-
电子回旋辐射成像(ECEI)系统可以对托卡马克等离子体芯部极向方向上二维的电子温度剖面的相对扰动进行高时空分辨率的测量. 对ECEI系统进行绝对标定之后, 可以提供二维绝对电子温度剖面及其扰动, 为芯部不稳定性的研究提供实验数据支持. 本文通过衡量锯齿崩塌前后的温度变化来确定锯齿反转面空间位置, 并基于反转面拟合芯部的磁面位置及形状. 根据等离子体平衡时同一磁面对映同一温度的假设, 对ECEI所有通道进行标定, 结果表明ECEI与一维电子回旋辐射仪(ECE)在测量同一位置的等离子体温度时, 其不同时间信号的平均值的相对误差为6%, 并可以有效用于锯齿不稳定性的研究.
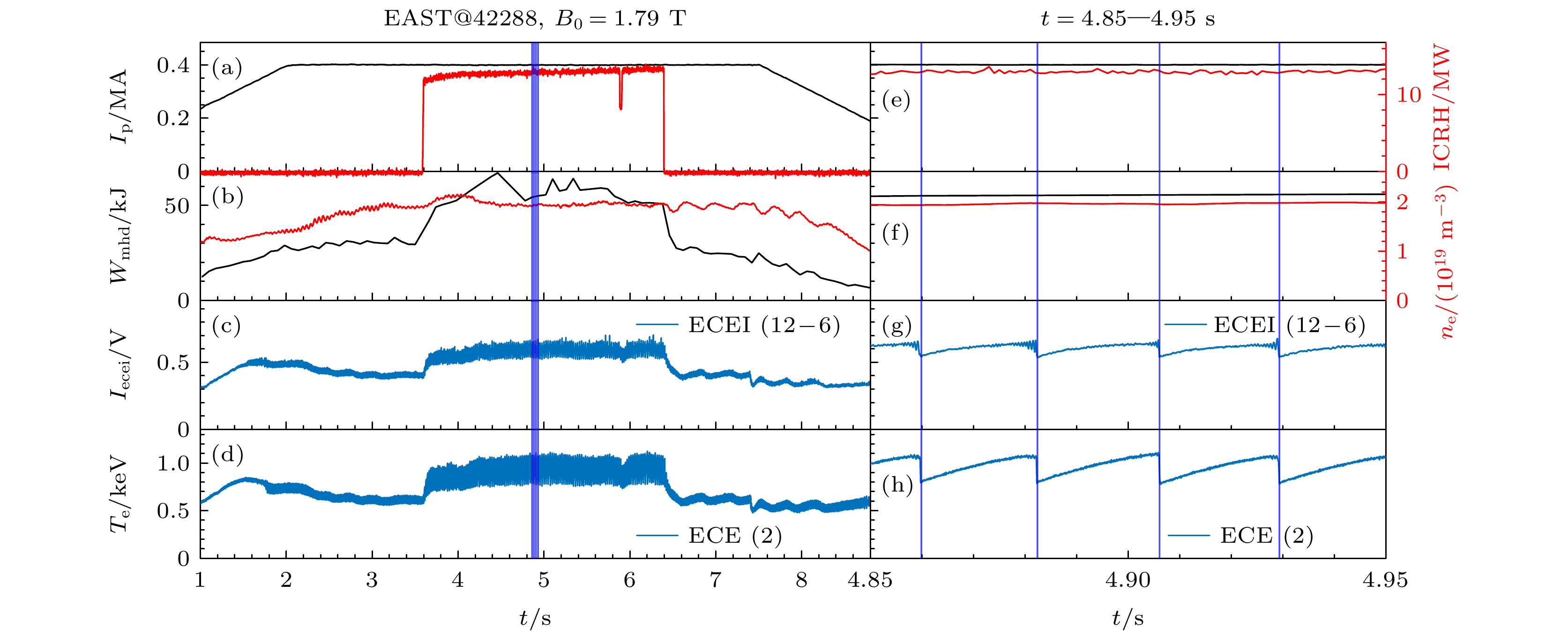
Electron cyclotron emission imaging (ECEI) system can provide the poloidal two-dimensional (2D) relative electron temperature perturbation profile of the core plasma with high spatial and temporal resolution. After absolute calibration of ECEI system, 2D absolute electron temperature profile and its perturbation can be provided. It can provide experimental data support for studying the local heat transport and the evolution of magnetic surface of macro magneto-hydro-dynamics instability. However, due to a large number of measurement channels and the wide measuring area of ECEI diagnostic system, the absolute calibration method in which a blackbody radiation source is used as a standard source, still has technical difficulties. This paper provides an absolute calibration method of ECEI diagnostic system on EAST tokamak, which can cover all the channels of ECEI system. Firstly, the sawtooth inversion surface can be determined by measuring the relative electron temperature change before and after the collapse of the sawtooth. The magnetic surface position and the shape ( ${S_{{\text{inv}}}}$ ) of the ECEI measuring area are fitted based on the position and shape of the inversion surface. Then, the one-to-one mapping relationship between laboratory coordinates of each ECEI channel and magnetic surface is obtained. Secondly, according to the assumption that the electron temperature is the same on each magnetic surface in equilibrium, the electron temperature of each magnetic surface is fitted by the electron cyclotron emission (ECE) system result, while the ECE system is absolutely calibrated. The calibration coefficient k( i, j) of each ECEI channel is obtained by comparing with the signal amplitude and the electron temperature on the magnetic surface. The relative error of absolute electron temperature between ECEI and ECE is no more than 6% at the same location.Based on the absolute electron temperature profile provided by ECEI, the motion of the magnetic axis during sawtooth instability can be tracked. It is found that the radial displacement of the magnetic axis occurs followed by the poloidal displacement during sawtooth collapse. This result indicates that after absolute calibration, the ECEI system can provide more abundant information about experimental research. [1] [2] [3] [4] [5] [6] [7] [8] [9] [10] [11] [12] [13] [14] [15] [16] [17] [18] [19] [20] [21] [22] [23] -
[1] [2] [3] [4] [5] [6] [7] [8] [9] [10] [11] [12] [13] [14] [15] [16] [17] [18] [19] [20] [21] [22] [23]
计量
- 文章访问数:1242
- PDF下载量:38
- 被引次数:0













下载:







