搜索

x

留言板

姓名
邮箱
手机号码
标题
留言内容
验证码

downloadPDF
引用本文:
Citation:

    张杰, 陈爱喜, 彭泽安

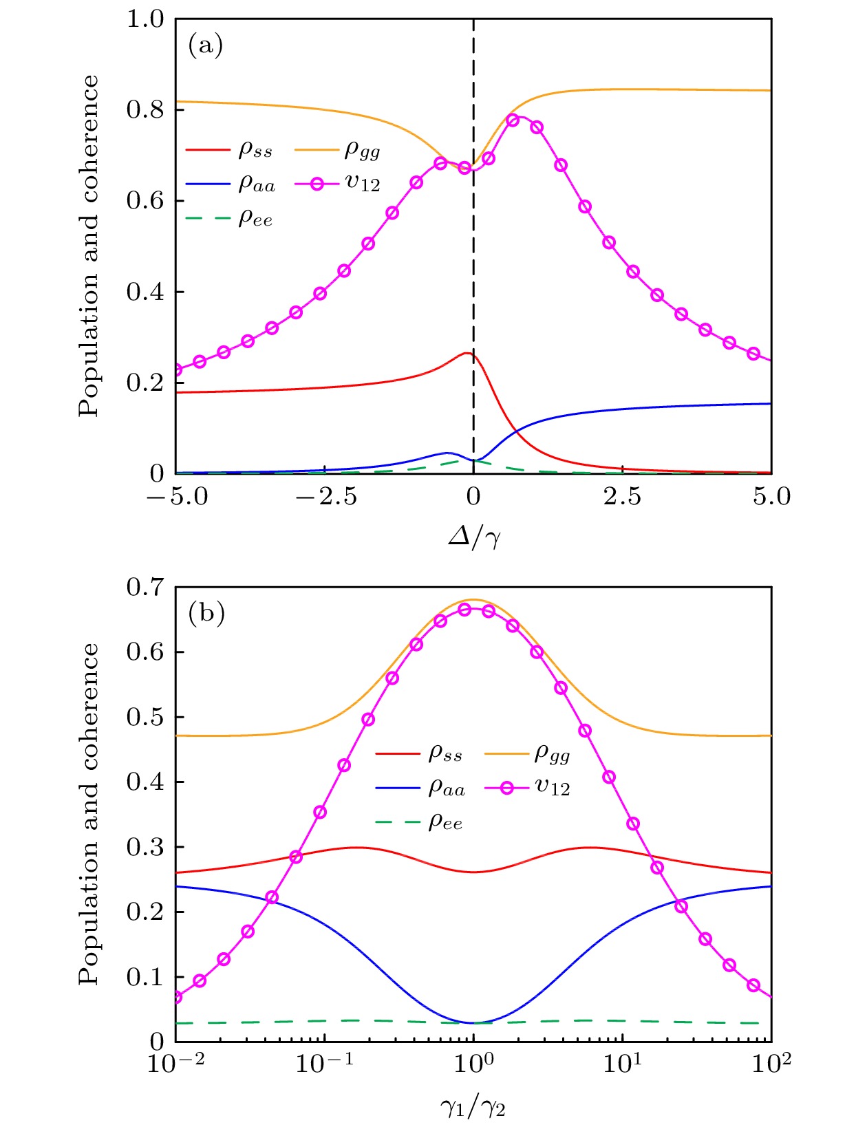
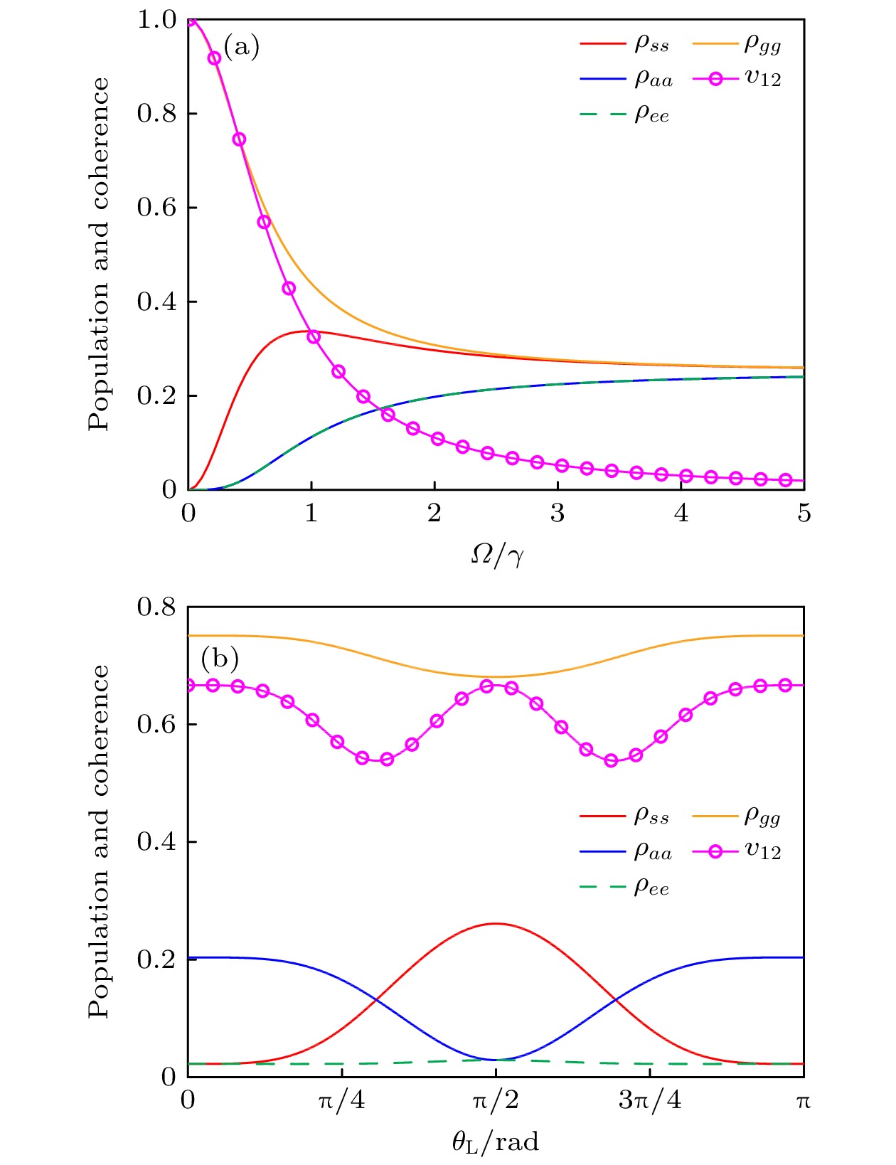
    Spatially oriented correlated emission based on selective drive of diatomic superradiance states

    Zhang Jie, Chen Ai-Xi, Peng Ze-An
    PDF
    HTML
    导出引用
    计量
    • 文章访问数:479
    • PDF下载量:30
    • 被引次数:0
    出版历程
    • 收稿日期:2024-04-14
    • 修回日期:2024-05-19
    • 上网日期:2024-06-05
    • 刊出日期:2024-07-20

      返回文章
      返回