-
基于有效拉氏量方法, 本文研究了自旋宇称为
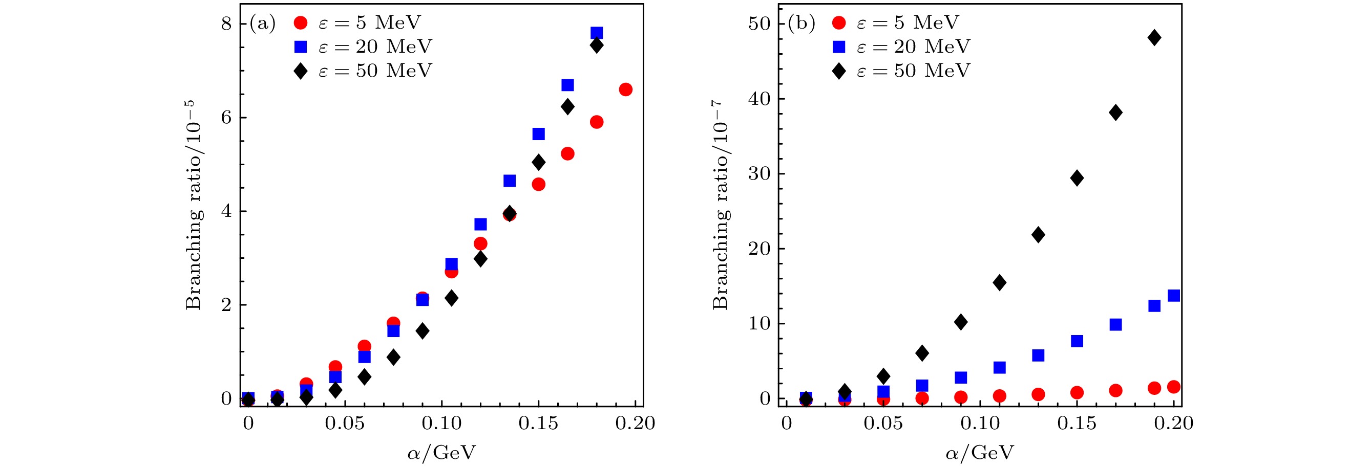
$J^P={{1}/{2}}^{-}$ 的单粲味五夸克态的产生. 本文根据强子可能的分子态图像, 分别以$ND_{\mathrm{s}}$ 或$ND^*_{\mathrm{s}}$ 不同的分子态构型, 讨论了$B_{\mathrm{s}}$ 介子产生单粲味五夸克态${c\bar suud}$ 和十重态重子$\bar \varDelta$ , 以及该五夸克态的两体强衰变过程. 通过复合粒子判据, 计算出与单粲味五夸克态${c\bar suud}$ 相关的强耦合常数. 借助于强子的有效拉氏量方法, 最终得到了单粲味五夸克态的产生分支比. 结果表明, 在单粲味五夸克态${c\bar suud}$ 为$ND_{\mathrm{s}}$ 的构型下, 具有Cabibbo允许的产生过程:$\bar B_{\mathrm{s}} \rightarrow P_{{\mathrm{c }}\bar{{\mathrm{s}}}} \bar \varDelta$ 的分支比可以达到$10^{-5}$ 量级, 而在$ND^*_{\mathrm{s}}$ 的构型下, 该过程的分支比仅为$10^{-8}$ 量级. 本文的研究结果可以为单粲味五夸克态的实验搜寻和深入研究提供参考, 并期望在将来的实验探测诸如LHCb, Belle II, BaBar等 B工厂中得到验证.In this work, the authors use the effective Lagrangian method to investigate the production of singly charm pentaquark state with spin parity $J ^ P={1/2}^{-} $ . Based on the possible molecular state images of hadrons, the author discusses the production of singly charm pentaquark state${c\bar suud}$ and decuplet baryon$\bar \varDelta$ by$B_{\mathrm{s}}$ meson with different molecular state configurations of$ND_{\mathrm{s}} $ or$ND ^ * _{\mathrm{s}} $ . To determine the coupling between pentaquark and their constituents in the molecular scheme, the authors follow the Weinberg compositeness condition to estimate the self-energy diagram of the singly charmed pentaquark. Further study on the production of pentaquark from$B_{\mathrm{s}}$ meson can be propeled by computing the transition matrix elements, or the triangle diagrams, which can be careful divided into two part subprocess, one associated with weak transition can be represented into form factor and decay constant, another one related to strong coupling of hadrons can be described by effective Lagrangian. Selecting the scale parameter α(10–200 MeV) and binding energy ε(5, 20, 50 MeV), the authors can find the branching ratio of the production$\bar B_{\mathrm{s}} \to P_ {{\mathrm{c}}\bar {{\mathrm{s}}}}\bar \varDelta $ . Under the configuration of$ND_{\mathrm{s}}$ molecule, the branching ratio of the Cabibbo allowed process$\bar B_{\mathrm{s}} \rightarrow P_{{{\mathrm{c}} \bar{{\mathrm{s}}}}} \bar \varDelta$ can reach to order of$10^{-5}$ . Moreover, the production branching ratio of$ND^*_{\mathrm{s}}$ molecule is only at the order of$10^{-8}$ .A increasing scale parameter αcan significantly improve the production branching ratio of the singly charm pentaquark. In addition, the binding energy and the coupling constants will also affect the magnitude of production. Therefore, considering the above factors, the production branching ratio of singly charm pentaquark in $B_{\mathrm{s}}$ decays have considerable results, which is worth experimental and theoretical research in the future. The findings of our work can provide a reference for the experimental search and study of singly charm pentaquark, and it is hoped that they will be verified in future experimental detections at Bfactories such as LHCb, Belle, and BaBar.[1] [2] [3] [4] [5] [6] [7] [8] [9] [10] [11] [12] [13] [14] [15] [16] [17] [18] [19] [20] [21] [22] [23] [24] [25] [26] [27] [28] [29] [30] [31] [32] [33] [34] [35] [36] [37] [38] [39] [40] [41] -
参数 $ {\bar B_{\mathrm{s}}\to D} $ $ {\bar B_{\mathrm{s}}\to D^*} $ $ F_1(k_1) $ $ F_2(k_1) $ $ A_{0}(k_1) $ $ A_{1}(k_1) $ $ A_{2}(k_1) $ $ A_{3}(k_1) $ $ a_{0} $ $ 0.666 $ $ 0.666 $ $ 0.100 $ $ 0.105 $ $ 0.055 $ $ 0.059 $ $ a_{1} $ $ -0.206 $ $ -3.236 $ $ -0.180 $ $ -0.430 $ $ -0.010 $ $ -0.110 $ $ a_{2} $ $ -0.106 $ $ -0.075 $ $ -0.006 $ $ -0.100 $ $ -0.030 $ $ -0.250 $ $ a_{3} $ $ 0.00 $ $ -0.00 $ $ 0.00 $ $ -0.030 $ $ 0.060 $ $ -0.050 $ $ m_{{\mathrm{pole}}} $/GeV $ — $ $ — $ $ 6.335 $ $ 6.275 $ $ 6.745 $ $ 6.745 $ 分子态 产生道 分支比($ \times 10^{-6} $) $ \varepsilon $/MeV 5 20 50 $ ND_{\mathrm{s}} $ $ \bar B_{\mathrm{s}} \xrightarrow[]{N} P_{{\mathrm{c}} \bar{{\mathrm{s}}}} \bar \varDelta $ 29.40 31.37 24.51 $ \bar B_{\mathrm{s}}\xrightarrow[]{N} P_{{\mathrm{c}} \bar{{\mathrm{s}}}}(\to \varLambda_{\mathrm{c}} K) \bar \varDelta $ 0.223 0.194 0.137 $ ND^*_{\mathrm{s}} $ $ \bar B_{\mathrm{s}}\xrightarrow[]{N} P_{{\mathrm{c}} \bar{{\mathrm{s}}}} \bar \varDelta $ 0.055 0.408 1.570 $ \bar B_{\mathrm{s}}\xrightarrow[]{N} P_{{\mathrm{c}} \bar{{\mathrm{s}}}}(\to \varLambda_{\mathrm{c}} K) \bar \varDelta $ 0.0006 0.0041 0.0157 $ \bar B_{\mathrm{s}}\xrightarrow[]{N} P_{{\mathrm{c}} \bar{{\mathrm{s}}}}(\to \Sigma_{\mathrm{c}} K) \bar \varDelta $ 0.0004 0.0024 0.0072 $ \bar B_{\mathrm{s}}\xrightarrow[]{N} P_{{\mathrm{c}} \bar{{\mathrm{s}}}}(\to p D_{\mathrm{s}}) \bar \varDelta $ 0.0002 0.0015 0.0050 -
[1] [2] [3] [4] [5] [6] [7] [8] [9] [10] [11] [12] [13] [14] [15] [16] [17] [18] [19] [20] [21] [22] [23] [24] [25] [26] [27] [28] [29] [30] [31] [32] [33] [34] [35] [36] [37] [38] [39] [40] [41]
计量
- 文章访问数:730
- PDF下载量:23
- 被引次数:0













下载:


