Monolayer transition metal dichalcogenides (TMDCs) exhibit exceptional properties including atomic-scale thickness, direct bandgap, and strong spin-orbit coupling, which make them have great potential applications in spintronics, optoelectronics, and other fields. Usually, materials contain various structural defects, which are either formed during preparation and growth or induced by subsequent treatments. These defects can significantly change their physicochemical properties. Consequently, controlling and comprehending defects is an important approach to adjusting the properties of these materials.
Herein, we use Ar
+plasma to bombard monolayer WS
2,which is exfoliated mechanically, thereby introducing defects whose density is controlled by changing the bombardment duration. The photoluminescence (PL) and Raman spectroscopic measurements at different temperatures and power values are utilized to investigate the optical properties of the defects. Furthermore, time-resolved photoluminescence is employed to unveil the dynamic behaviors of free and trapped excitons.
The bombardment can introduce different types of defects into typical two-dimensional (2D) TMDCs such as MoS
2and WS
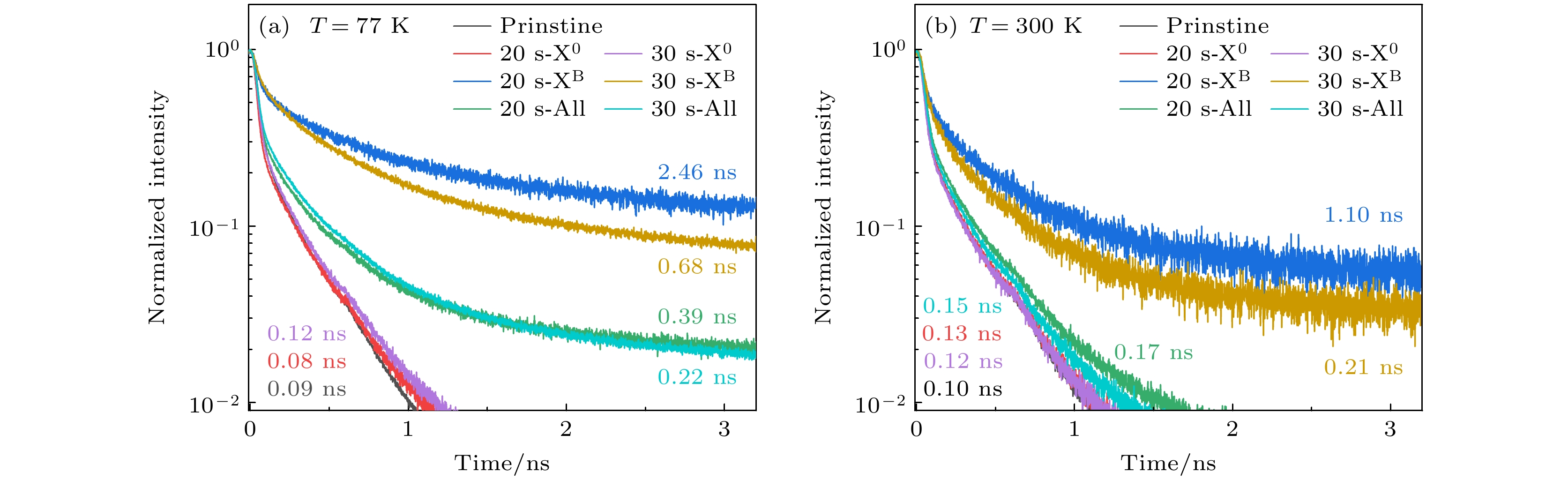
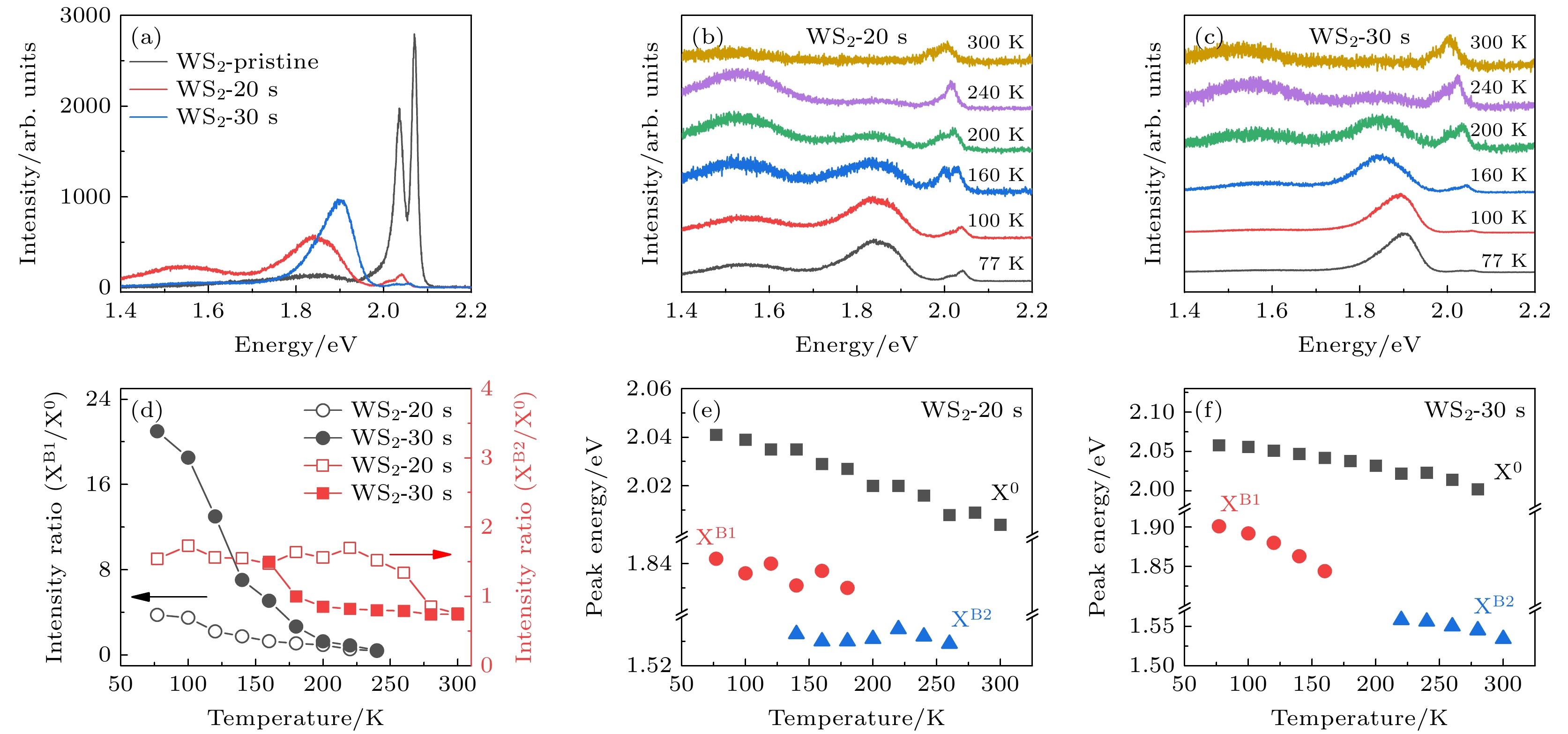
2. Single sulfur vacancies are frequently generated, while other defects like double sulfur vacancies or metal atom vacancies can also occur. Exciton effects dominate the optical properties of monolayer TMDCs due to reduced screening and large effective mass. At low temperatures, bound exciton emissions arise from trapped states. Our measurements reveal two types of defect-bound excitons from the PL spectra at around 1.85 eV (X
B1) and 1.55 eV (X
B2). Meanwhile, the Raman peaks of the samples before and after treatment exhibit no obvious changes, indicating that the lattice structure remaines unchanged. After the Ar
+bombardment, the intensity of the free neutral exciton significantly decreases to 1/6 of untreated WS
2, owing to the free exciton population and the increased non-radiative centers. The dynamic processes of these two bound excitons are considerably slower than the neutral exciton’s, showing the typical dynamic behavior of defect-bound excitons. Furthermore, comparison between the PL under vacuum condition and the PL under atmospheric condition shows that the intensities of the two bound excitons exhibit opposing behaviors. In an atmospheric environment, neutral excitons and bound exciton X
B1possess higher intensities. In the vacuum, the strength of neutral exciton and X
B1decrease quickly, while the intensity of deep-level bound exciton X
B2increases.
In summary, we observe two bound exciton states arising from specific vacancy states in monolayer WS
2after Ar
+bombardment. Their energy values are 200 meV and 500 meV lower than those of the neutral exciton, with a splitting energy value being about 300 meV. The detailed evolution of the relative spectral weight with temperature and excitation power are presented. This work provides insights into the generation, control, and characteristic spectra of defects in 2D materials.