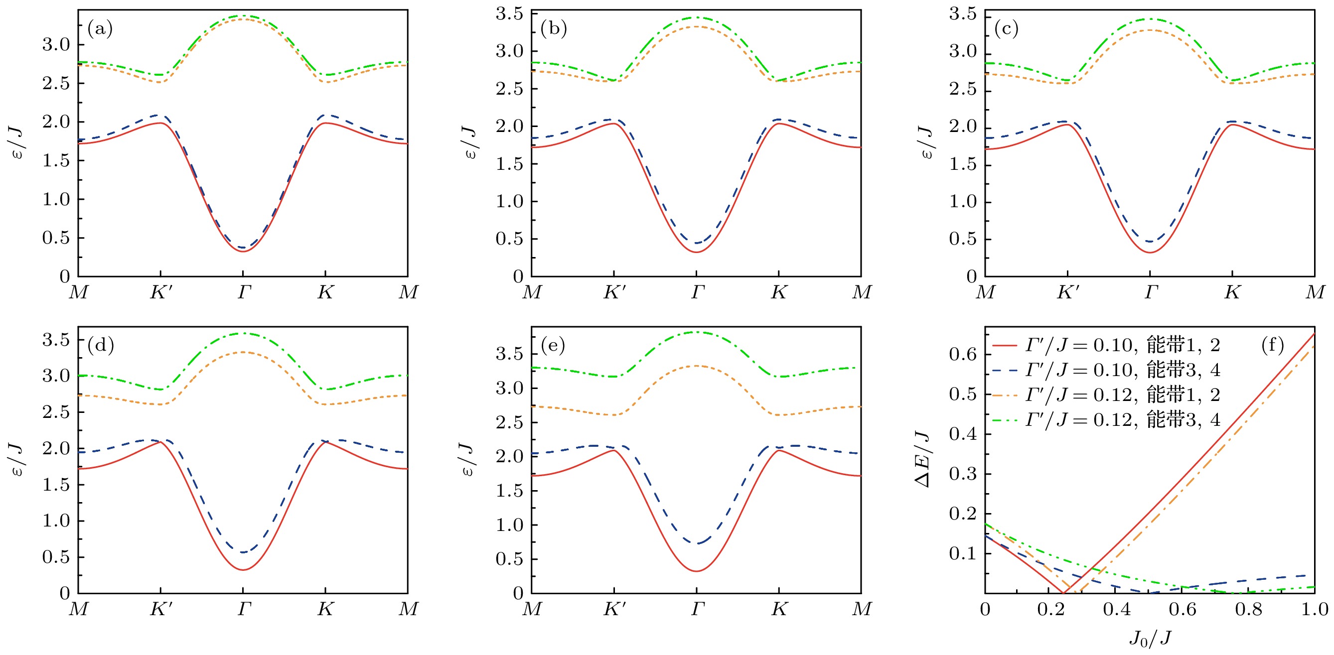
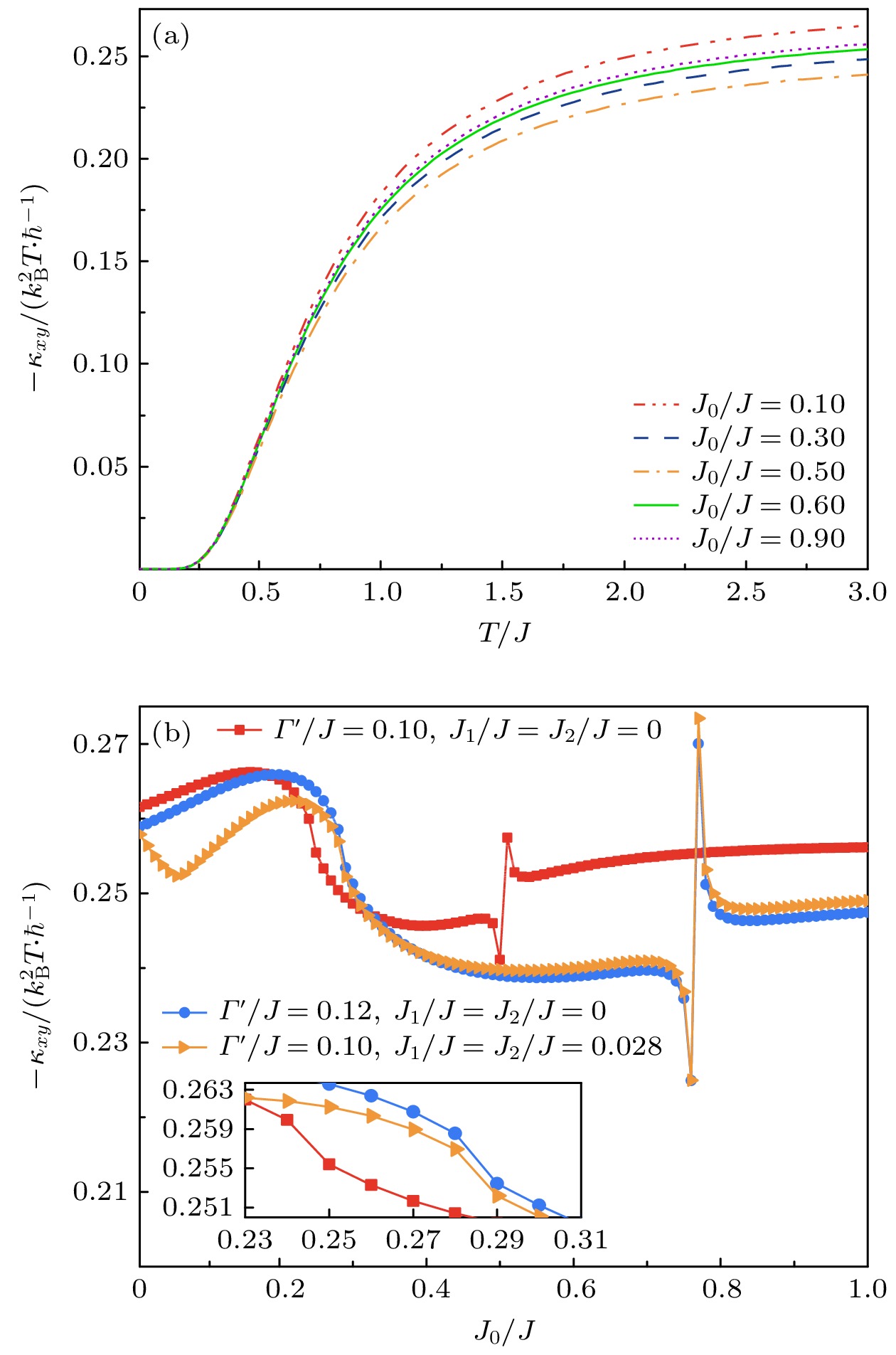
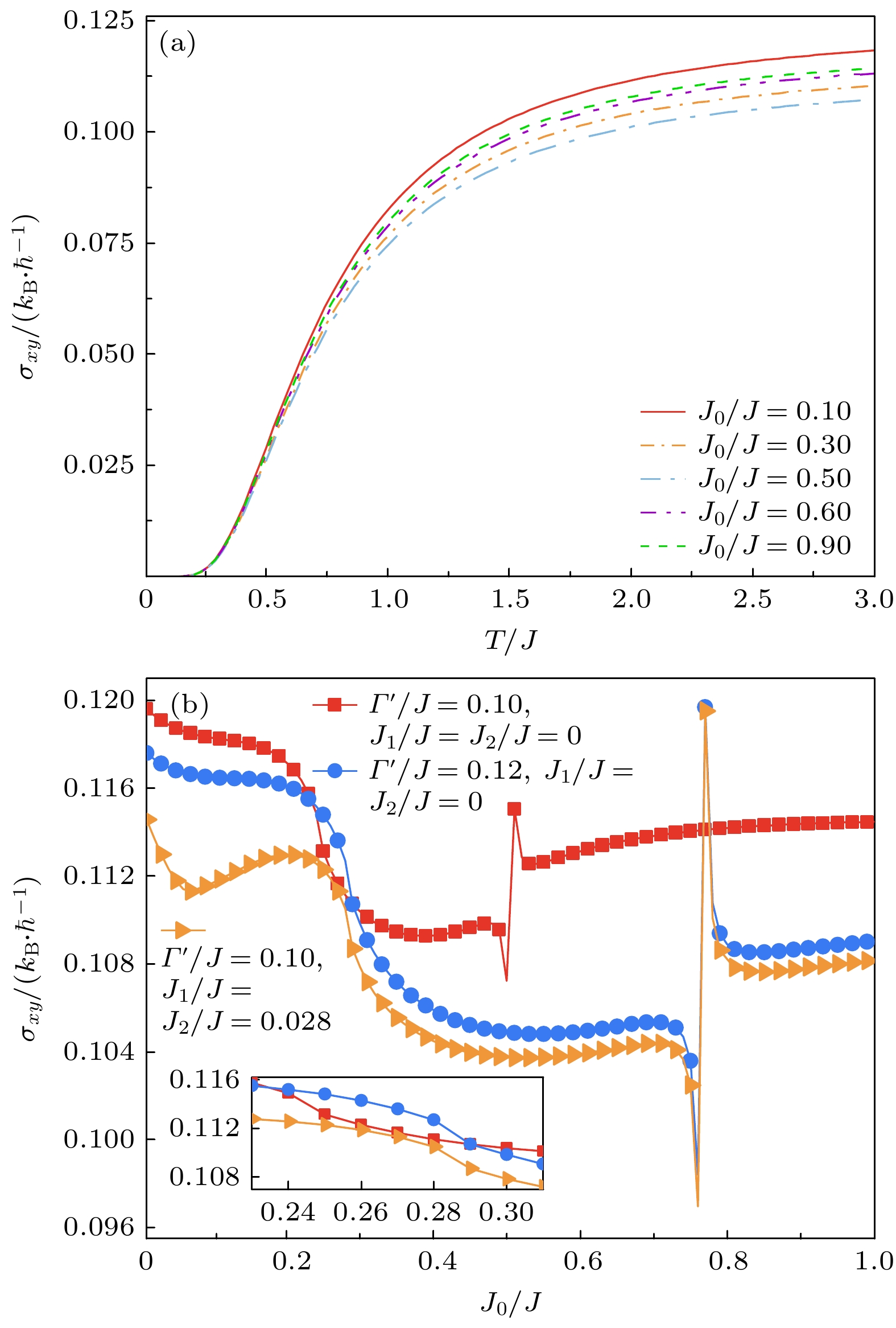
Layered magnetic topological materials are material systems that exhibit both magnetic ordering and topological properties in their smallest two-dimensional units. Studying these systems may lead to the observation of new physical properties and phenomena, which has attracted considerable attention from researchers. The effect of interlayer exchange coupling interactions on bilayer honeycomb Heisenberg ferromagnets with interlayer coupled topological phase is investigated by using linear spin wave theory. The influence of introducing two additional types of interactions, i.e. interlayer exchange coupling interaction and interlayer easy-axis anisotropy interaction, on the topological phase transition are also explored in this work. By calculating the magnon