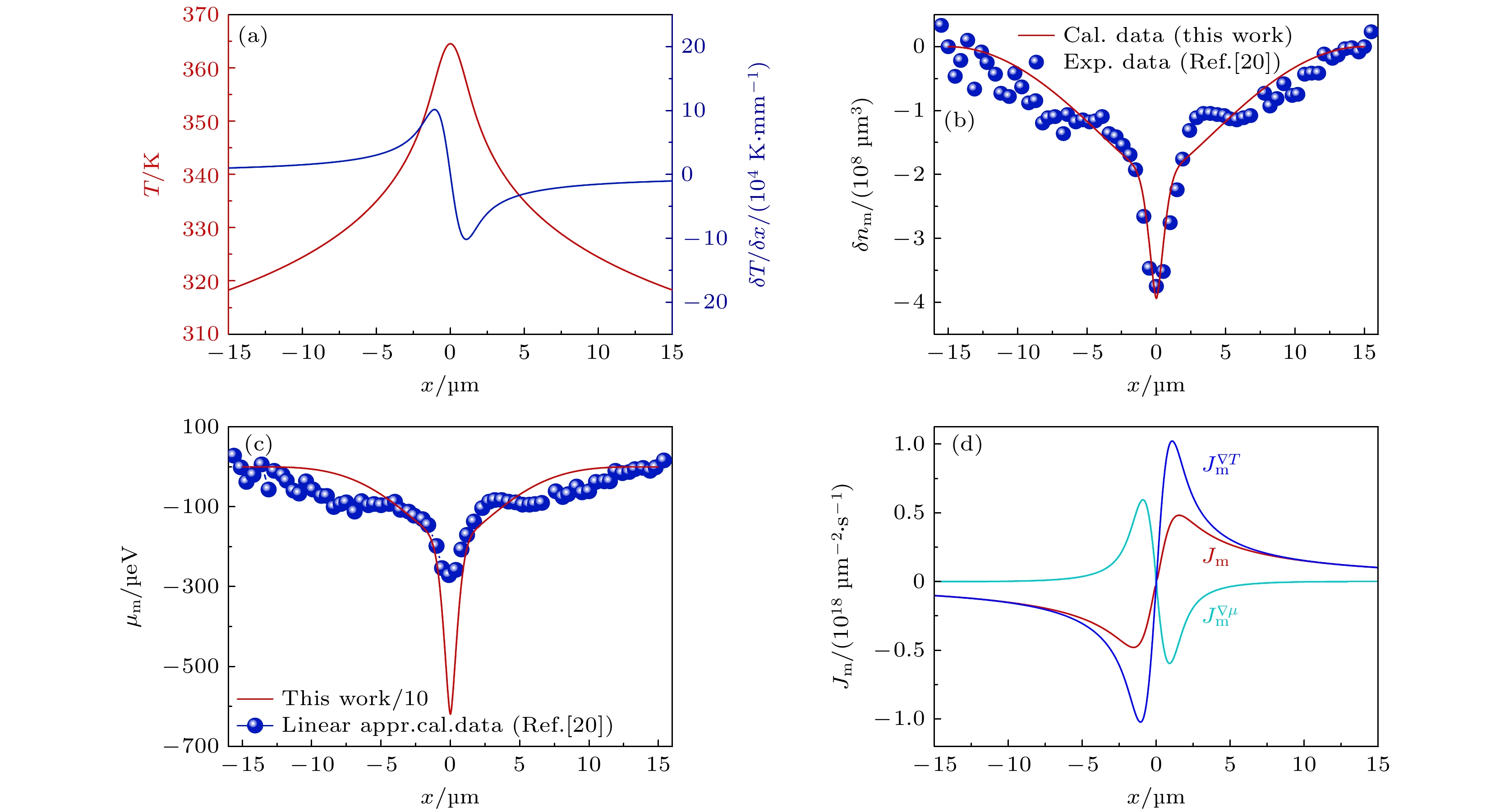
\begin{document}$ {\mu }_{{\mathrm{m}}} $\end{document}的玻色-爱因斯坦统计函数引入到玻尔兹曼输运方程中, 获得了以\begin{document}$ \alpha $\end{document}为幂次的输运方程严格解析表达式(当α(\begin{document}$ =-{\mu }_{{\mathrm{m}}}/\left({k}_{{\mathrm{B}}}T\right) $\end{document})<1时). 结果显示, 当α\begin{document}$\ll1 $\end{document}时, 我们得到了与以往研究不同的化学势\begin{document}$ {\mu }_{{\mathrm{m}}} $\end{document}与非平衡粒子浓度\begin{document}$ \delta {n}_{{\mathrm{m}}} $\end{document}之间的非线性关系\begin{document}$ \delta {n}_{{\mathrm{m}}}\propto -{\alpha }^{1/2}\propto -{(-{\mu }_{{\mathrm{m}}})}^{1/2} $\end{document}; \begin{document}$ \alpha $\end{document}较大时, 则还须考虑其高阶项. 正因这种非线性关系, 导致磁振子扩散方程显著不同于电子自旋扩散特性, 其由线性微分方程演变为更复杂的非线性微分方程. 本文重点研究了在两种极端温度梯度(即\begin{document}$ \nabla T \sim 1\;{\mathrm{K}}/{\mathrm{m}}{\mathrm{m}} $\end{document}\begin{document}$ {10}^{4}\;{\mathrm{K}}/{\mathrm{m}}{\mathrm{m}} $\end{document})下非平衡磁振子浓度\begin{document}$ \delta {n}_{{\mathrm{m}}} $\end{document}和化学势\begin{document}$ {\mu }_{{\mathrm{m}}} $\end{document}的空间分布, 它们分别对应于\begin{document}$ {\mu }_{{\mathrm{m}}} $\end{document}的值约为\begin{document}$ -0.1\;{\text{μ}}{\mathrm{e}}{\mathrm{V}} $\end{document}\begin{document}$ -6.2\;{\mathrm{m}}{\mathrm{e}}{\mathrm{V}} $\end{document}, 均满足前提条件α < 1. 在远离平衡态的大温度梯度分布下, 本文理论计算与实验结果吻合很好. 这些理论研究结果将加深人们对铁磁绝缘体中磁振子非平衡输运行为的认识."> - 必威体育下载

搜索

x

留言板

姓名
邮箱
手机号码
标题
留言内容
验证码

downloadPDF
引用本文:
Citation:

    杨栋超, 易立志, 丁林杰, 刘敏, 朱丽娅, 许云丽, 何雄, 沈顺清, 潘礼庆, JohnQ. Xiao

    Nonequilibrium steady-state transport properties of magnons in ferromagnetic insulators

    Yang Dong-Chao, Yi Li-Zhi, Ding Lin-Jie, Liu Min, Zhu Li-Ya, Xu Yun-Li, He Xiong, Shen Shun-Qing, Pan Li-Qing, John Q. Xiao
    PDF
    HTML
    导出引用
    计量
    • 文章访问数:596
    • PDF下载量:35
    • 被引次数:0
    出版历程
    • 收稿日期:2024-04-11
    • 修回日期:2024-05-17
    • 上网日期:2024-05-30
    • 刊出日期:2024-07-20

      返回文章
      返回