮箱
手机号码
标题
留言内容
验证码

downloadPDF
引用本文:
Citation:

    张雨涵, 赵欣茜, 梁英爽, 郭媛媛

    Numerical simulation of inductively coupled Ar/O2plasma

    Zhang Yu-Han, Zhao Xin-Qian, Liang Ying-Shuang, Guo Yuan-Yuan
    PDF
    HTML
    导出引用
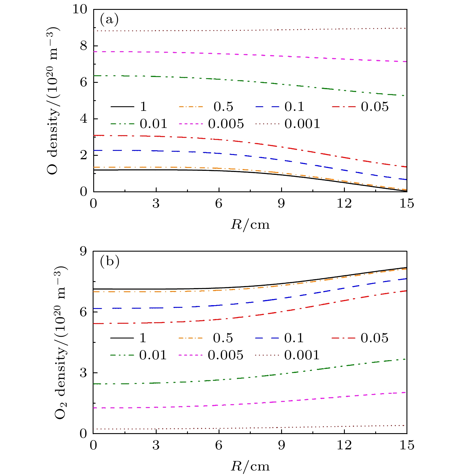
    • 本文采用流体力学模型对不同腔室材质下的感性耦合Ar/O 2等离子体放电特性进行研究. 结果表明, 由于中性粒子在不同材质表面的黏附系数不同, 因而腔室材质对各活性粒子的密度和空间分布产生了显著的影响. 依次采用不锈钢、阳极Al 2O 3和Cu腔室进行放电, 发现电子、O +、Ar +、O、O( 1D)和Ar m的密度逐渐增大, $ {\text{O}}_2^ + $ , O , O 2 $ {{{\mathrm{O}}} _2}\left( {{{\mathrm{a}}^1}{\Delta _{\mathrm{g}}}} \right) $ 的密度变化趋势相反, 各粒子的空间分布特点也有明显差异. 在不同腔室中, 电子在腔室中心区域的分布是均匀的; O和 $ {{{\mathrm{O}}} _2}\left( {{{\mathrm{a}}^1}{\Delta _{\mathrm{g}}}} \right) $ 的密度最大值位于腔室中心, 并沿径向逐渐降低; 而Ar +和Ar m的密度峰值出现在线圈下方; O +, $ {\text{O}}_2^ + $ 和O( 1D)的密度最大值却随着腔室的变化从线圈下方逐渐向腔室中心方向移动; O 离子则被局域在线圈和极板之间一个非常小的区域. 最后, 讨论了表面反应O → 1/2O 2的黏附系数对O和O 2的影响, 发现随着黏附系数的增大, O密度逐渐降低, O 2密度变化趋势相反, 而且当黏附系数增大到0.5以上时, 二者的密度几乎不再受黏附系数的影响.
      In the inductively coupled plasma (ICP) discharge, surface processes, such as reflection, de-excitation, and recombination, can occur when active species arrive at material surfaces, which accordingly influences the plasma properties. In this work, a fluid model is used to study the Ar/O 2plasma generated by ICP reactors made of different materials. In simulation, sticking coefficient is employed to estimate the surface reactions on different materials. As the reactor material changes from stainless steel to anodized aluminum to Cu, the sticking coefficient of surface reaction O→1/2O 2decreases accordingly. It is found that the reactor material has a great effect on species density. In the stainless steel reactor, the density of O atoms at grounded state and excited state are much lower because more O 2molecules are generated from the surface reaction, yielding a much higher density of $ {\text{O}}_2^ + $ molecular ions which are mainly created from the ionization process of O 2molecules. Similarly, the high density of O 2molecules also enhances the production of ${{{\mathrm{O}}} _2}\left( {{{\mathrm{a}}^1}{\Delta _{\mathrm{g}}}} \right)$ molecules through the excitation process and O ions through the dissociation attachment reaction. On the contrary, more electrons are consumed via the collisions between electrons and O 2molecules or $ {\text{O}}_2^ + $ molecular ions. Therefore, the electron density obtained in the Cu reactor is highest. The density of Ar +ions and Ar matoms also increase with sticking coefficient decreasing. The density of O +ions and $ {\text{O}}_2^ + $ molecular ions peak below the coil in the stainless steel reactor, whereas the radial uniformities are improved in the Cu reactor. In the three reactors, the electrons distribute evenly at the reactor center region. The O density and ${{{\mathrm{O}}} _2}\left( {{{\mathrm{a}}^1}{\Delta _{\mathrm{g}}}} \right)$ density significantly peak at the reactor center, while the maximum value of Ar +density and Ar mdensity are below the coil. As for O( 1D), the maximum density below the coil region moves toward the reactor center as the reactor material changes from stainless steel to Cu. Finally, the effect of sticking coefficient of O→1/2O 2is studied. The results show that the O atom density decreases with the sticking coefficient increasing, but the opposite trend is observed in O 2molecular density. It is noticed that the sticking coefficient has little effect on species density when it is higher than 0.5.
          通信作者:梁英爽,ysliang@ustl.edu.cn
        • 基金项目:国家自然科学基金青年科学基金(批准号: 11805089)、辽宁省教育厅基本科研项目(批准号: LJKMZ20220657)和辽宁科技大学大学生创新创业训练计划资助的课题.
          Corresponding author:Liang Ying-Shuang,ysliang@ustl.edu.cn
        • Funds:Project supported by the Young Scientists Fund of the National Natural Science Foundation of China (Grant No. 11805089), the Fundamental Research of the Education Department of Liaoning Province, China (Grant No. LJKMZ20220657), and the College Students’ Innovative Entrepreneurial Training Plan Program of University of Science and Technology Liaoning, China.
        [1]

