Transition metal dichalcogenides (TMDs) is an important member of two-dimensional material family, which has various crystal structures and physical properties, thus providing a broad platform for scientific research and device applications. The diversity of TMD's properties arises not only from their relatively large family but also from the variety of their crystal structure phases. The most common structure of TMD is the trigonal prismatic phase (
Hphase) and the octahedral phase (
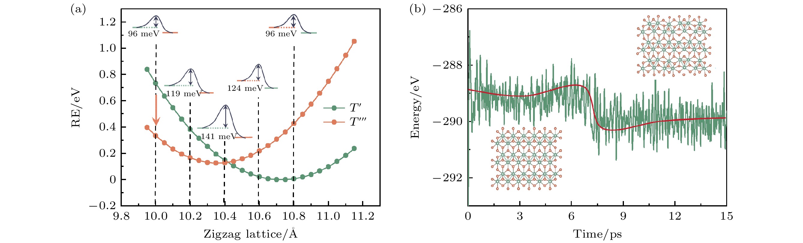
Tphase). Studies have shown that, in addition to these two high-symmetry phases, TMD has other distorted phases. Distorted phase often exhibits different physical properties from symmetric phases and can perform better in certain systems. Because the structural differences between different distorted phases are sometimes very small, it is experimentally challenging to observe multiple distorted phases coexisting. Therefore, it is meaningful to theoretically investigate the structural stability and physical properties of different distorted phases. In this study, we investigate the structure and phase transition of monolayer RuSe
2through first-principles calculation. While confirming that its ground state is a the dimerized phase (
$T^\prime$
phase), we find the presence of another energetically competitive trimerized phase (
$T^{\prime\prime\prime}$
phase). By comparing the energy values of four different structures and combining the results of phonon spectra and molecular dynamics simulations, we predict the stability of the
$T^{\prime\prime\prime}$
phase at room temperature. Because the
Hphase and
Tphase of two-dimensional RuSe
2have already been observed experimentally, and considering the fact that
$T^{\prime\prime\prime}$
phase has much lower energy than the
Hand
Tphases, it is highly likely that the
$T^{\prime\prime\prime}$
phase exists in experiment. Combining the calculations of the phase transition barrier and the molecular dynamics simulations, we anticipate that applying a slight stress to the
$T^\prime$
phase structure at room temperature can induce a lattice transition from
$T^\prime$
phase to
$T^{\prime\prime\prime}$
phase, resulting in significant changes in the band structure and carrier mobility, with the bandgap changing from an indirect bandgap of 1.11 eV to a direct bandgap of 0.71 eV, and the carrier mobility in the armchair direction increasing from
$ 0.82 \times $
$ 10^3 \, {\rm cm}^{2}{\cdot}{\rm V}^{-1}{\cdot}{\rm s}^{-1}$
to
$3.22 \times 10^3 \, {\rm cm}^{2}{\cdot}{\rm V}^{-1}{\cdot}{\rm s}^{-1}$
, an approximately threefold enhancement. In this work, two possible coexisting distorted phases in monolayer RuSe
2are compared with each other and studied, and their electronic structures and carrier mobilities are analyzed, thereby facilitating experimental research on two-dimensional RuSe
2materials and their applications in future electronic devices.