dispersion relations at various interlayer exchange coupling interaction intensities, it is found that the band gaps of high energy band and low energy band both close and reopen at the Dirac points when the system reaches the critical value of interlayer exchange coupling interaction. In magnon systems, such physical phenomena typically relate to topological phase transitions. When calculating the Berry curvature and Chern numbers for the bands in the aforementioned process, it is found that the sign of the Berry curvature reverses and the Chern numbers change when the critical value of interlayer exchange coupling interaction strength is reached, confirming that a topological phase transition occurs indeed. Introducing two other types of interlayer exchange coupling interactions in this process can lead various novel topological phases to occur in the system. The enhancement of interlayer easy-axis anisotropy interactions is likely to impede the topological phase transitions occurring in the system. We find that a major distinction between bilayer honeycomb ferromagnets and their single-layer counterparts lies in the fact that during a topological phase transition, the sign of the magnon thermal Hall coefficient does not change; on the contrary, abrupt shift in the thermal Hall coefficient curve occurs which can be seen as an indicator of topological phase transition of bilayer honeycomb ferromagnets, and is also reflected in the change in magnon Nernst coefficient. The research results of this work can provide theoretical support for developing novel spintronic devices with enhanced information transmission capabilities by using bilayer honeycomb ferromagnetic materials, and can also provide theoretical reference for studing other bilayer ferromagnetic systems.