        [2]

        [3]

        [4]

        [5]

        [6]

        [7]

        [8]

        [9]

        [10]

        [11]

        [12]

        [13]

        [14]

        [15]

        [16]

        [17]

        [18]

        [19]

        [20]

        [21]

        [22]

        [23]

        [24]

        [25]

        [26]

        [27]

        [28]

        [29]

        [30]

        [31]

        [32]

        [33]

        [34]

        [35]

        [36]

        [37]

        [38]

        [39]

        [40]

        [41]

        [42]

        [43]

        [44]

        [45]

        [46]

      • 序号 表面反应 黏附系数
        不锈钢 阳极Al2O3 Cu
        S1 Arr→ Ar 1.0
        S2 Arm→ Ar 1.0
        S3 Ar(4p) → Ar 1.0
        S4 O → 1/2O2 0.156 0.06 0.015
        S5 O(D) → 1/2O2
        S6 O2(a) → O2 0.007 0.007 0.014
        S7 O2(b) → O2 0.1
        下载: 导出CSV

        腔室材料 电子沉积功率密度/(W·m–3)
        R Z 角向
        不锈钢 3.01×104 1.95×105 6.14×105
        阳极Al2O3 3.33×104 2.06×105 6.12×105
        Cu 4.86×104 2.52×105 6.15×105
        下载: 导出CSV
      • [1]

        [2]

        [3]

        [4]

        [5]

        [6]

        [7]

        [8]

        [9]

        [10]

        [11]

        [12]

        [13]

        [14]

        [15]

        [16]

        [17]

        [18]

        [19]

        [20]

        [21]

        [22]

        [23]

        [24]

        [25]

        [26]

        [27]

        [28]

        [29]

        [30]

        [31]

        [32]

        [33]

        [34]

        [35]

        [36]

        [37]

        [38]

        [39]

        [40]

        [41]

        [42]

        [43]

        [44]

        [45]

        [46]

      计量
      • 文章访问数:1161
      • PDF下载量:46
      • 被引次数:0
      出版历程
      • 收稿日期:2024-03-26
      • 修回日期:2024-04-30
      • 上网日期:2024-05-25
      • 刊出日期:2024-07-05

        返回文章
        返回